Номер 10, страница 186 - гдз по алгебре 10 класс сборник задач Арефьева, Пирютко
Авторы: Арефьева И. Г., Пирютко О. Н.
Тип: Сборник задач
Издательство: Народная асвета
Год издания: 2020 - 2025
Уровень обучения: базовый и повышенный
Цвет обложки: белый, голубой с графиком
Допущено Министерством образования Республики Беларусь
Популярные ГДЗ в 10 классе
Повторение. Тематические тесты. Тест 2. Преобразования рациональных выражений - номер 10, страница 186.
№10 (с. 186)
Условие. №10 (с. 186)
скриншот условия
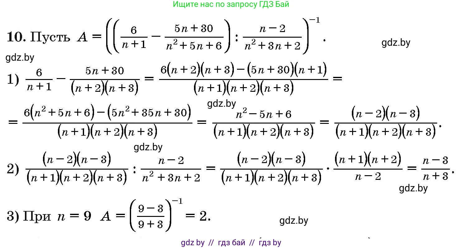
10. Упростите выражение $<\left(\left(\frac{6}{n+1}-\frac{5n+30}{n^2+5n+6}\right):\frac{n-2}{n^2+3n+2}\right)^{-1}>$ и найдите его значение при $n=9$.
Решение. №10 (с. 186)
Решение 2. №10 (с. 186)
Для решения задачи сначала упростим данное выражение, а затем найдем его значение при $n=9$. Решение будет состоять из двух частей.
Упрощение выражения
Исходное выражение: $ ((\frac{6}{n+1} - \frac{5n+30}{n^2+5n+6}) : \frac{n-2}{n^2+3n+2})^{-1} $.
Сначала разложим на множители квадратные трехчлены в знаменателях, найдя корни соответствующих квадратных уравнений.
Для $n^2+5n+6$: корни уравнения $n^2+5n+6=0$ по теореме Виета равны -2 и -3. Следовательно, $n^2+5n+6 = (n+2)(n+3)$.
Для $n^2+3n+2$: корни уравнения $n^2+3n+2=0$ по теореме Виета равны -1 и -2. Следовательно, $n^2+3n+2 = (n+1)(n+2)$.
Теперь выполним действия по порядку.
1. Вычитание в скобках. Также вынесем общий множитель в числителе $5n+30=5(n+6)$:
$\frac{6}{n+1} - \frac{5(n+6)}{(n+2)(n+3)}$
Приведем дроби к общему знаменателю $(n+1)(n+2)(n+3)$:
$\frac{6(n+2)(n+3) - 5(n+6)(n+1)}{(n+1)(n+2)(n+3)}$
Раскроем скобки в числителе и приведем подобные слагаемые:
$6(n^2+5n+6) - 5(n^2+7n+6) = 6n^2+30n+36 - 5n^2-35n-30 = n^2-5n+6$
Разложим полученный числитель $n^2-5n+6$ на множители: $(n-2)(n-3)$.
Результат вычитания: $\frac{(n-2)(n-3)}{(n+1)(n+2)(n+3)}$.
2. Деление:
$\frac{(n-2)(n-3)}{(n+1)(n+2)(n+3)} : \frac{n-2}{(n+1)(n+2)} = \frac{(n-2)(n-3)}{(n+1)(n+2)(n+3)} \cdot \frac{(n+1)(n+2)}{n-2}$
Сокращаем одинаковые множители в числителе и знаменателе:
$\frac{\cancel{(n-2)}(n-3)}{\cancel{(n+1)}\cancel{(n+2)}(n+3)} \cdot \frac{\cancel{(n+1)}\cancel{(n+2)}}{\cancel{n-2}} = \frac{n-3}{n+3}$
3. Возведение в степень -1:
$(\frac{n-3}{n+3})^{-1} = \frac{n+3}{n-3}$
Упрощение выражения: Ответ: $\frac{n+3}{n-3}$
Нахождение значения при n = 9
Подставим $n=9$ в полученное упрощенное выражение:
$\frac{9+3}{9-3} = \frac{12}{6}$
Дробь $\frac{12}{6}$ является неправильной, ее значение равно 2.
Нахождение значения при n = 9: Ответ: 2
Другие задания:
Помогло решение? Оставьте отзыв в комментариях ниже.
Присоединяйтесь к Телеграм-группе @gdz_by_belarus
ПрисоединитьсяМы подготовили для вас ответ c подробным объяснением домашего задания по алгебре за 10 класс, для упражнения номер 10 расположенного на странице 186 к сборнику задач 2020 года издания для учащихся школ и гимназий.
Теперь на нашем сайте ГДЗ.ТОП вы всегда легко и бесплатно найдёте условие с правильным ответом на вопрос «Как решить ДЗ» и «Как сделать» задание по алгебре к упражнению №10 (с. 186), авторов: Арефьева (Ирина Глебовна), Пирютко (Ольга Николаевна), базовый и повышенный уровень обучения учебного пособия издательства Народная асвета.