Номер 26.16, страница 128 - гдз по алгебре 10 класс сборник задач Арефьева, Пирютко

Алгебра, 10 класс Сборник задач, авторы: Арефьева Ирина Глебовна, Пирютко Ольга Николаевна, издательство Народная асвета, Минск, 2020, белого цвета

Авторы: Арефьева И. Г., Пирютко О. Н.

Тип: Сборник задач

Издательство: Народная асвета

Год издания: 2020 - 2025

Уровень обучения: базовый и повышенный

Цвет обложки: белый, голубой с графиком

Допущено Министерством образования Республики Беларусь

Популярные ГДЗ в 10 классе

Глава 5. Производная. Параграф 26. Производная сложной функции. Производная обратной функции. Производные тригонометрических функций - номер 26.16, страница 128.

№26.16 (с. 128)
Условие. №26.16 (с. 128)
скриншот условия
Алгебра, 10 класс Сборник задач, авторы: Арефьева Ирина Глебовна, Пирютко Ольга Николаевна, издательство Народная асвета, Минск, 2020, белого цвета, страница 128, номер 26.16, Условие

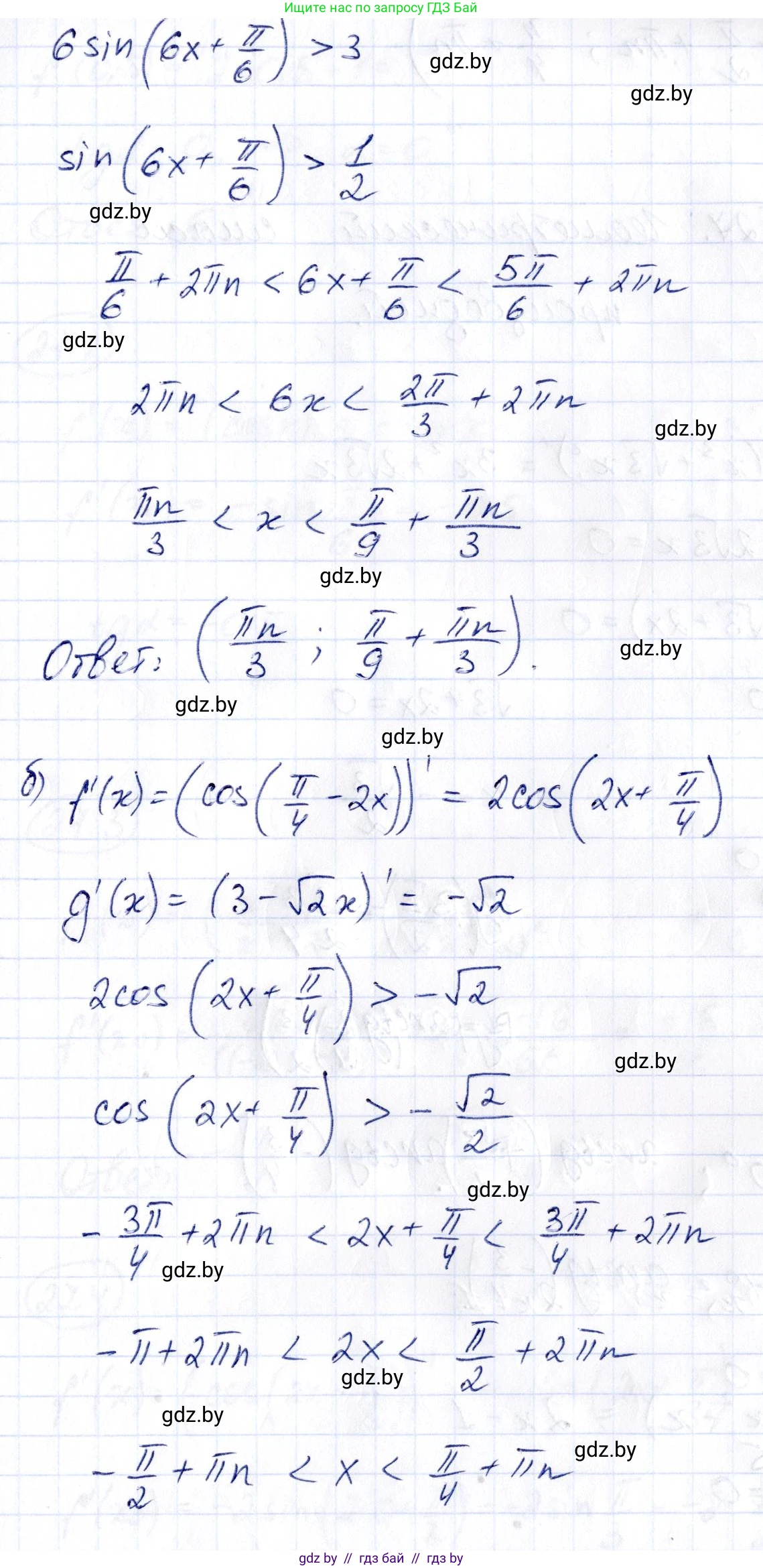
26.16. Решите неравенство $f'(x) > g'(x)$, если:

a) $f(x) = \sin\left(6x - \frac{\pi}{3}\right)$, $g(x) = 3x - 12;$

б) $f(x) = \cos\left(\frac{\pi}{4} - 2x\right)$, $g(x) = 3 - \sqrt{2}x.$

Решение. №26.16 (с. 128)
Алгебра, 10 класс Сборник задач, авторы: Арефьева Ирина Глебовна, Пирютко Ольга Николаевна, издательство Народная асвета, Минск, 2020, белого цвета, страница 128, номер 26.16, Решение Алгебра, 10 класс Сборник задач, авторы: Арефьева Ирина Глебовна, Пирютко Ольга Николаевна, издательство Народная асвета, Минск, 2020, белого цвета, страница 128, номер 26.16, Решение (продолжение 2)
Решение 2. №26.16 (с. 128)

а) Для решения неравенства $f'(x) > g'(x)$ сначала найдём производные заданных функций $f(x) = \sin(6x - \frac{\pi}{3})$ и $g(x) = 3x - 12$.

Производная функции $f(x)$ находится по правилу дифференцирования сложной функции:

$f'(x) = (\sin(6x - \frac{\pi}{3}))' = \cos(6x - \frac{\pi}{3}) \cdot (6x - \frac{\pi}{3})' = 6\cos(6x - \frac{\pi}{3})$.

Производная функции $g(x)$:

$g'(x) = (3x - 12)' = 3$.

Теперь составим и решим неравенство $f'(x) > g'(x)$:

$6\cos(6x - \frac{\pi}{3}) > 3$.

Разделим обе части неравенства на 6:

$\cos(6x - \frac{\pi}{3}) > \frac{1}{2}$.

Пусть $t = 6x - \frac{\pi}{3}$. Тогда неравенство принимает вид $\cos(t) > \frac{1}{2}$.

Решением этого тригонометрического неравенства является интервал:

$-\frac{\pi}{3} + 2\pi n < t < \frac{\pi}{3} + 2\pi n$, где $n \in \mathbb{Z}$.

Сделаем обратную замену и найдём $x$:

$-\frac{\pi}{3} + 2\pi n < 6x - \frac{\pi}{3} < \frac{\pi}{3} + 2\pi n$.

Прибавим $\frac{\pi}{3}$ ко всем частям неравенства:

$2\pi n < 6x < \frac{2\pi}{3} + 2\pi n$.

Разделим все части неравенства на 6:

$\frac{2\pi n}{6} < x < \frac{2\pi}{18} + \frac{2\pi n}{6}$,

что после упрощения даёт:

$\frac{\pi n}{3} < x < \frac{\pi}{9} + \frac{\pi n}{3}$.

Ответ: $x \in (\frac{\pi n}{3}; \frac{\pi}{9} + \frac{\pi n}{3}), n \in \mathbb{Z}$.

б) Найдём производные функций $f(x) = \cos(\frac{\pi}{4} - 2x)$ и $g(x) = 3 - \sqrt{2}x$.

Производная функции $f(x)$:

$f'(x) = (\cos(\frac{\pi}{4} - 2x))' = -\sin(\frac{\pi}{4} - 2x) \cdot (\frac{\pi}{4} - 2x)' = -\sin(\frac{\pi}{4} - 2x) \cdot (-2) = 2\sin(\frac{\pi}{4} - 2x)$.

Производная функции $g(x)$:

$g'(x) = (3 - \sqrt{2}x)' = -\sqrt{2}$.

Составим и решим неравенство $f'(x) > g'(x)$:

$2\sin(\frac{\pi}{4} - 2x) > -\sqrt{2}$.

Используем свойство нечетности синуса $\sin(\alpha) = -\sin(-\alpha)$, чтобы изменить аргумент: $2\sin(\frac{\pi}{4} - 2x) = -2\sin(2x - \frac{\pi}{4})$.

Неравенство принимает вид:

$-2\sin(2x - \frac{\pi}{4}) > -\sqrt{2}$.

Разделим обе части на -2, изменив знак неравенства на противоположный:

$\sin(2x - \frac{\pi}{4}) < \frac{\sqrt{2}}{2}$.

Обозначим $u = 2x - \frac{\pi}{4}$. Неравенство примет вид $\sin(u) < \frac{\sqrt{2}}{2}$.

Решениями этого неравенства являются значения $u$, лежащие в интервале:

$\frac{3\pi}{4} + 2\pi n < u < \frac{9\pi}{4} + 2\pi n$, где $n \in \mathbb{Z}$.

Выполним обратную замену:

$\frac{3\pi}{4} + 2\pi n < 2x - \frac{\pi}{4} < \frac{9\pi}{4} + 2\pi n$.

Прибавим $\frac{\pi}{4}$ ко всем частям неравенства:

$\frac{3\pi}{4} + \frac{\pi}{4} + 2\pi n < 2x < \frac{9\pi}{4} + \frac{\pi}{4} + 2\pi n$.

$\pi + 2\pi n < 2x < \frac{10\pi}{4} + 2\pi n$,

$\pi + 2\pi n < 2x < \frac{5\pi}{2} + 2\pi n$.

Разделим все части на 2:

$\frac{\pi}{2} + \pi n < x < \frac{5\pi}{4} + \pi n$.

В правой части ответа получилась неправильная дробь $\frac{5}{4}$. Преобразуем ее в смешанное число: $\frac{5}{4} = 1\frac{1}{4}$.

Ответ: $x \in (\frac{\pi}{2} + \pi n; \mathbf{1}\frac{1}{4}\pi + \pi n), n \in \mathbb{Z}$.

Помогло решение? Оставьте отзыв в комментариях ниже.

Присоединяйтесь к Телеграм-группе @gdz_by_belarus

Присоединиться

Мы подготовили для вас ответ c подробным объяснением домашего задания по алгебре за 10 класс, для упражнения номер 26.16 расположенного на странице 128 к сборнику задач 2020 года издания для учащихся школ и гимназий.

Теперь на нашем сайте ГДЗ.ТОП вы всегда легко и бесплатно найдёте условие с правильным ответом на вопрос «Как решить ДЗ» и «Как сделать» задание по алгебре к упражнению №26.16 (с. 128), авторов: Арефьева (Ирина Глебовна), Пирютко (Ольга Николаевна), базовый и повышенный уровень обучения учебного пособия издательства Народная асвета.