Номер 20.12, страница 104 - гдз по алгебре 10 класс сборник задач Арефьева, Пирютко

Алгебра, 10 класс Сборник задач, авторы: Арефьева Ирина Глебовна, Пирютко Ольга Николаевна, издательство Народная асвета, Минск, 2020, белого цвета

Авторы: Арефьева И. Г., Пирютко О. Н.

Тип: Сборник задач

Издательство: Народная асвета

Год издания: 2020 - 2025

Уровень обучения: базовый и повышенный

Цвет обложки: белый, голубой с графиком

Допущено Министерством образования Республики Беларусь

Популярные ГДЗ в 10 классе

Глава 4. Корень n-й степени из числа. Параграф 20. Применение свойств корней n-й степени для преобразования выражений - номер 20.12, страница 104.

№20.12 (с. 104)
Условие. №20.12 (с. 104)
скриншот условия
Алгебра, 10 класс Сборник задач, авторы: Арефьева Ирина Глебовна, Пирютко Ольга Николаевна, издательство Народная асвета, Минск, 2020, белого цвета, страница 104, номер 20.12, Условие

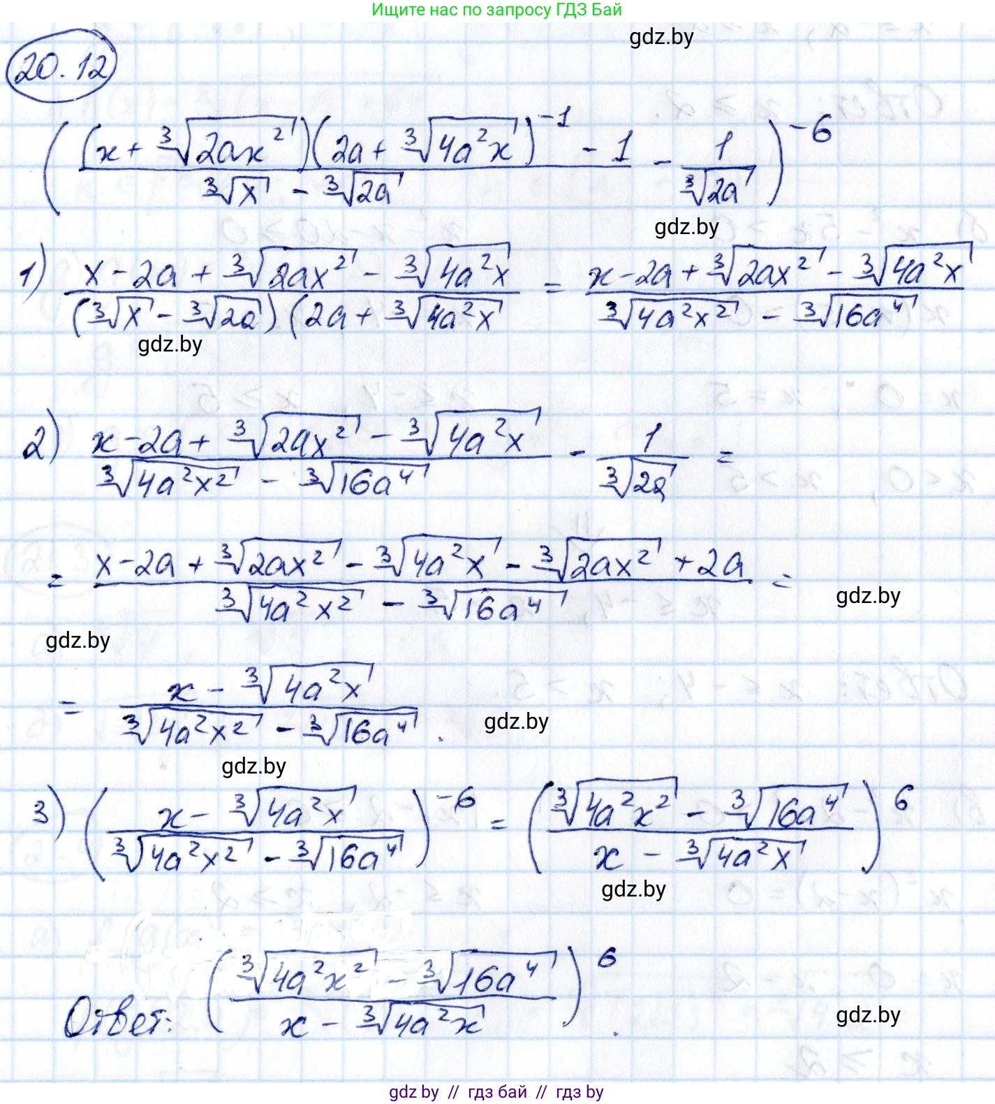
20.12. Упростите выражение

$\left( \frac{\left(x + \sqrt[3]{2ax^2}\right) \cdot \left(2a + \sqrt[3]{4a^2x}\right)^{-1} - 1}{\sqrt[3]{x} - \sqrt[3]{2a}} - \frac{1}{\sqrt[3]{2a}} \right)^{-6}$

Решение. №20.12 (с. 104)
Алгебра, 10 класс Сборник задач, авторы: Арефьева Ирина Глебовна, Пирютко Ольга Николаевна, издательство Народная асвета, Минск, 2020, белого цвета, страница 104, номер 20.12, Решение
Решение 2. №20.12 (с. 104)

Для упрощения выражения будем выполнять действия последовательно.

1. Сначала преобразуем числитель дроби внутри первых скобок. Вынесем общие множители из выражений $(x + \sqrt[3]{2ax^2})$ и $(2a + \sqrt[3]{4a^2x})$.

Первый множитель: $x + \sqrt[3]{2ax^2} = (\sqrt[3]{x})^3 + \sqrt[3]{2a}\cdot(\sqrt[3]{x})^2 = (\sqrt[3]{x})^2(\sqrt[3]{x} + \sqrt[3]{2a})$.

Второй множитель (до возведения в степень -1): $2a + \sqrt[3]{4a^2x} = (\sqrt[3]{2a})^3 + (\sqrt[3]{2a})^2\cdot\sqrt[3]{x} = (\sqrt[3]{2a})^2(\sqrt[3]{2a} + \sqrt[3]{x})$.

2. Теперь найдем произведение $(x + \sqrt[3]{2ax^2}) \cdot (2a + \sqrt[3]{4a^2x})^{-1}$:

$(\sqrt[3]{x})^2(\sqrt[3]{x} + \sqrt[3]{2a}) \cdot \frac{1}{(\sqrt[3]{2a})^2(\sqrt[3]{2a} + \sqrt[3]{x})} = \frac{(\sqrt[3]{x})^2}{(\sqrt[3]{2a})^2} = \frac{\sqrt[3]{x^2}}{\sqrt[3]{4a^2}}$.

3. Подставим полученное выражение в большую дробь и вычтем единицу в числителе:

$\frac{\frac{\sqrt[3]{x^2}}{\sqrt[3]{4a^2}} - 1}{\sqrt[3]{x} - \sqrt[3]{2a}} = \frac{\frac{\sqrt[3]{x^2} - \sqrt[3]{4a^2}}{\sqrt[3]{4a^2}}}{\sqrt[3]{x} - \sqrt[3]{2a}} = \frac{\sqrt[3]{x^2} - \sqrt[3]{4a^2}}{(\sqrt[3]{4a^2})(\sqrt[3]{x} - \sqrt[3]{2a})}$.

4. Используем формулу разности квадратов $a^2-b^2=(a-b)(a+b)$ для числителя $\sqrt[3]{x^2} - \sqrt[3]{4a^2} = (\sqrt[3]{x})^2 - (\sqrt[3]{2a})^2$ и сократим дробь:

$\frac{(\sqrt[3]{x} - \sqrt[3]{2a})(\sqrt[3]{x} + \sqrt[3]{2a})}{(\sqrt[3]{4a^2})(\sqrt[3]{x} - \sqrt[3]{2a})} = \frac{\sqrt[3]{x} + \sqrt[3]{2a}}{\sqrt[3]{4a^2}}$.

5. Теперь выполним вычитание внутри внешних скобок:

$\frac{\sqrt[3]{x} + \sqrt[3]{2a}}{\sqrt[3]{4a^2}} - \frac{1}{\sqrt[3]{2a}}$.

Приведем к общему знаменателю $\sqrt[3]{4a^2} = (\sqrt[3]{2a})^2$:

$\frac{\sqrt[3]{x} + \sqrt[3]{2a}}{(\sqrt[3]{2a})^2} - \frac{\sqrt[3]{2a}}{(\sqrt[3]{2a})^2} = \frac{\sqrt[3]{x} + \sqrt[3]{2a} - \sqrt[3]{2a}}{(\sqrt[3]{2a})^2} = \frac{\sqrt[3]{x}}{\sqrt[3]{4a^2}}$.

6. Наконец, возведем полученный результат в степень -6:

$\left(\frac{\sqrt[3]{x}}{\sqrt[3]{4a^2}}\right)^{-6} = \left(\frac{\sqrt[3]{4a^2}}{\sqrt[3]{x}}\right)^{6} = \frac{(\sqrt[3]{4a^2})^6}{(\sqrt[3]{x})^6} = \frac{((4a^2)^{1/3})^6}{(x^{1/3})^6} = \frac{(4a^2)^{6/3}}{x^{6/3}} = \frac{(4a^2)^2}{x^2} = \frac{16a^4}{x^2}$.

20.12. Ответ: $\frac{16a^4}{x^2}$.

Помогло решение? Оставьте отзыв в комментариях ниже.

Присоединяйтесь к Телеграм-группе @gdz_by_belarus

Присоединиться

Мы подготовили для вас ответ c подробным объяснением домашего задания по алгебре за 10 класс, для упражнения номер 20.12 расположенного на странице 104 к сборнику задач 2020 года издания для учащихся школ и гимназий.

Теперь на нашем сайте ГДЗ.ТОП вы всегда легко и бесплатно найдёте условие с правильным ответом на вопрос «Как решить ДЗ» и «Как сделать» задание по алгебре к упражнению №20.12 (с. 104), авторов: Арефьева (Ирина Глебовна), Пирютко (Ольга Николаевна), базовый и повышенный уровень обучения учебного пособия издательства Народная асвета.