Номер 43, страница 45 - гдз по алгебре 11 класс сборник задач Арефьева, Пирютко
Авторы: Арефьева И. Г., Пирютко О. Н.
Тип: Сборник задач
Издательство: Народная асвета
Год издания: 2020 - 2025
Уровень обучения: базовый и повышенный
Цвет обложки: белый с графиком
Допущено Министерством образования Республики Беларусь
Популярные ГДЗ в 11 классе
Глава 2. Показательная функция. Параграф 6. Показательные неравенства - номер 43, страница 45.
№43 (с. 45)
Условие. №43 (с. 45)
скриншот условия
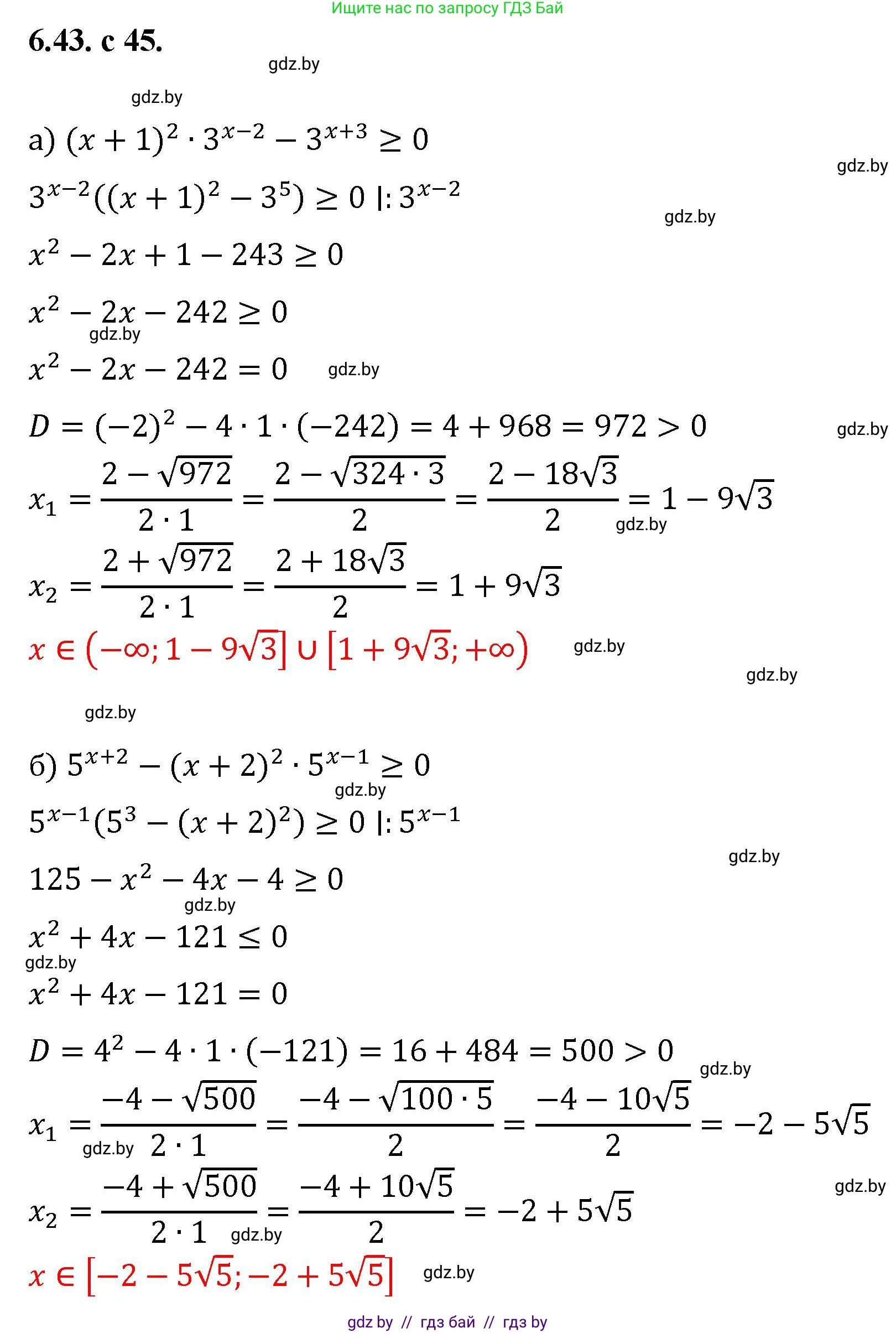
6.43. Решите неравенство:
a) $(x+1)^2 \cdot 3^{x-2} - 3^{x+3} \ge 0;$
б) $5^{x+2} - (x+2)^2 \cdot 5^{x-1} \ge 0.$
Решение. №43 (с. 45)
Решение 2. №43 (с. 45)
а) Решим неравенство $(x+1)^2 \cdot 3^{x-2} - 3^{x+3} \ge 0$.
Преобразуем показательные члены, чтобы вынести общий множитель. Используем свойство степеней $a^{m+n} = a^m \cdot a^n$.
Заметим, что $3^{x+3} = 3^{(x-2)+5} = 3^{x-2} \cdot 3^5$.
Подставим это в исходное неравенство:
Вынесем общий множитель $3^{x-2}$ за скобки:
Так как показательная функция $y=3^t$ всегда строго положительна ($3^{x-2} > 0$) при любом действительном значении $x$, мы можем разделить обе части неравенства на $3^{x-2}$, не меняя знака неравенства. Получаем:
Вычислим $3^5 = 243$:
Разложим левую часть по формуле разности квадратов $a^2 - b^2 = (a-b)(a+b)$, где $a = x+1$ и $b = \sqrt{243} = \sqrt{81 \cdot 3} = 9\sqrt{3}$:
Решим это неравенство методом интервалов. Найдем корни соответствующего уравнения:
Корни уравнения: $x_1 = -1 + 9\sqrt{3}$ и $x_2 = -1 - 9\sqrt{3}$.
Графиком функции $y = (x+1)^2 - 243$ является парабола с ветвями, направленными вверх. Следовательно, неравенство $y \ge 0$ выполняется на промежутках, где график находится выше или на оси абсцисс, то есть левее меньшего корня и правее большего корня (включая сами корни).
Таким образом, решение неравенства:
Ответ: $(-\infty; -1 - 9\sqrt{3}] \cup [-1 + 9\sqrt{3}; +\infty)$.
б) Решим неравенство $5^{x+2} - (x+2)^2 \cdot 5^{x-1} \ge 0$.
Преобразуем показательные члены, чтобы вынести общий множитель. Используем свойство степеней $a^{m+n} = a^m \cdot a^n$.
Заметим, что $5^{x+2} = 5^{(x-1)+3} = 5^{x-1} \cdot 5^3$.
Подставим это в исходное неравенство:
Вынесем общий множитель $5^{x-1}$ за скобки:
Так как показательная функция $y=5^t$ всегда строго положительна ($5^{x-1} > 0$) при любом действительном значении $x$, мы можем разделить обе части неравенства на $5^{x-1}$, не меняя знака неравенства. Получаем:
Вычислим $5^3 = 125$:
Разложим левую часть по формуле разности квадратов $a^2 - b^2 = (a-b)(a+b)$, где $a = \sqrt{125} = \sqrt{25 \cdot 5} = 5\sqrt{5}$ и $b = x+2$:
Решим это неравенство методом интервалов. Найдем корни соответствующего уравнения:
Корни уравнения: $x_1 = 5\sqrt{5} - 2$ и $x_2 = -5\sqrt{5} - 2$.
Графиком функции $y = 125 - (x+2)^2$ является парабола с ветвями, направленными вниз. Следовательно, неравенство $y \ge 0$ выполняется на промежутке между корнями (включая сами корни), где график находится выше или на оси абсцисс.
Таким образом, решение неравенства:
Ответ: $[-2 - 5\sqrt{5}; -2 + 5\sqrt{5}]$.
Другие задания:
Помогло решение? Оставьте отзыв в комментариях ниже.
Присоединяйтесь к Телеграм-группе @gdz_by_belarus
ПрисоединитьсяМы подготовили для вас ответ c подробным объяснением домашего задания по алгебре за 11 класс, для упражнения номер 43 расположенного на странице 45 к сборнику задач 2020 года издания для учащихся школ и гимназий.
Теперь на нашем сайте ГДЗ.ТОП вы всегда легко и бесплатно найдёте условие с правильным ответом на вопрос «Как решить ДЗ» и «Как сделать» задание по алгебре к упражнению №43 (с. 45), авторов: Арефьева (Ирина Глебовна), Пирютко (Ольга Николаевна), базовый и повышенный уровень обучения учебного пособия издательства Народная асвета.