Номер 26, страница 32 - гдз по алгебре 11 класс сборник задач Арефьева, Пирютко
Авторы: Арефьева И. Г., Пирютко О. Н.
Тип: Сборник задач
Издательство: Народная асвета
Год издания: 2020 - 2025
Уровень обучения: базовый и повышенный
Цвет обложки: белый с графиком
Допущено Министерством образования Республики Беларусь
Популярные ГДЗ в 11 классе
Глава 2. Показательная функция. Параграф 5. Показательные уравнения - номер 26, страница 32.
№26 (с. 32)
Условие. №26 (с. 32)
скриншот условия
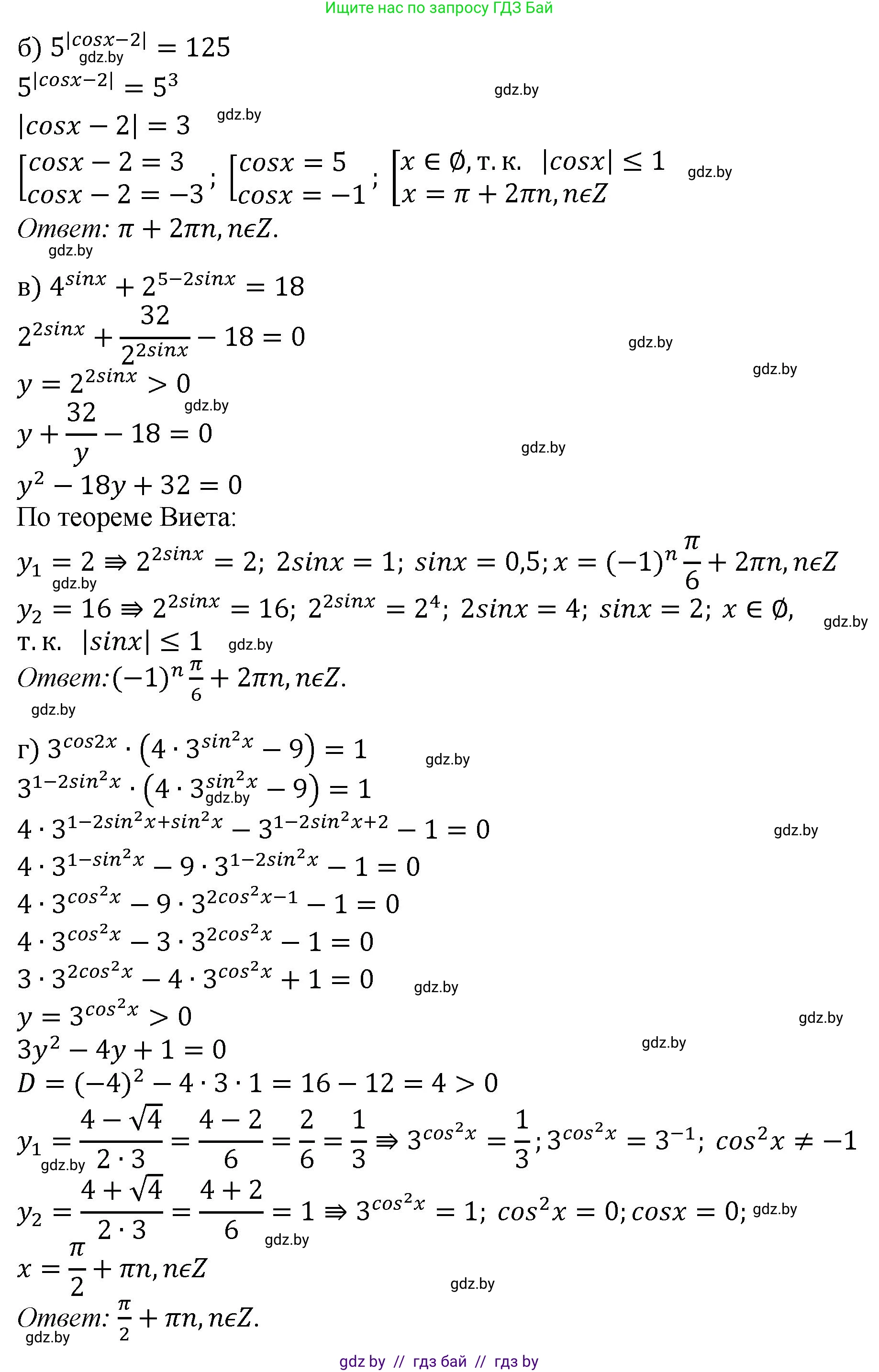
5.26. Решите уравнение:
a) $3^{|\sin x - 2|} = 27;$
б) $5^{|\cos x - 2|} = 125;$
В) $4^{\sin x} + 2^{5 - 2\sin x} = 18;$
Г) $3^{\cos 2x} \cdot (4 \cdot 3^{\sin^2 x} - 9) = 1.$
Решение. №26 (с. 32)
Решение 2. №26 (с. 32)
а) $3^{|\sin x - 2|} = 27$
Представим правую часть уравнения в виде степени с основанием 3:
$27 = 3^3$
Тогда исходное уравнение примет вид:
$3^{|\sin x - 2|} = 3^3$
Так как основания степеней равны, можем приравнять их показатели:
$|\sin x - 2| = 3$
Раскроем модуль, рассмотрев два случая:
1) $\sin x - 2 = 3$
$\sin x = 5$
Это уравнение не имеет решений, так как область значений функции синус $[-1; 1]$.
2) $\sin x - 2 = -3$
$\sin x = -1$
Решением этого простейшего тригонометрического уравнения является:
$x = -\frac{\pi}{2} + 2\pi k$, где $k \in \mathbb{Z}$.
Ответ: $x = -\frac{\pi}{2} + 2\pi k$, $k \in \mathbb{Z}$.
б) $5^{|\cos x - 2|} = 125$
Представим правую часть уравнения в виде степени с основанием 5:
$125 = 5^3$
Тогда исходное уравнение примет вид:
$5^{|\cos x - 2|} = 5^3$
Приравниваем показатели степеней:
$|\cos x - 2| = 3$
Раскроем модуль, рассмотрев два случая:
1) $\cos x - 2 = 3$
$\cos x = 5$
Уравнение не имеет решений, так как область значений функции косинус $[-1; 1]$.
2) $\cos x - 2 = -3$
$\cos x = -1$
Решением этого уравнения является:
$x = \pi + 2\pi k$, где $k \in \mathbb{Z}$.
Ответ: $x = \pi + 2\pi k$, $k \in \mathbb{Z}$.
в) $4^{\sin x} + 2^{5 - 2\sin x} = 18$
Приведем все степени к одному основанию 2. Используем свойства степеней $a^{mn} = (a^m)^n$ и $a^{m-n} = \frac{a^m}{a^n}$:
$4^{\sin x} = (2^2)^{\sin x} = 2^{2\sin x}$
$2^{5 - 2\sin x} = \frac{2^5}{2^{2\sin x}} = \frac{32}{2^{2\sin x}}$
Подставим эти выражения в исходное уравнение:
$2^{2\sin x} + \frac{32}{2^{2\sin x}} = 18$
Сделаем замену переменной. Пусть $t = 2^{2\sin x}$. Так как $-1 \le \sin x \le 1$, то $-2 \le 2\sin x \le 2$, и значит $2^{-2} \le t \le 2^2$, то есть $\frac{1}{4} \le t \le 4$.
Уравнение с новой переменной:
$t + \frac{32}{t} = 18$
Умножим обе части на $t$ (так как $t>0$):
$t^2 + 32 = 18t$
$t^2 - 18t + 32 = 0$
Решим квадратное уравнение. Корни: $t_1 = 2$, $t_2 = 16$.
Проверим корни на соответствие условию $\frac{1}{4} \le t \le 4$:
$t_1 = 2$ — удовлетворяет условию.
$t_2 = 16$ — не удовлетворяет условию ($16 > 4$).
Возвращаемся к исходной переменной с $t=2$:
$2^{2\sin x} = 2$
$2^{2\sin x} = 2^1$
$2\sin x = 1$
$\sin x = \frac{1}{2}$
Решения этого уравнения можно записать в общей форме:
$x = (-1)^n \frac{\pi}{6} + \pi n$, где $n \in \mathbb{Z}$.
Ответ: $x = (-1)^n \frac{\pi}{6} + \pi n$, $n \in \mathbb{Z}$.
г) $3^{\cos 2x} \cdot (4 \cdot 3^{\sin^2 x} - 9) = 1$
Используем тригонометрическое тождество $\cos 2x = 1 - 2\sin^2 x$:
$3^{1 - 2\sin^2 x} \cdot (4 \cdot 3^{\sin^2 x} - 9) = 1$
Используем свойство степеней $a^{m-n} = \frac{a^m}{a^n}$:
$\frac{3^1}{3^{2\sin^2 x}} \cdot (4 \cdot 3^{\sin^2 x} - 9) = 1$
Сделаем замену переменной. Пусть $y = 3^{\sin^2 x}$. Так как $0 \le \sin^2 x \le 1$, то $3^0 \le y \le 3^1$, то есть $1 \le y \le 3$.
Заметим, что $3^{2\sin^2 x} = (3^{\sin^2 x})^2 = y^2$.
Подставим $y$ в уравнение:
$\frac{3}{y^2} \cdot (4y - 9) = 1$
Поскольку $y \ge 1$, $y^2 \ne 0$. Умножим обе части на $y^2$:
$3(4y - 9) = y^2$
$12y - 27 = y^2$
$y^2 - 12y + 27 = 0$
Решим квадратное уравнение. Корни: $y_1 = 3$, $y_2 = 9$.
Проверим корни на соответствие условию $1 \le y \le 3$:
$y_1 = 3$ — удовлетворяет условию.
$y_2 = 9$ — не удовлетворяет условию ($9 > 3$).
Возвращаемся к исходной переменной с $y=3$:
$3^{\sin^2 x} = 3$
$3^{\sin^2 x} = 3^1$
$\sin^2 x = 1$
Это уравнение равносильно тому, что $\cos x = 0$.
Решением уравнения $\cos x = 0$ является:
$x = \frac{\pi}{2} + \pi k$, где $k \in \mathbb{Z}$.
Ответ: $x = \frac{\pi}{2} + \pi k$, $k \in \mathbb{Z}$.
Другие задания:
Помогло решение? Оставьте отзыв в комментариях ниже.
Присоединяйтесь к Телеграм-группе @gdz_by_belarus
ПрисоединитьсяМы подготовили для вас ответ c подробным объяснением домашего задания по алгебре за 11 класс, для упражнения номер 26 расположенного на странице 32 к сборнику задач 2020 года издания для учащихся школ и гимназий.
Теперь на нашем сайте ГДЗ.ТОП вы всегда легко и бесплатно найдёте условие с правильным ответом на вопрос «Как решить ДЗ» и «Как сделать» задание по алгебре к упражнению №26 (с. 32), авторов: Арефьева (Ирина Глебовна), Пирютко (Ольга Николаевна), базовый и повышенный уровень обучения учебного пособия издательства Народная асвета.