Номер 26.4, страница 125 - гдз по алгебре 7-9 класс сборник задач Арефьева, Пирютко
Авторы: Арефьева И. Г., Пирютко О. Н.
Тип: Сборник задач
Издательство: Народная асвета
Год издания: 2020 - 2025
Цвет обложки: синий с графиками
Допущено Министерством образования Республики Беларусь
Популярные ГДЗ в 7 классе
8 класс. Параграф 26. Теорема Виета - номер 26.4, страница 125.
№26.4 (с. 125)
Условие. №26.4 (с. 125)
скриншот условия
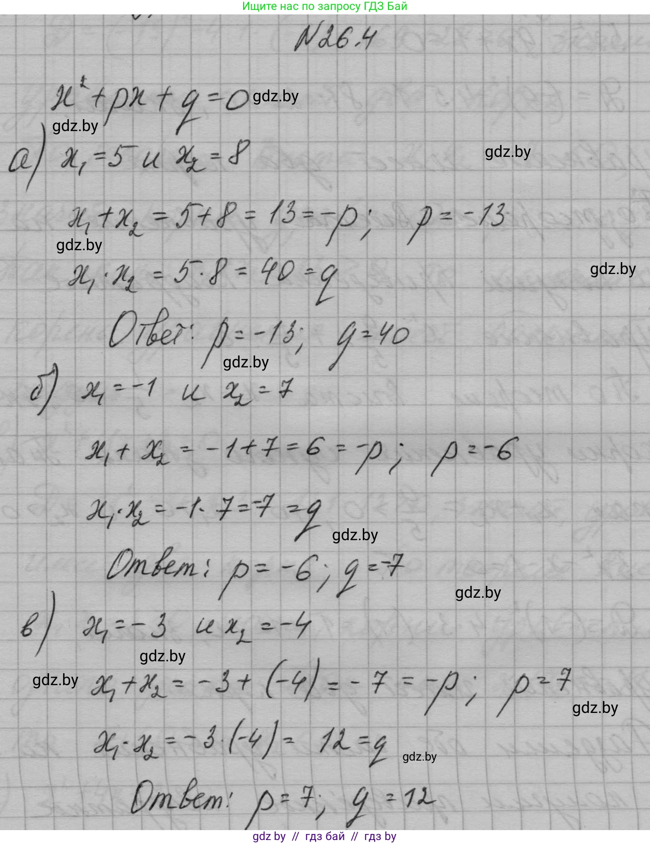
26.4. Найдите коэффициенты $p$ и $q$ квадратного уравнения $x^2 + px + q = 0$, если известно, что его корнями являются числа:
а) 5 и 8;
б) -1 и 7;
в) -3 и -4.
Решение. №26.4 (с. 125)
Решение 2. №26.4 (с. 125)
Для нахождения коэффициентов $p$ и $q$ приведенного квадратного уравнения вида $x^2 + px + q = 0$ воспользуемся теоремой Виета. Согласно этой теореме, для корней $x_1$ и $x_2$ справедливы следующие соотношения:
- Сумма корней равна второму коэффициенту, взятому с противоположным знаком: $x_1 + x_2 = -p$
- Произведение корней равно свободному члену: $x_1 \cdot x_2 = q$
Из этих соотношений мы можем выразить коэффициенты $p$ и $q$ через корни уравнения:
$p = -(x_1 + x_2)$
$q = x_1 \cdot x_2$
Применим эти формулы для каждого случая.
a) Корни уравнения: 5 и 8.
Пусть $x_1 = 5$ и $x_2 = 8$.
Найдем коэффициент $p$:
$p = -(x_1 + x_2) = -(5 + 8) = -13$
Найдем коэффициент $q$:
$q = x_1 \cdot x_2 = 5 \cdot 8 = 40$
Таким образом, искомые коэффициенты равны -13 и 40, а уравнение имеет вид $x^2 - 13x + 40 = 0$.
Ответ: $p = -13, q = 40$.
б) Корни уравнения: -1 и 7.
Пусть $x_1 = -1$ и $x_2 = 7$.
Найдем коэффициент $p$:
$p = -(x_1 + x_2) = -(-1 + 7) = -6$
Найдем коэффициент $q$:
$q = x_1 \cdot x_2 = (-1) \cdot 7 = -7$
Таким образом, искомые коэффициенты равны -6 и -7, а уравнение имеет вид $x^2 - 6x - 7 = 0$.
Ответ: $p = -6, q = -7$.
в) Корни уравнения: -3 и -4.
Пусть $x_1 = -3$ и $x_2 = -4$.
Найдем коэффициент $p$:
$p = -(x_1 + x_2) = -(-3 + (-4)) = -(-7) = 7$
Найдем коэффициент $q$:
$q = x_1 \cdot x_2 = (-3) \cdot (-4) = 12$
Таким образом, искомые коэффициенты равны 7 и 12, а уравнение имеет вид $x^2 + 7x + 12 = 0$.
Ответ: $p = 7, q = 12$.
Другие задания:
Помогло решение? Оставьте отзыв в комментариях ниже.
Присоединяйтесь к Телеграм-группе @gdz_by_belarus
ПрисоединитьсяМы подготовили для вас ответ c подробным объяснением домашего задания по алгебре за 7-9 класс, для упражнения номер 26.4 расположенного на странице 125 к сборнику задач 2020 года издания для учащихся школ и гимназий.
Теперь на нашем сайте ГДЗ.ТОП вы всегда легко и бесплатно найдёте условие с правильным ответом на вопрос «Как решить ДЗ» и «Как сделать» задание по алгебре к упражнению №26.4 (с. 125), авторов: Арефьева (Ирина Глебовна), Пирютко (Ольга Николаевна), учебного пособия издательства Народная асвета.