Номер 23, страница 43 - гдз по алгебре 11 класс сборник задач Арефьева, Пирютко

Алгебра, 11 класс Сборник задач, авторы: Арефьева Ирина Глебовна, Пирютко Ольга Николаевна, издательство Народная асвета, Минск, 2020, белого цвета

Авторы: Арефьева И. Г., Пирютко О. Н.

Тип: Сборник задач

Издательство: Народная асвета

Год издания: 2020 - 2025

Уровень обучения: базовый и повышенный

Цвет обложки: белый с графиком

Допущено Министерством образования Республики Беларусь

Популярные ГДЗ в 11 классе

Глава 2. Показательная функция. Параграф 6. Показательные неравенства - номер 23, страница 43.

№23 (с. 43)
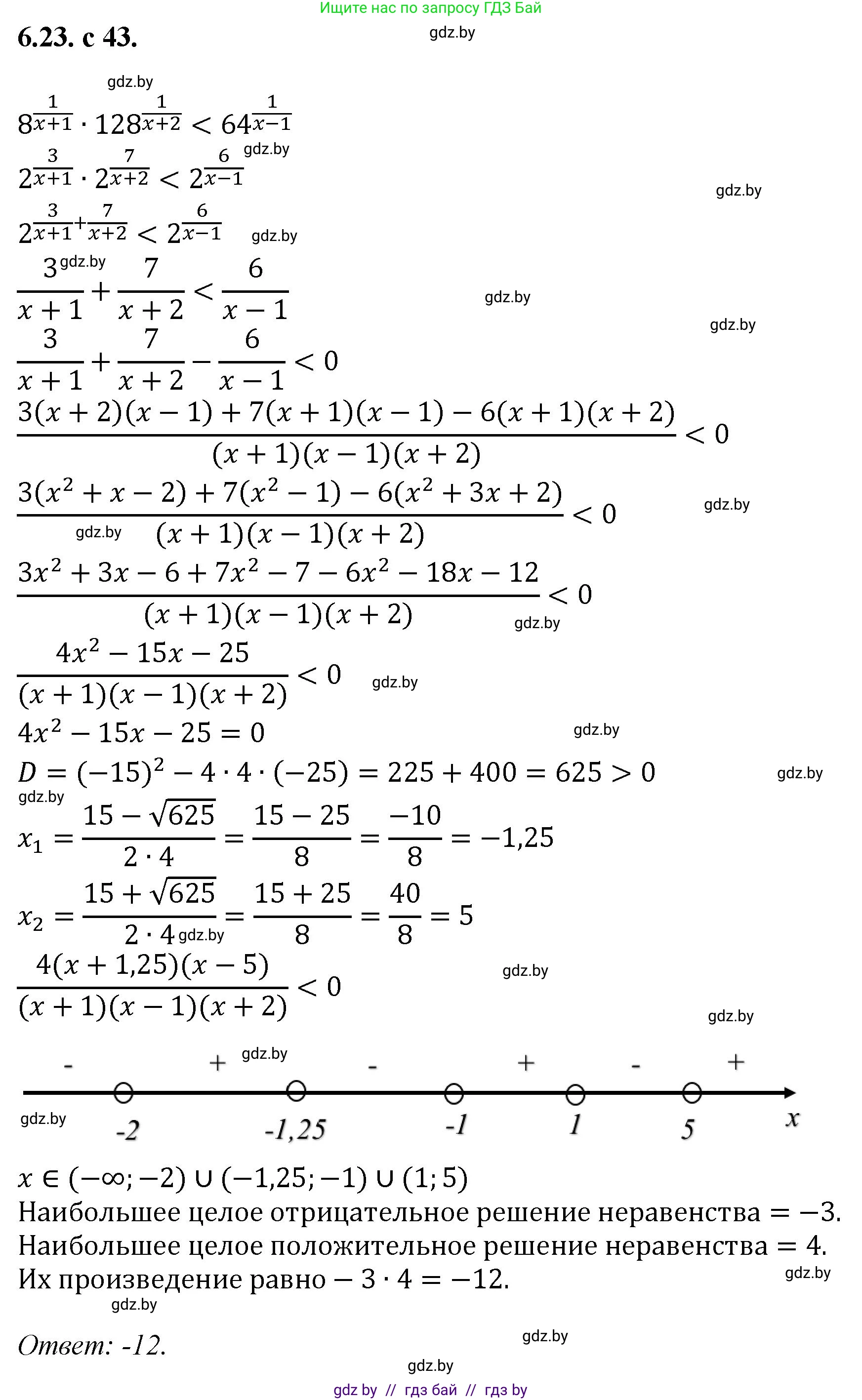
Условие. №23 (с. 43)
скриншот условия
Алгебра, 11 класс Сборник задач, авторы: Арефьева Ирина Глебовна, Пирютко Ольга Николаевна, издательство Народная асвета, Минск, 2020, белого цвета, страница 43, номер 23, Условие

6.23. Найдите произведение наибольшего целого отрицательного и наибольшего целого положительного решений неравенства

$\frac{1}{8^{x+1}} \cdot 128^{x+2} < 64^{x-1}$.

Решение. №23 (с. 43)
Алгебра, 11 класс Сборник задач, авторы: Арефьева Ирина Глебовна, Пирютко Ольга Николаевна, издательство Народная асвета, Минск, 2020, белого цвета, страница 43, номер 23, Решение
Решение 2. №23 (с. 43)

Для того чтобы найти произведение указанных в задаче решений, сначала необходимо решить данное показательное неравенство.

Исходное неравенство:

$$ \frac{1}{8^{x+1}} \cdot \frac{1}{128^{x+2}} < \frac{1}{64^{x-1}} $$

Приведем все основания степеней к общему основанию 2. Для этого используем следующие равенства: $8 = 2^3$, $128 = 2^7$ и $64 = 2^6$.

Подставим эти значения в неравенство:

$$ \frac{1}{(2^3)^{x+1}} \cdot \frac{1}{(2^7)^{x+2}} < \frac{1}{(2^6)^{x-1}} $$

Используя свойства степеней $(a^m)^n = a^{mn}$, $\frac{1}{a^n} = a^{-n}$ и $a^m \cdot a^n = a^{m+n}$, преобразуем неравенство:

$$ 2^{-3(x+1)} \cdot 2^{-7(x+2)} < 2^{-6(x-1)} $$

$$ 2^{-3x-3 - 7x-14} < 2^{-6x+6} $$

$$ 2^{-10x-17} < 2^{-6x+6} $$

Так как основание степени $2 > 1$, то при переходе к неравенству для показателей знак неравенства сохраняется:

$$ -10x - 17 < -6x + 6 $$

Решим полученное линейное неравенство:

$$ -10x + 6x < 17 + 6 $$

$$ -4x < 23 $$

При делении обеих частей на отрицательное число (-4) знак неравенства меняется на противоположный:

$$ x > -\frac{23}{4} $$

Теперь, когда найдено общее решение неравенства, определим требуемые целочисленные решения.

Наибольшее целое отрицательное решение.
Чтобы найти целые решения, выделим целую часть из неправильной дроби: $-\frac{23}{4} = -5\frac{3}{4}$. Неравенство можно записать как $x > -5\frac{3}{4}$. Целые числа, удовлетворяющие этому условию: -5, -4, -3, -2, -1, 0, 1, ... . Наибольшим целым отрицательным числом в этом списке является -1.
Ответ: -1.

Наибольшее целое положительное решение.
Положительные целые решения данного неравенства — это числа 1, 2, 3, 4, ... и так далее. Это множество является бесконечным и не ограничено сверху, поэтому наибольшего элемента в нем нет. Вероятно, в условии задачи допущена опечатка, и следует искать "наименьшее целое положительное решение". В этом случае наименьшим целым положительным решением является 1.
Ответ: 1 (при предположении, что в условии имелось в виду "наименьшее").

Наконец, найдем произведение этих решений, исходя из предположения об опечатке в условии:

$$ (-1) \cdot 1 = -1 $$

Таким образом, искомое произведение равно -1.

Помогло решение? Оставьте отзыв в комментариях ниже.

Присоединяйтесь к Телеграм-группе @gdz_by_belarus

Присоединиться

Мы подготовили для вас ответ c подробным объяснением домашего задания по алгебре за 11 класс, для упражнения номер 23 расположенного на странице 43 к сборнику задач 2020 года издания для учащихся школ и гимназий.

Теперь на нашем сайте ГДЗ.ТОП вы всегда легко и бесплатно найдёте условие с правильным ответом на вопрос «Как решить ДЗ» и «Как сделать» задание по алгебре к упражнению №23 (с. 43), авторов: Арефьева (Ирина Глебовна), Пирютко (Ольга Николаевна), базовый и повышенный уровень обучения учебного пособия издательства Народная асвета.