Номер 1.19, страница 8 - гдз по алгебре 7-9 класс сборник задач Арефьева, Пирютко
Авторы: Арефьева И. Г., Пирютко О. Н.
Тип: Сборник задач
Издательство: Народная асвета
Год издания: 2020 - 2025
Цвет обложки: синий с графиками
Допущено Министерством образования Республики Беларусь
Популярные ГДЗ в 7 классе
7 класс. Параграф 1. Степень с натуральным показателем и ее свойства - номер 1.19, страница 8.
№1.19 (с. 8)
Условие. №1.19 (с. 8)
скриншот условия
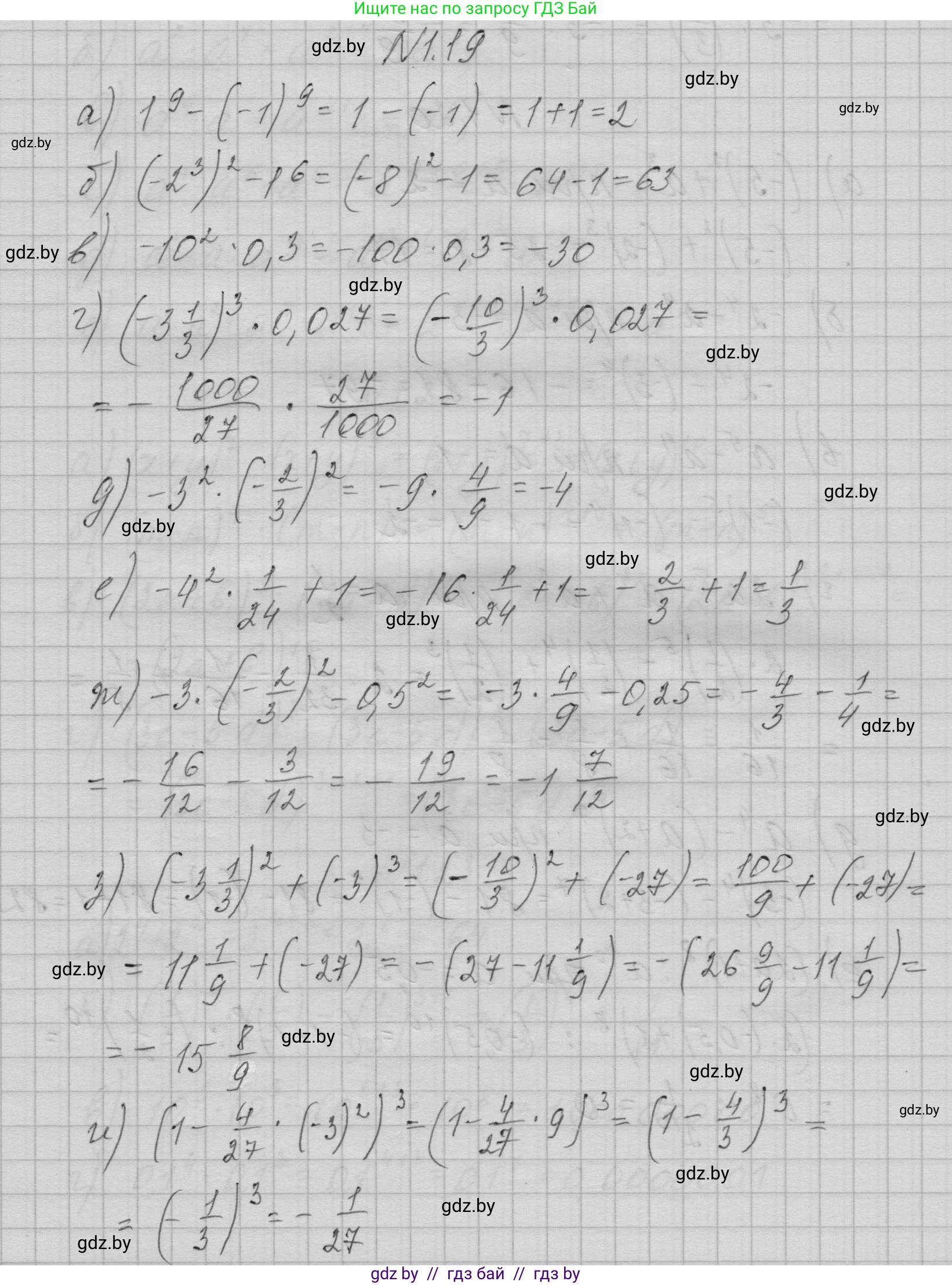
1.19. Выполните действия:
а) $1^9 - (-1)^9;$
б) $(-2^3)^2 - 1^6;$
в) $-10^2 \cdot 0,3;$
г) $\left(-3\frac{1}{3}\right)^3 \cdot 0,027;$
д) $-3^2 \cdot \left(-\frac{2}{3}\right)^2;$
е) $-4^2 \cdot \frac{1}{24} + 1;$
ж) $-3 \cdot \left(-\frac{2}{3}\right)^2 - 0,5^2;$
з) $\left(-3\frac{1}{3}\right)^2 + (-3)^3;$
и) $\left(1 - \frac{4}{27} \cdot (-3)^2\right)^3;$
к) $-5 \cdot \left(\left(-\frac{2}{3}\right)^2 - \left(\frac{1}{3}\right)^2\right)^2.$
Правообладатель Народная асвета
Решение. №1.19 (с. 8)
Решение 2. №1.19 (с. 8)
а) $1^9 - (-1)^9$
Первое слагаемое $1^9 = 1$, так как единица в любой степени равна единице. Второе слагаемое $(-1)^9 = -1$, так как отрицательное число в нечетной степени остается отрицательным. Выполним вычитание:
$1 - (-1) = 1 + 1 = 2$
Ответ: $2$
б) $(-2^3)^2 - 1^6$
Сначала выполним действия в скобках и возведение в степень. Обратите внимание, что в выражении $-2^3$ степень относится только к числу 2, а не к $-2$.
1. $2^3 = 8$, следовательно, $-2^3 = -8$.
2. $(-8)^2 = 64$.
3. $1^6 = 1$.
4. $64 - 1 = 63$.
Или по свойству степеней $(a^m)^n = a^{m \cdot n}$: $(-2^3)^2 = (2^3)^2 = 2^{3 \cdot 2} = 2^6 = 64$. Тогда $64 - 1^6 = 64 - 1 = 63$.
Ответ: $63$
в) $-10^2 \cdot 0,3$
Степень относится только к числу 10.
1. $10^2 = 100$.
2. $-100 \cdot 0,3 = -30$.
Ответ: $-30$
г) $(-3\frac{1}{3})^3 \cdot 0,027$
Преобразуем смешанное число в неправильную дробь, а десятичную дробь в обыкновенную.
1. $-3\frac{1}{3} = -\frac{3 \cdot 3 + 1}{3} = -\frac{10}{3}$.
2. $0,027 = \frac{27}{1000} = (\frac{3}{10})^3$.
Подставим значения в выражение:
$(-\frac{10}{3})^3 \cdot (\frac{3}{10})^3 = (-\frac{10}{3} \cdot \frac{3}{10})^3 = (-1)^3 = -1$.
Ответ: $-1$
д) $-3^2 \cdot (-\frac{2}{3})^2$
Выполняем возведение в степень в первую очередь.
1. $-3^2 = -(3 \cdot 3) = -9$.
2. $(-\frac{2}{3})^2 = \frac{4}{9}$.
3. $-9 \cdot \frac{4}{9} = -4$.
Ответ: $-4$
е) $-4^2 \cdot \frac{1}{24} + 1$
Соблюдаем порядок действий: возведение в степень, умножение, сложение.
1. $-4^2 = -16$.
2. $-16 \cdot \frac{1}{24} = -\frac{16}{24} = -\frac{2 \cdot 8}{3 \cdot 8} = -\frac{2}{3}$.
3. $-\frac{2}{3} + 1 = -\frac{2}{3} + \frac{3}{3} = \frac{1}{3}$.
Ответ: $\frac{1}{3}$
ж) $-3 \cdot (-\frac{2}{3})^2 - 0,5^2$
1. $(-\frac{2}{3})^2 = \frac{4}{9}$.
2. $0,5^2 = 0,25 = \frac{1}{4}$.
3. $-3 \cdot \frac{4}{9} = -\frac{12}{9} = -\frac{4}{3}$.
4. $-\frac{4}{3} - \frac{1}{4} = -\frac{16}{12} - \frac{3}{12} = -\frac{19}{12} = -1\frac{7}{12}$.
Ответ: $-1\frac{7}{12}$
з) $(-3\frac{1}{3})^2 + (-3)^3$
1. $-3\frac{1}{3} = -\frac{10}{3}$.
2. $(-\frac{10}{3})^2 = \frac{100}{9}$.
3. $(-3)^3 = -27$.
4. $\frac{100}{9} + (-27) = \frac{100}{9} - \frac{27 \cdot 9}{9} = \frac{100 - 243}{9} = -\frac{143}{9} = -15\frac{8}{9}$.
Ответ: $-15\frac{8}{9}$
и) $(1 - \frac{4}{27} \cdot (-3)^2)^3$
Выполняем действия в скобках.
1. $(-3)^2 = 9$.
2. $\frac{4}{27} \cdot 9 = \frac{4 \cdot 9}{27} = \frac{36}{27} = \frac{4}{3}$.
3. $1 - \frac{4}{3} = \frac{3}{3} - \frac{4}{3} = -\frac{1}{3}$.
Теперь возводим результат в куб:
4. $(-\frac{1}{3})^3 = -\frac{1^3}{3^3} = -\frac{1}{27}$.
Ответ: $-\frac{1}{27}$
к) $-5 \cdot ( (-\frac{2}{3})^2 - (\frac{1}{3})^2 )^2$
Сначала вычисляем выражение в скобках.
1. $(-\frac{2}{3})^2 = \frac{4}{9}$.
2. $(\frac{1}{3})^2 = \frac{1}{9}$.
3. $\frac{4}{9} - \frac{1}{9} = \frac{3}{9} = \frac{1}{3}$.
Теперь подставляем результат обратно в исходное выражение:
4. $-5 \cdot (\frac{1}{3})^2 = -5 \cdot \frac{1}{9} = -\frac{5}{9}$.
Ответ: $-\frac{5}{9}$
Другие задания:
Помогло решение? Оставьте отзыв в комментариях ниже.
Присоединяйтесь к Телеграм-группе @gdz_by_belarus
ПрисоединитьсяМы подготовили для вас ответ c подробным объяснением домашего задания по алгебре за 7-9 класс, для упражнения номер 1.19 расположенного на странице 8 к сборнику задач 2020 года издания для учащихся школ и гимназий.
Теперь на нашем сайте ГДЗ.ТОП вы всегда легко и бесплатно найдёте условие с правильным ответом на вопрос «Как решить ДЗ» и «Как сделать» задание по алгебре к упражнению №1.19 (с. 8), авторов: Арефьева (Ирина Глебовна), Пирютко (Ольга Николаевна), учебного пособия издательства Народная асвета.