Номер 20.10, страница 104 - гдз по алгебре 10 класс сборник задач Арефьева, Пирютко

Алгебра, 10 класс Сборник задач, авторы: Арефьева Ирина Глебовна, Пирютко Ольга Николаевна, издательство Народная асвета, Минск, 2020, белого цвета

Авторы: Арефьева И. Г., Пирютко О. Н.

Тип: Сборник задач

Издательство: Народная асвета

Год издания: 2020 - 2025

Уровень обучения: базовый и повышенный

Цвет обложки: белый, голубой с графиком

Допущено Министерством образования Республики Беларусь

Популярные ГДЗ в 10 классе

Глава 4. Корень n-й степени из числа. Параграф 20. Применение свойств корней n-й степени для преобразования выражений - номер 20.10, страница 104.

№20.10 (с. 104)
Условие. №20.10 (с. 104)
скриншот условия
Алгебра, 10 класс Сборник задач, авторы: Арефьева Ирина Глебовна, Пирютко Ольга Николаевна, издательство Народная асвета, Минск, 2020, белого цвета, страница 104, номер 20.10, Условие

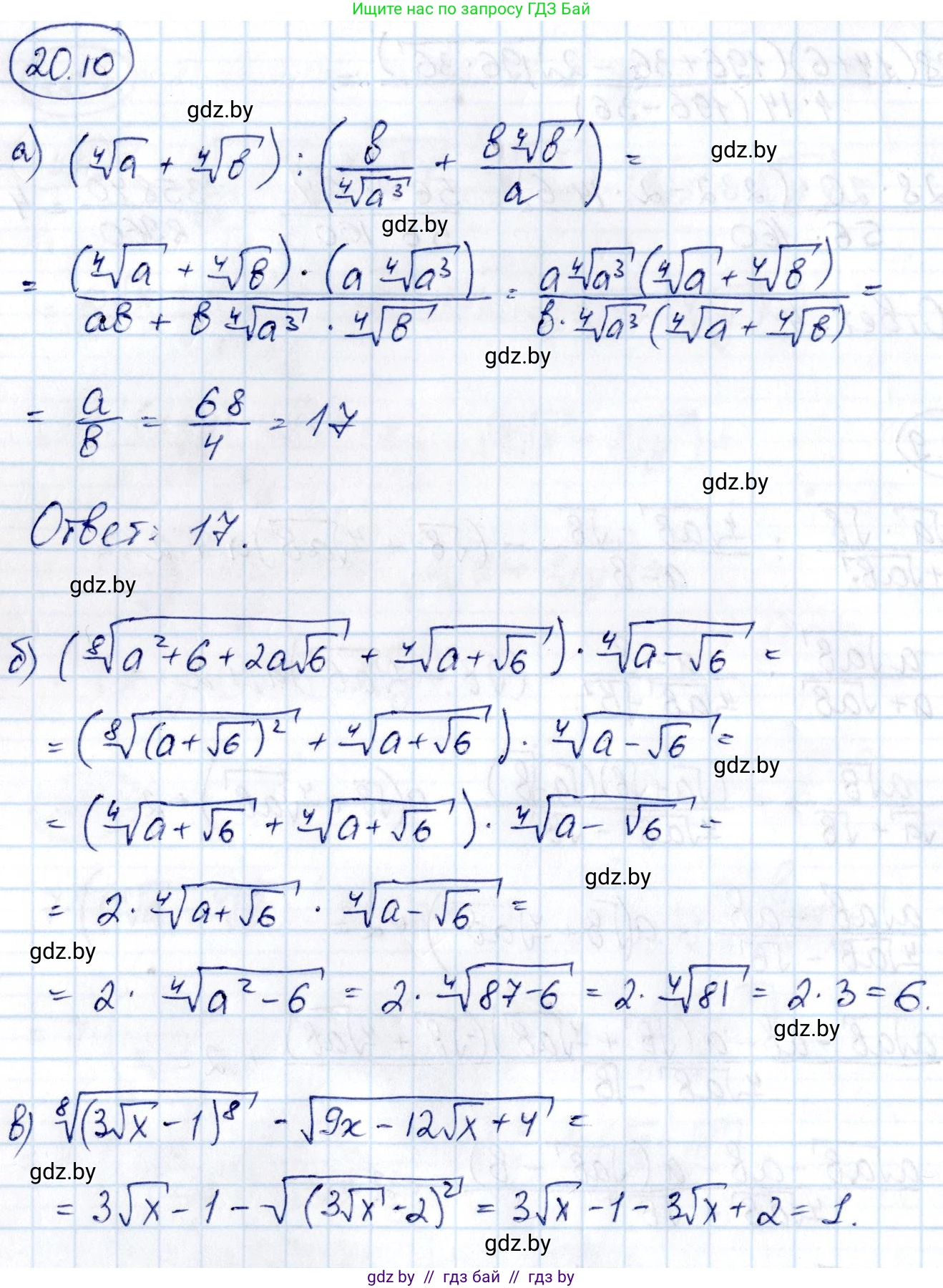
20.10. Найдите значение выражения:

а) $(\sqrt[4]{a} + \sqrt[4]{b}) : \left(\frac{b}{\sqrt[4]{a^3}} + \frac{b\sqrt[4]{b}}{a}\right)$ при $a = 68, b = 4;$

б) $\left(\sqrt[8]{a^2 + 6 + 2a\sqrt{6}} + \sqrt[4]{a + \sqrt{6}}\right) \cdot \sqrt[4]{a - \sqrt{6}}$ при $a = \sqrt{87};$

в) $\sqrt[8]{(3\sqrt{x} - 1)^8} - \sqrt{9x - 12\sqrt{x} + 4}$ при $x = 1\frac{2}{9}.$

Решение. №20.10 (с. 104)
Алгебра, 10 класс Сборник задач, авторы: Арефьева Ирина Глебовна, Пирютко Ольга Николаевна, издательство Народная асвета, Минск, 2020, белого цвета, страница 104, номер 20.10, Решение
Решение 2. №20.10 (с. 104)

а)

Упростим выражение $(\sqrt[4]{a} + \sqrt[4]{b}) : \left(\frac{b}{\sqrt[4]{a^3}} + \frac{b\sqrt[4]{b}}{a}\right)$.

Сначала преобразуем выражение в скобках (делитель), приведя слагаемые к общему знаменателю. Общий знаменатель - $a$.

$\frac{b}{\sqrt[4]{a^3}} + \frac{b\sqrt[4]{b}}{a} = \frac{b}{a^{3/4}} + \frac{b \cdot b^{1/4}}{a} = \frac{b \cdot a^{1/4}}{a^{3/4} \cdot a^{1/4}} + \frac{b^{5/4}}{a} = \frac{b a^{1/4}}{a} + \frac{b^{5/4}}{a} = \frac{b a^{1/4} + b \cdot b^{1/4}}{a} = \frac{b(a^{1/4} + b^{1/4})}{a} = \frac{b(\sqrt[4]{a} + \sqrt[4]{b})}{a}$.

Теперь выполним деление:

$(\sqrt[4]{a} + \sqrt[4]{b}) : \frac{b(\sqrt[4]{a} + \sqrt[4]{b})}{a} = (\sqrt[4]{a} + \sqrt[4]{b}) \cdot \frac{a}{b(\sqrt[4]{a} + \sqrt[4]{b})}$.

Поскольку $a = 68 > 0$ и $b = 4 > 0$, выражение $(\sqrt[4]{a} + \sqrt[4]{b})$ не равно нулю, и на него можно сократить. В результате получаем:

$\frac{a}{b}$.

Подставим заданные значения $a = 68$ и $b = 4$:

$\frac{68}{4} = 17$.

Ответ: 17.

б)

Упростим выражение $(\sqrt[8]{a^2 + 6 + 2a\sqrt{6}} + \sqrt[4]{a+\sqrt{6}}) \cdot \sqrt[4]{a-\sqrt{6}}$.

Рассмотрим подкоренное выражение в первом слагаемом: $a^2 + 6 + 2a\sqrt{6}$. Это полный квадрат суммы: $a^2 + 2a\sqrt{6} + (\sqrt{6})^2 = (a+\sqrt{6})^2$.

Тогда $\sqrt[8]{a^2 + 6 + 2a\sqrt{6}} = \sqrt[8]{(a+\sqrt{6})^2}$.

Используя свойство $\sqrt[nk]{x^k} = \sqrt[n]{x}$ (для $x \ge 0$), получим $\sqrt[4]{a+\sqrt{6}}$ (поскольку $a=\sqrt{87}>0$, то $a+\sqrt{6}>0$).

Теперь исходное выражение можно переписать так:

$(\sqrt[4]{a+\sqrt{6}} + \sqrt[4]{a+\sqrt{6}}) \cdot \sqrt[4]{a-\sqrt{6}} = 2\sqrt[4]{a+\sqrt{6}} \cdot \sqrt[4]{a-\sqrt{6}}$.

Используя свойство $\sqrt[n]{x} \cdot \sqrt[n]{y} = \sqrt[n]{xy}$, объединим корни:

$2\sqrt[4]{(a+\sqrt{6})(a-\sqrt{6})}$.

Применим формулу разности квадратов: $(a+\sqrt{6})(a-\sqrt{6}) = a^2 - (\sqrt{6})^2 = a^2 - 6$.

Выражение упрощается до $2\sqrt[4]{a^2 - 6}$.

Подставим значение $a = \sqrt{87}$. Тогда $a^2 = (\sqrt{87})^2 = 87$.

$2\sqrt[4]{87 - 6} = 2\sqrt[4]{81}$.

Так как $81 = 3^4$, то $\sqrt[4]{81} = 3$.

Окончательный результат: $2 \cdot 3 = 6$.

Ответ: 6.

в)

Упростим выражение $\sqrt[8]{(3\sqrt{x}-1)^8} - \sqrt{9x-12\sqrt{x}+4}$.

Для первого слагаемого используем свойство $\sqrt[n]{y^n} = |y|$ для четного $n$. Получаем: $\sqrt[8]{(3\sqrt{x}-1)^8} = |3\sqrt{x}-1|$.

Для второго слагаемого заметим, что подкоренное выражение $9x-12\sqrt{x}+4$ является полным квадратом: $(3\sqrt{x})^2 - 2 \cdot (3\sqrt{x}) \cdot 2 + 2^2 = (3\sqrt{x}-2)^2$.

Тогда $\sqrt{9x-12\sqrt{x}+4} = \sqrt{(3\sqrt{x}-2)^2} = |3\sqrt{x}-2|$.

Исходное выражение принимает вид: $|3\sqrt{x}-1| - |3\sqrt{x}-2|$.

Подставим значение $x = 1\frac{2}{9}$. Сначала переведем его в неправильную дробь: $x = \frac{1 \cdot 9 + 2}{9} = \frac{11}{9}$.

Теперь найдем значение $3\sqrt{x}$:

$3\sqrt{x} = 3\sqrt{\frac{11}{9}} = 3 \cdot \frac{\sqrt{11}}{\sqrt{9}} = 3 \cdot \frac{\sqrt{11}}{3} = \sqrt{11}$.

Подставим это в упрощенное выражение: $|\sqrt{11}-1| - |\sqrt{11}-2|$.

Оценим значения в модулях. Так как $9 < 11 < 16$, то $\sqrt{9} < \sqrt{11} < \sqrt{16}$, то есть $3 < \sqrt{11} < 4$.

Отсюда следует, что $\sqrt{11}-1 > 3-1 = 2 > 0$, поэтому $|\sqrt{11}-1| = \sqrt{11}-1$.

Также $\sqrt{11}-2 > 3-2 = 1 > 0$, поэтому $|\sqrt{11}-2| = \sqrt{11}-2$.

Выполним вычитание:

$(\sqrt{11}-1) - (\sqrt{11}-2) = \sqrt{11}-1 - \sqrt{11} + 2 = 1$.

Ответ: 1.

Помогло решение? Оставьте отзыв в комментариях ниже.

Присоединяйтесь к Телеграм-группе @gdz_by_belarus

Присоединиться

Мы подготовили для вас ответ c подробным объяснением домашего задания по алгебре за 10 класс, для упражнения номер 20.10 расположенного на странице 104 к сборнику задач 2020 года издания для учащихся школ и гимназий.

Теперь на нашем сайте ГДЗ.ТОП вы всегда легко и бесплатно найдёте условие с правильным ответом на вопрос «Как решить ДЗ» и «Как сделать» задание по алгебре к упражнению №20.10 (с. 104), авторов: Арефьева (Ирина Глебовна), Пирютко (Ольга Николаевна), базовый и повышенный уровень обучения учебного пособия издательства Народная асвета.