Номер 13.12, страница 74 - гдз по алгебре 10 класс сборник задач Арефьева, Пирютко

Алгебра, 10 класс Сборник задач, авторы: Арефьева Ирина Глебовна, Пирютко Ольга Николаевна, издательство Народная асвета, Минск, 2020, белого цвета

Авторы: Арефьева И. Г., Пирютко О. Н.

Тип: Сборник задач

Издательство: Народная асвета

Год издания: 2020 - 2025

Уровень обучения: базовый и повышенный

Цвет обложки: белый, голубой с графиком

Допущено Министерством образования Республики Беларусь

Популярные ГДЗ в 10 классе

Глава 3. Тригонометрия. Параграф 13. Тригонометрические уравнения. Тригонометрические неравенства - номер 13.12, страница 74.

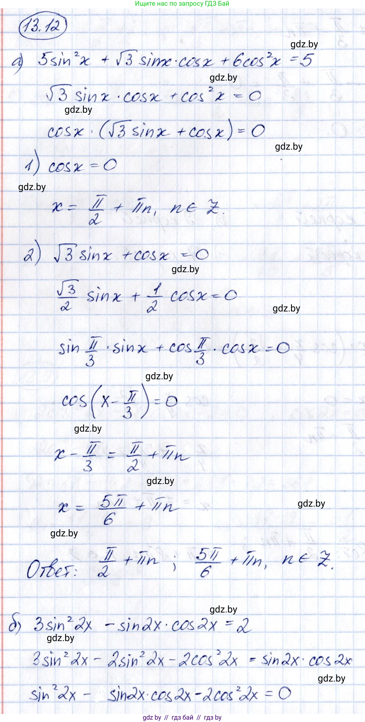
№13.12 (с. 74)
Условие. №13.12 (с. 74)
скриншот условия
Алгебра, 10 класс Сборник задач, авторы: Арефьева Ирина Глебовна, Пирютко Ольга Николаевна, издательство Народная асвета, Минск, 2020, белого цвета, страница 74, номер 13.12, Условие

13.12. Найдите абсциссы точек пересечения графика функции:

a) $f(x) = 5\sin^2 x + \sqrt{3} \sin x \cos x + 6\cos^2 x$ и прямой $y=5$;

б) $f(x) = 3\sin^2 2x - \sin 2x \cos 2x$ и прямой $y=2$;

в) $f(x) = 3\sin^2 \frac{x}{5} - \sqrt{3} \sin \frac{x}{5} \cos \frac{x}{5} + 4\cos^2 \frac{x}{5}$ и прямой $y=3.$

Решение. №13.12 (с. 74)
Алгебра, 10 класс Сборник задач, авторы: Арефьева Ирина Глебовна, Пирютко Ольга Николаевна, издательство Народная асвета, Минск, 2020, белого цвета, страница 74, номер 13.12, Решение Алгебра, 10 класс Сборник задач, авторы: Арефьева Ирина Глебовна, Пирютко Ольга Николаевна, издательство Народная асвета, Минск, 2020, белого цвета, страница 74, номер 13.12, Решение (продолжение 2)
Решение 2. №13.12 (с. 74)

а) Чтобы найти абсциссы точек пересечения, необходимо решить уравнение $f(x) = y$, то есть приравнять выражения для $f(x)$ и $y$.

$5\sin^2 x + \sqrt{3}\sin x\cos x + 6\cos^2 x = 5$

Для решения этого уравнения воспользуемся основным тригонометрическим тождеством $\sin^2 x + \cos^2 x = 1$. Заменим число 5 в правой части на $5(\sin^2 x + \cos^2 x)$:

$5\sin^2 x + \sqrt{3}\sin x\cos x + 6\cos^2 x = 5\sin^2 x + 5\cos^2 x$

Перенесем все слагаемые в левую часть и упростим выражение:

$(5\sin^2 x - 5\sin^2 x) + \sqrt{3}\sin x\cos x + (6\cos^2 x - 5\cos^2 x) = 0$

$\sqrt{3}\sin x\cos x + \cos^2 x = 0$

Вынесем общий множитель $\cos x$ за скобки:

$\cos x (\sqrt{3}\sin x + \cos x) = 0$

Произведение равно нулю, если один из множителей равен нулю. Это приводит к двум независимым уравнениям:

1) $\cos x = 0$

Решением этого уравнения является серия корней: $x = \frac{\pi}{2} + \pi k$, где $k \in \mathbb{Z}$.

2) $\sqrt{3}\sin x + \cos x = 0$

Если предположить, что $\cos x = 0$, то из этого уравнения следует, что $\sqrt{3}\sin x = 0$, то есть $\sin x = 0$. Однако $\sin x$ и $\cos x$ не могут быть равны нулю одновременно. Следовательно, $\cos x \neq 0$. Мы можем разделить обе части уравнения на $\cos x$:

$\sqrt{3}\frac{\sin x}{\cos x} + \frac{\cos x}{\cos x} = 0$

$\sqrt{3}\tan x + 1 = 0$

$\tan x = -\frac{1}{\sqrt{3}}$

Решением этого уравнения является серия корней: $x = -\frac{\pi}{6} + \pi n$, где $n \in \mathbb{Z}$.

Ответ: $x = \frac{\pi}{2} + \pi k, k \in \mathbb{Z}$; $x = -\frac{\pi}{6} + \pi n, n \in \mathbb{Z}$.

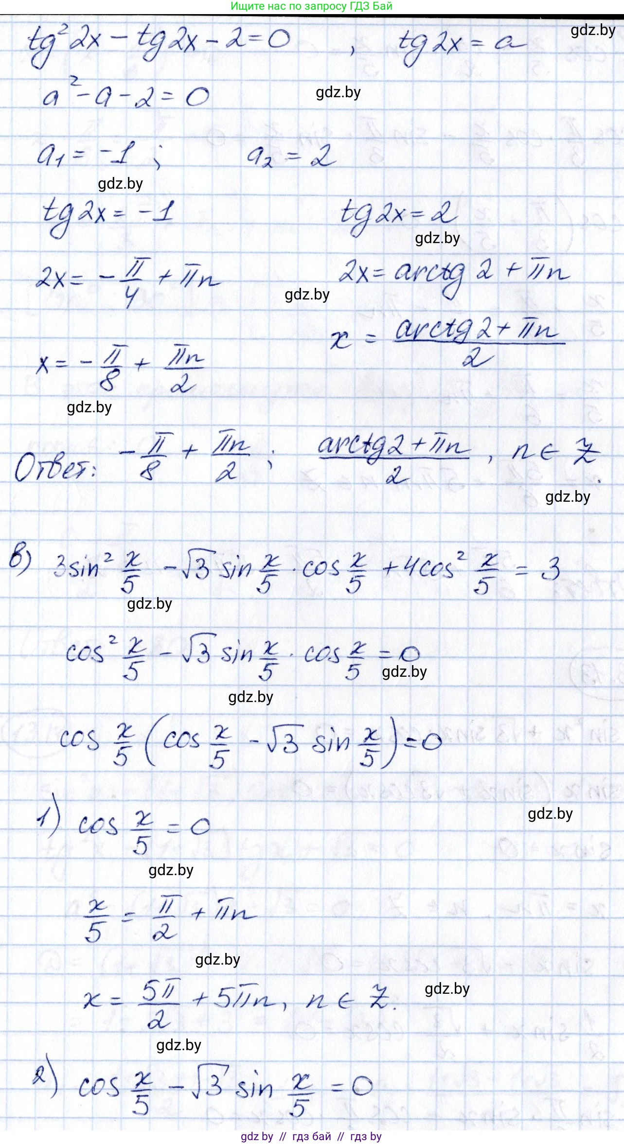
б) Решаем уравнение $f(x) = y$:

$3\sin^2 2x - \sin 2x\cos 2x = 2$

Используем тождество $1 = \sin^2 2x + \cos^2 2x$ и заменяем правую часть:

$3\sin^2 2x - \sin 2x\cos 2x = 2(\sin^2 2x + \cos^2 2x)$

$3\sin^2 2x - \sin 2x\cos 2x = 2\sin^2 2x + 2\cos^2 2x$

Перенесем все слагаемые в левую часть:

$(3\sin^2 2x - 2\sin^2 2x) - \sin 2x\cos 2x - 2\cos^2 2x = 0$

$\sin^2 2x - \sin 2x\cos 2x - 2\cos^2 2x = 0$

Это однородное тригонометрическое уравнение второй степени. Проверим случай $\cos 2x = 0$. Если $\cos 2x = 0$, то $\sin^2 2x = 1$. Подставив в уравнение, получим $1 - 0 - 0 = 0$, что является неверным равенством. Значит, $\cos 2x \neq 0$, и мы можем разделить обе части уравнения на $\cos^2 2x$:

$\frac{\sin^2 2x}{\cos^2 2x} - \frac{\sin 2x\cos 2x}{\cos^2 2x} - \frac{2\cos^2 2x}{\cos^2 2x} = 0$

$\tan^2 2x - \tan 2x - 2 = 0$

Введем замену $t = \tan 2x$. Уравнение становится квадратным:

$t^2 - t - 2 = 0$

Находим корни, например, по теореме Виета: $t_1 + t_2 = 1$, $t_1 \cdot t_2 = -2$. Отсюда $t_1 = 2$ и $t_2 = -1$.

Возвращаемся к переменной $x$:

1) $\tan 2x = 2$

$2x = \arctan(2) + \pi k$, где $k \in \mathbb{Z}$

$x = \frac{\arctan(2)}{2} + \frac{\pi k}{2}$, где $k \in \mathbb{Z}$

2) $\tan 2x = -1$

$2x = -\frac{\pi}{4} + \pi n$, где $n \in \mathbb{Z}$

$x = -\frac{\pi}{8} + \frac{\pi n}{2}$, где $n \in \mathbb{Z}$

Ответ: $x = \frac{\arctan(2)}{2} + \frac{\pi k}{2}, k \in \mathbb{Z}$; $x = -\frac{\pi}{8} + \frac{\pi n}{2}, n \in \mathbb{Z}$.

в) Решаем уравнение $f(x) = y$:

$3\sin^2 \frac{x}{5} - \sqrt{3}\sin \frac{x}{5}\cos \frac{x}{5} + 4\cos^2 \frac{x}{5} = 3$

Снова используем основное тригонометрическое тождество $1 = \sin^2 \frac{x}{5} + \cos^2 \frac{x}{5}$:

$3\sin^2 \frac{x}{5} - \sqrt{3}\sin \frac{x}{5}\cos \frac{x}{5} + 4\cos^2 \frac{x}{5} = 3(\sin^2 \frac{x}{5} + \cos^2 \frac{x}{5})$

$3\sin^2 \frac{x}{5} - \sqrt{3}\sin \frac{x}{5}\cos \frac{x}{5} + 4\cos^2 \frac{x}{5} = 3\sin^2 \frac{x}{5} + 3\cos^2 \frac{x}{5}$

Упростим, сократив $3\sin^2 \frac{x}{5}$ и перенеся слагаемые с косинусом влево:

$-\sqrt{3}\sin \frac{x}{5}\cos \frac{x}{5} + 4\cos^2 \frac{x}{5} - 3\cos^2 \frac{x}{5} = 0$

$-\sqrt{3}\sin \frac{x}{5}\cos \frac{x}{5} + \cos^2 \frac{x}{5} = 0$

Вынесем $\cos \frac{x}{5}$ за скобки:

$\cos \frac{x}{5} \left(-\sqrt{3}\sin \frac{x}{5} + \cos \frac{x}{5}\right) = 0$

Получаем два уравнения:

1) $\cos \frac{x}{5} = 0$

$\frac{x}{5} = \frac{\pi}{2} + \pi k$, где $k \in \mathbb{Z}$

$x = \frac{5\pi}{2} + 5\pi k$, где $k \in \mathbb{Z}$

2) $-\sqrt{3}\sin \frac{x}{5} + \cos \frac{x}{5} = 0$

Так как $\cos \frac{x}{5} \neq 0$, делим на него:

$-\sqrt{3}\tan \frac{x}{5} + 1 = 0$

$\tan \frac{x}{5} = \frac{1}{\sqrt{3}}$

$\frac{x}{5} = \frac{\pi}{6} + \pi n$, где $n \in \mathbb{Z}$

$x = \frac{5\pi}{6} + 5\pi n$, где $n \in \mathbb{Z}$

Ответ: $x = \mathbf{2}\frac{1}{2}\pi + 5\pi k, k \in \mathbb{Z}$; $x = \frac{5\pi}{6} + 5\pi n, n \in \mathbb{Z}$.

Помогло решение? Оставьте отзыв в комментариях ниже.

Присоединяйтесь к Телеграм-группе @gdz_by_belarus

Присоединиться

Мы подготовили для вас ответ c подробным объяснением домашего задания по алгебре за 10 класс, для упражнения номер 13.12 расположенного на странице 74 к сборнику задач 2020 года издания для учащихся школ и гимназий.

Теперь на нашем сайте ГДЗ.ТОП вы всегда легко и бесплатно найдёте условие с правильным ответом на вопрос «Как решить ДЗ» и «Как сделать» задание по алгебре к упражнению №13.12 (с. 74), авторов: Арефьева (Ирина Глебовна), Пирютко (Ольга Николаевна), базовый и повышенный уровень обучения учебного пособия издательства Народная асвета.