Номер 25.36, страница 124 - гдз по алгебре 7-9 класс сборник задач Арефьева, Пирютко

Алгебра, 7-9 класс Сборник задач, авторы: Арефьева Ирина Глебовна, Пирютко Ольга Николаевна, издательство Народная асвета, Минск, 2020

Авторы: Арефьева И. Г., Пирютко О. Н.

Тип: Сборник задач

Издательство: Народная асвета

Год издания: 2020 - 2025

Цвет обложки: синий с графиками

Допущено Министерством образования Республики Беларусь

Популярные ГДЗ в 7 классе

8 класс. Параграф 25. Квадратные уравнения. Решение неполных квадратных уравнений. Формулы корней квадратного уравнения. Решение текстовых задач с помощью квадратных уравнений - номер 25.36, страница 124.

№25.36 (с. 124)
Условие. №25.36 (с. 124)
скриншот условия
Алгебра, 7-9 класс Сборник задач, авторы: Арефьева Ирина Глебовна, Пирютко Ольга Николаевна, издательство Народная асвета, Минск, 2020, страница 124, номер 25.36, Условие

25.36*. Решите квадратное уравнение:

a) $(6+2\sqrt{5})x^2 - 15x - (6-2\sqrt{5}) = 0;$

б) $-x^2 + (1-\sqrt{7})x + 2 + 0,5\sqrt{7} = 0.$

Решение. №25.36 (с. 124)
Алгебра, 7-9 класс Сборник задач, авторы: Арефьева Ирина Глебовна, Пирютко Ольга Николаевна, издательство Народная асвета, Минск, 2020, страница 124, номер 25.36, Решение Алгебра, 7-9 класс Сборник задач, авторы: Арефьева Ирина Глебовна, Пирютко Ольга Николаевна, издательство Народная асвета, Минск, 2020, страница 124, номер 25.36, Решение (продолжение 2)
Решение 2. №25.36 (с. 124)

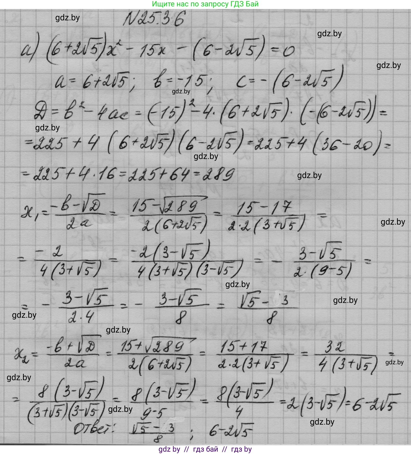
а)

Дано квадратное уравнение:

$(6 + 2\sqrt{5})x^2 - 15x - (6 - 2\sqrt{5}) = 0$

Это уравнение вида $ax^2 + bx + c = 0$, где:

$a = 6 + 2\sqrt{5}$

$b = -15$

$c = -(6 - 2\sqrt{5}) = 2\sqrt{5} - 6$

Для решения используем формулу корней квадратного уравнения через дискриминант. Сначала найдем дискриминант $D$ по формуле $D = b^2 - 4ac$:

$D = (-15)^2 - 4(6 + 2\sqrt{5})(2\sqrt{5} - 6)$

Выражение $(6 + 2\sqrt{5})(2\sqrt{5} - 6)$ является разностью квадратов, так как $(2\sqrt{5} + 6)(2\sqrt{5} - 6)$:

$(2\sqrt{5})^2 - 6^2 = 4 \cdot 5 - 36 = 20 - 36 = -16$.

Подставим это значение в формулу для дискриминанта:

$D = 225 - 4(-16) = 225 + 64 = 289$.

Корень из дискриминанта: $\sqrt{D} = \sqrt{289} = 17$.

Теперь найдем корни уравнения по формуле $x_{1,2} = \frac{-b \pm \sqrt{D}}{2a}$:

$x_{1,2} = \frac{-(-15) \pm 17}{2(6 + 2\sqrt{5})} = \frac{15 \pm 17}{12 + 4\sqrt{5}}$.

Найдем первый корень:

$x_1 = \frac{15 + 17}{12 + 4\sqrt{5}} = \frac{32}{4(3 + \sqrt{5})} = \frac{8}{3 + \sqrt{5}}$.

Чтобы упростить выражение, избавимся от иррациональности в знаменателе, умножив числитель и знаменатель на сопряженное выражение $(3 - \sqrt{5})$:

$x_1 = \frac{8(3 - \sqrt{5})}{(3 + \sqrt{5})(3 - \sqrt{5})} = \frac{8(3 - \sqrt{5})}{3^2 - (\sqrt{5})^2} = \frac{8(3 - \sqrt{5})}{9 - 5} = \frac{8(3 - \sqrt{5})}{4} = 2(3 - \sqrt{5}) = 6 - 2\sqrt{5}$.

Найдем второй корень:

$x_2 = \frac{15 - 17}{12 + 4\sqrt{5}} = \frac{-2}{4(3 + \sqrt{5})} = \frac{-1}{2(3 + \sqrt{5})}$.

Также избавимся от иррациональности в знаменателе:

$x_2 = \frac{-1(3 - \sqrt{5})}{2(3 + \sqrt{5})(3 - \sqrt{5})} = \frac{-3 + \sqrt{5}}{2(9 - 5)} = \frac{-3 + \sqrt{5}}{2 \cdot 4} = \frac{\sqrt{5} - 3}{8}$.

Ответ: $x_1 = 6 - 2\sqrt{5}$, $x_2 = \frac{\sqrt{5} - 3}{8}$.

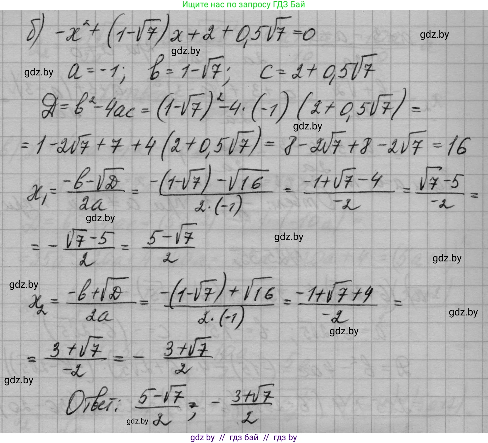
б)

Дано квадратное уравнение:

$-x^2 + (1 - \sqrt{7})x + 2 + 0,5\sqrt{7} = 0$

Для удобства вычислений умножим все члены уравнения на -1, чтобы коэффициент при $x^2$ стал положительным:

$x^2 - (1 - \sqrt{7})x - (2 + 0,5\sqrt{7}) = 0$

$x^2 + (\sqrt{7} - 1)x - (2 + \frac{\sqrt{7}}{2}) = 0$

Это уравнение вида $ax^2 + bx + c = 0$, где:

$a = 1$

$b = \sqrt{7} - 1$

$c = -(2 + \frac{\sqrt{7}}{2})$

Найдем дискриминант $D$ по формуле $D = b^2 - 4ac$:

$D = (\sqrt{7} - 1)^2 - 4(1)(-(2 + \frac{\sqrt{7}}{2}))$

$D = ((\sqrt{7})^2 - 2\sqrt{7} \cdot 1 + 1^2) + 4(2 + \frac{\sqrt{7}}{2})$

$D = (7 - 2\sqrt{7} + 1) + (8 + 4 \cdot \frac{\sqrt{7}}{2})$

$D = 8 - 2\sqrt{7} + 8 + 2\sqrt{7} = 16$.

Корень из дискриминанта: $\sqrt{D} = \sqrt{16} = 4$.

Теперь найдем корни уравнения по формуле $x_{1,2} = \frac{-b \pm \sqrt{D}}{2a}$:

$x_{1,2} = \frac{-(\sqrt{7} - 1) \pm 4}{2(1)} = \frac{1 - \sqrt{7} \pm 4}{2}$.

Найдем первый корень:

$x_1 = \frac{1 - \sqrt{7} + 4}{2} = \frac{5 - \sqrt{7}}{2}$.

Найдем второй корень:

$x_2 = \frac{1 - \sqrt{7} - 4}{2} = \frac{-3 - \sqrt{7}}{2} = -\frac{3 + \sqrt{7}}{2}$.

Ответ: $x_1 = \frac{5 - \sqrt{7}}{2}$, $x_2 = -\frac{3 + \sqrt{7}}{2}$.

Помогло решение? Оставьте отзыв в комментариях ниже.

Присоединяйтесь к Телеграм-группе @gdz_by_belarus

Присоединиться

Мы подготовили для вас ответ c подробным объяснением домашего задания по алгебре за 7-9 класс, для упражнения номер 25.36 расположенного на странице 124 к сборнику задач 2020 года издания для учащихся школ и гимназий.

Теперь на нашем сайте ГДЗ.ТОП вы всегда легко и бесплатно найдёте условие с правильным ответом на вопрос «Как решить ДЗ» и «Как сделать» задание по алгебре к упражнению №25.36 (с. 124), авторов: Арефьева (Ирина Глебовна), Пирютко (Ольга Николаевна), учебного пособия издательства Народная асвета.