Номер 29.17, страница 132 - гдз по алгебре 7-9 класс сборник задач Арефьева, Пирютко

Алгебра, 7-9 класс Сборник задач, авторы: Арефьева Ирина Глебовна, Пирютко Ольга Николаевна, издательство Народная асвета, Минск, 2020

Авторы: Арефьева И. Г., Пирютко О. Н.

Тип: Сборник задач

Издательство: Народная асвета

Год издания: 2020 - 2025

Цвет обложки: синий с графиками

Допущено Министерством образования Республики Беларусь

Популярные ГДЗ в 7 классе

8 класс. Параграф 29. Квадратичная функция и ее свойства - номер 29.17, страница 132.

№29.17 (с. 132)
Условие. №29.17 (с. 132)
скриншот условия
Алгебра, 7-9 класс Сборник задач, авторы: Арефьева Ирина Глебовна, Пирютко Ольга Николаевна, издательство Народная асвета, Минск, 2020, страница 132, номер 29.17, Условие

29.17. Найдите область определения и множество значений функции:

а) $f(x) = 6(x-7)^2 - 3;$

б) $f(x) = -(x+5)^2 + 9;$

в) $f(x) = x^2 + 6x - 2;$

г) $f(x) = -4x^2 - 8x - 1;$

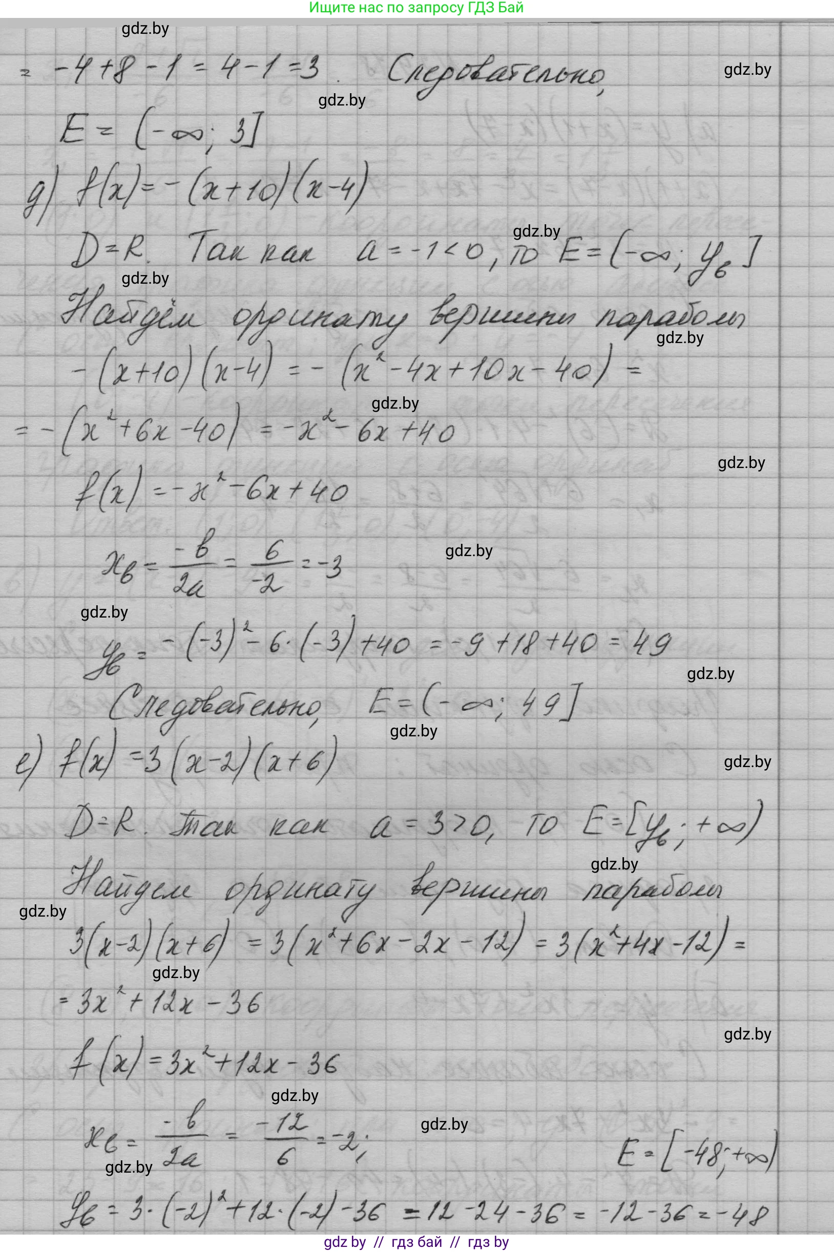
д) $f(x) = -(x+10)(x-4);$

е) $f(x) = 3(x-2)(x+6).$

Решение. №29.17 (с. 132)
Алгебра, 7-9 класс Сборник задач, авторы: Арефьева Ирина Глебовна, Пирютко Ольга Николаевна, издательство Народная асвета, Минск, 2020, страница 132, номер 29.17, Решение Алгебра, 7-9 класс Сборник задач, авторы: Арефьева Ирина Глебовна, Пирютко Ольга Николаевна, издательство Народная асвета, Минск, 2020, страница 132, номер 29.17, Решение (продолжение 2)
Решение 2. №29.17 (с. 132)

а) $f(x) = 6(x-7)^2 - 3$

Область определения ($D(f)$): Так как данная функция является квадратичной, ее область определения — это множество всех действительных чисел. $D(f) = (-\infty; +\infty)$.

Множество значений ($E(f)$): Функция задана в вершинной форме $f(x) = a(x-m)^2 + n$, где $(m; n)$ — координаты вершины параболы. В данном случае $a=6$, $m=7$, $n=-3$. Поскольку коэффициент $a = 6 > 0$, ветви параболы направлены вверх. Следовательно, в своей вершине функция достигает наименьшего значения. Наименьшее значение функции равно ординате вершины, то есть $-3$. Таким образом, множество значений функции — это все числа, большие или равные $-3$. $E(f) = [-3; +\infty)$.

Ответ: область определения: $(-\infty; +\infty)$; множество значений: $[-3; +\infty)$.

б) $f(x) = -(x+5)^2 + 9$

Область определения ($D(f)$): Область определения квадратичной функции — это множество всех действительных чисел. $D(f) = (-\infty; +\infty)$.

Множество значений ($E(f)$): Функция задана в вершинной форме $f(x) = a(x-m)^2 + n$. В данном случае $a=-1$, $m=-5$, $n=9$. Поскольку коэффициент $a = -1 < 0$, ветви параболы направлены вниз. Следовательно, в своей вершине функция достигает наибольшего значения. Наибольшее значение функции равно ординате вершины, то есть $9$. Таким образом, множество значений функции — это все числа, меньшие или равные $9$. $E(f) = (-\infty; 9]$.

Ответ: область определения: $(-\infty; +\infty)$; множество значений: $(-\infty; 9]$.

в) $f(x) = x^2 + 6x - 2$

Область определения ($D(f)$): Область определения квадратичной функции — это множество всех действительных чисел. $D(f) = (-\infty; +\infty)$.

Множество значений ($E(f)$): Это квадратичная функция вида $f(x) = ax^2 + bx + c$, с коэффициентом $a=1 > 0$, значит, ветви параболы направлены вверх. Наименьшее значение достигается в вершине. Найдем координаты вершины. Абсцисса вершины: $x_v = -\frac{b}{2a} = -\frac{6}{2 \cdot 1} = -3$. Ордината вершины (наименьшее значение функции): $y_v = f(x_v) = (-3)^2 + 6(-3) - 2 = 9 - 18 - 2 = -11$. Следовательно, множество значений функции $E(f) = [-11; +\infty)$.

Ответ: область определения: $(-\infty; +\infty)$; множество значений: $[-11; +\infty)$.

г) $f(x) = -4x^2 - 8x - 1$

Область определения ($D(f)$): Область определения квадратичной функции — это множество всех действительных чисел. $D(f) = (-\infty; +\infty)$.

Множество значений ($E(f)$): Это квадратичная функция вида $f(x) = ax^2 + bx + c$, с коэффициентом $a=-4 < 0$, значит, ветви параболы направлены вниз. Наибольшее значение достигается в вершине. Найдем координаты вершины. Абсцисса вершины: $x_v = -\frac{b}{2a} = -\frac{-8}{2 \cdot (-4)} = -\frac{-8}{-8} = -1$. Ордината вершины (наибольшее значение функции): $y_v = f(x_v) = -4(-1)^2 - 8(-1) - 1 = -4 + 8 - 1 = 3$. Следовательно, множество значений функции $E(f) = (-\infty; 3]$.

Ответ: область определения: $(-\infty; +\infty)$; множество значений: $(-\infty; 3]$.

д) $f(x) = -(x+10)(x-4)$

Область определения ($D(f)$): Область определения квадратичной функции — это множество всех действительных чисел. $D(f) = (-\infty; +\infty)$.

Множество значений ($E(f)$): Это квадратичная функция. Раскрыв скобки, получим $f(x) = -(x^2 + 6x - 40) = -x^2 - 6x + 40$. Коэффициент при $x^2$ равен $-1$, он отрицателен, значит, ветви параболы направлены вниз, и в вершине функция достигает максимума. Абсцисса вершины находится посередине между корнями функции $x_1 = -10$ и $x_2 = 4$: $x_v = \frac{-10 + 4}{2} = \frac{-6}{2} = -3$. Найдем ординату вершины (наибольшее значение): $y_v = f(x_v) = -(-3+10)(-3-4) = -(7)(-7) = 49$. Следовательно, множество значений функции $E(f) = (-\infty; 49]$.

Ответ: область определения: $(-\infty; +\infty)$; множество значений: $(-\infty; 49]$.

е) $f(x) = 3(x-2)(x+6)$

Область определения ($D(f)$): Область определения квадратичной функции — это множество всех действительных чисел. $D(f) = (-\infty; +\infty)$.

Множество значений ($E(f)$): Это квадратичная функция. Раскрыв скобки, получим $f(x) = 3(x^2 + 4x - 12) = 3x^2 + 12x - 36$. Коэффициент при $x^2$ равен $3$, он положителен, значит, ветви параболы направлены вверх, и в вершине функция достигает минимума. Абсцисса вершины находится посередине между корнями функции $x_1 = 2$ и $x_2 = -6$: $x_v = \frac{2 + (-6)}{2} = \frac{-4}{2} = -2$. Найдем ординату вершины (наименьшее значение): $y_v = f(x_v) = 3(-2-2)(-2+6) = 3(-4)(4) = -48$. Следовательно, множество значений функции $E(f) = [-48; +\infty)$.

Ответ: область определения: $(-\infty; +\infty)$; множество значений: $[-48; +\infty)$.

Помогло решение? Оставьте отзыв в комментариях ниже.

Присоединяйтесь к Телеграм-группе @gdz_by_belarus

Присоединиться

Мы подготовили для вас ответ c подробным объяснением домашего задания по алгебре за 7-9 класс, для упражнения номер 29.17 расположенного на странице 132 к сборнику задач 2020 года издания для учащихся школ и гимназий.

Теперь на нашем сайте ГДЗ.ТОП вы всегда легко и бесплатно найдёте условие с правильным ответом на вопрос «Как решить ДЗ» и «Как сделать» задание по алгебре к упражнению №29.17 (с. 132), авторов: Арефьева (Ирина Глебовна), Пирютко (Ольга Николаевна), учебного пособия издательства Народная асвета.