Номер 15.3, страница 84 - гдз по алгебре 10 класс сборник задач Арефьева, Пирютко
Авторы: Арефьева И. Г., Пирютко О. Н.
Тип: Сборник задач
Издательство: Народная асвета
Год издания: 2020 - 2025
Уровень обучения: базовый и повышенный
Цвет обложки: белый, голубой с графиком
Допущено Министерством образования Республики Беларусь
Популярные ГДЗ в 10 классе
Глава 3. Тригонометрия. Параграф 15. Синус, косинус, тангенс суммы и разности - номер 15.3, страница 84.
№15.3 (с. 84)
Условие. №15.3 (с. 84)
скриншот условия
15.3. Докажите тождество:
а) $\frac{\sqrt{2}\cos\alpha - 2\sin\left(\frac{\pi}{4} - \alpha\right)}{2\sin\left(\frac{\pi}{3} + \alpha\right) - \sqrt{3}\cos\alpha} = \sqrt{2};$
б) $\frac{\cos(1.5\pi + \alpha) + 2\cos\left(\frac{11\pi}{6} - \alpha\right)}{2\sin\left(\frac{\pi}{3} + \alpha\right) + \sqrt{3}\sin(1.5\pi - \alpha)} = \sqrt{3}\text{ctg}\alpha.$
Решение. №15.3 (с. 84)
Решение 2. №15.3 (с. 84)
a) Для доказательства тождества преобразуем его левую часть. Сначала упростим выражения в числителе и знаменателе, используя формулы сложения и вычитания аргументов.
Рассмотрим числитель: $\sqrt{2}\cos\alpha - 2\sin(\frac{\pi}{4}-\alpha)$.
Используем формулу синуса разности: $\sin(A-B) = \sin A \cos B - \cos A \sin B$.
$\sin(\frac{\pi}{4}-\alpha) = \sin\frac{\pi}{4}\cos\alpha - \cos\frac{\pi}{4}\sin\alpha = \frac{\sqrt{2}}{2}\cos\alpha - \frac{\sqrt{2}}{2}\sin\alpha = \frac{\sqrt{2}}{2}(\cos\alpha - \sin\alpha)$.
Подставим это выражение в числитель:
$\sqrt{2}\cos\alpha - 2 \cdot \frac{\sqrt{2}}{2}(\cos\alpha - \sin\alpha) = \sqrt{2}\cos\alpha - \sqrt{2}(\cos\alpha - \sin\alpha) = \sqrt{2}\cos\alpha - \sqrt{2}\cos\alpha + \sqrt{2}\sin\alpha = \sqrt{2}\sin\alpha$.
Теперь рассмотрим знаменатель: $2\sin(\frac{\pi}{3}+\alpha) - \sqrt{3}\cos\alpha$.
Используем формулу синуса суммы: $\sin(A+B) = \sin A \cos B + \cos A \sin B$.
$\sin(\frac{\pi}{3}+\alpha) = \sin\frac{\pi}{3}\cos\alpha + \cos\frac{\pi}{3}\sin\alpha = \frac{\sqrt{3}}{2}\cos\alpha + \frac{1}{2}\sin\alpha$.
Подставим это выражение в знаменатель:
$2(\frac{\sqrt{3}}{2}\cos\alpha + \frac{1}{2}\sin\alpha) - \sqrt{3}\cos\alpha = \sqrt{3}\cos\alpha + \sin\alpha - \sqrt{3}\cos\alpha = \sin\alpha$.
Теперь разделим упрощенный числитель на упрощенный знаменатель:
$\frac{\sqrt{2}\sin\alpha}{\sin\alpha} = \sqrt{2}$.
Левая часть равна правой, тождество доказано.
Ответ: $\sqrt{2}$.
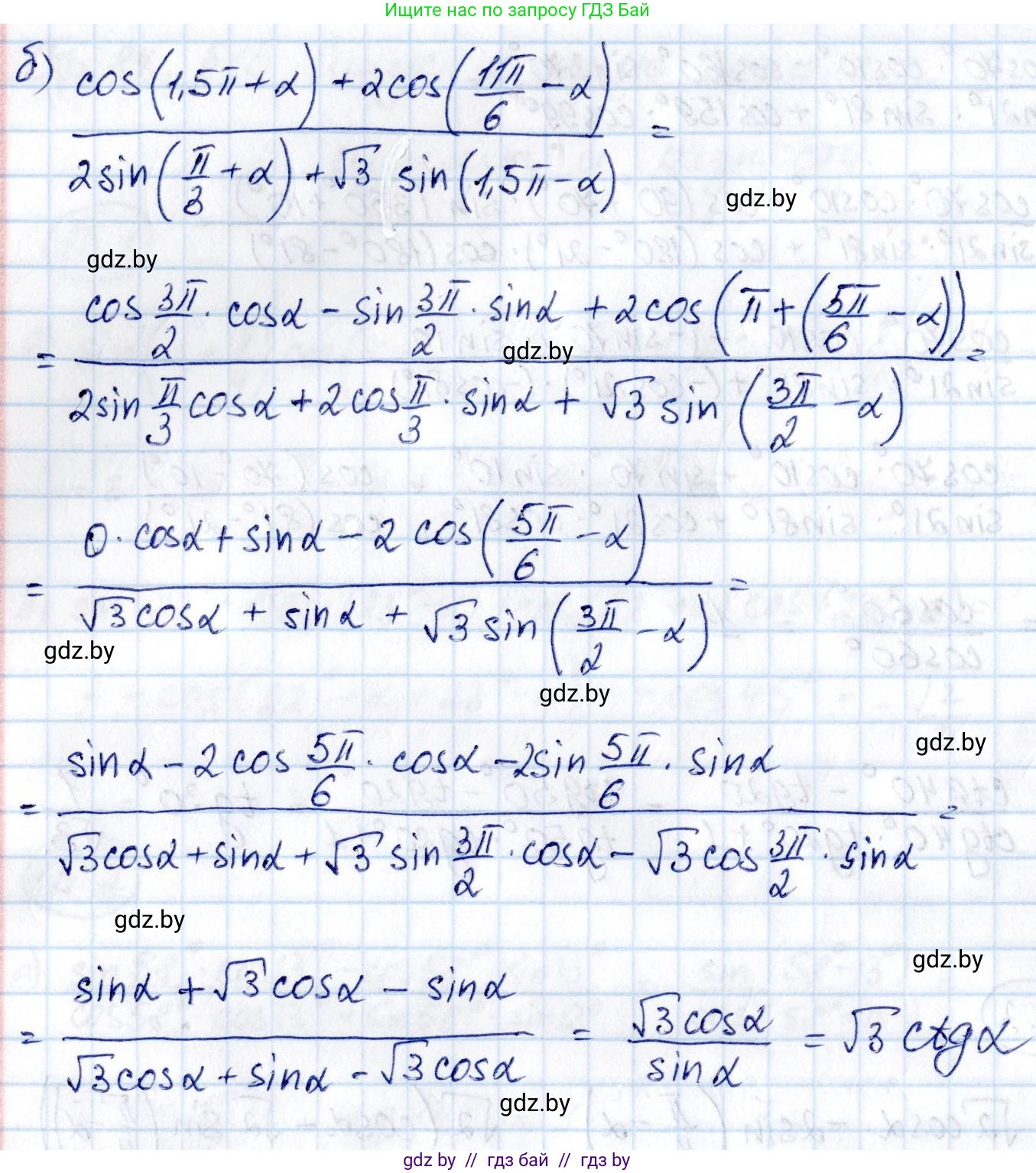
б) Для доказательства тождества преобразуем его левую часть. Упростим каждый тригонометрический член, используя формулы приведения и формулы сложения.
Упростим числитель: $\cos(1,5\pi + \alpha) + 2\cos(\frac{11\pi}{6}-\alpha)$.
Используем формулы приведения:
$\cos(1,5\pi + \alpha) = \cos(\frac{3\pi}{2} + \alpha) = \sin\alpha$.
$\cos(\frac{11\pi}{6}-\alpha) = \cos(2\pi - \frac{\pi}{6} - \alpha) = \cos(-(\frac{\pi}{6}+\alpha)) = \cos(\frac{\pi}{6}+\alpha)$.
Применим формулу косинуса суммы $\cos(A+B) = \cos A \cos B - \sin A \sin B$:
$\cos(\frac{\pi}{6}+\alpha) = \cos\frac{\pi}{6}\cos\alpha - \sin\frac{\pi}{6}\sin\alpha = \frac{\sqrt{3}}{2}\cos\alpha - \frac{1}{2}\sin\alpha$.
Подставим упрощенные выражения в числитель:
$\sin\alpha + 2(\frac{\sqrt{3}}{2}\cos\alpha - \frac{1}{2}\sin\alpha) = \sin\alpha + \sqrt{3}\cos\alpha - \sin\alpha = \sqrt{3}\cos\alpha$.
Упростим знаменатель: $2\sin(\frac{\pi}{3}+\alpha) + \sqrt{3}\sin(1,5\pi-\alpha)$.
Выражение $\sin(\frac{\pi}{3}+\alpha)$ нам уже встречалось: $\sin(\frac{\pi}{3}+\alpha) = \frac{\sqrt{3}}{2}\cos\alpha + \frac{1}{2}\sin\alpha$.
Используем формулу приведения для второго слагаемого:
$\sin(1,5\pi-\alpha) = \sin(\frac{3\pi}{2}-\alpha) = -\cos\alpha$.
Подставим упрощенные выражения в знаменатель:
$2(\frac{\sqrt{3}}{2}\cos\alpha + \frac{1}{2}\sin\alpha) + \sqrt{3}(-\cos\alpha) = \sqrt{3}\cos\alpha + \sin\alpha - \sqrt{3}\cos\alpha = \sin\alpha$.
Теперь разделим упрощенный числитель на упрощенный знаменатель:
$\frac{\sqrt{3}\cos\alpha}{\sin\alpha} = \sqrt{3}\text{ctg}\alpha$.
Левая часть равна правой, тождество доказано.
Ответ: $\sqrt{3}\text{ctg}\alpha$.
Другие задания:
Помогло решение? Оставьте отзыв в комментариях ниже.
Присоединяйтесь к Телеграм-группе @gdz_by_belarus
ПрисоединитьсяМы подготовили для вас ответ c подробным объяснением домашего задания по алгебре за 10 класс, для упражнения номер 15.3 расположенного на странице 84 к сборнику задач 2020 года издания для учащихся школ и гимназий.
Теперь на нашем сайте ГДЗ.ТОП вы всегда легко и бесплатно найдёте условие с правильным ответом на вопрос «Как решить ДЗ» и «Как сделать» задание по алгебре к упражнению №15.3 (с. 84), авторов: Арефьева (Ирина Глебовна), Пирютко (Ольга Николаевна), базовый и повышенный уровень обучения учебного пособия издательства Народная асвета.