Номер 23, страница 74 - гдз по алгебре 11 класс сборник задач Арефьева, Пирютко

Алгебра, 11 класс Сборник задач, авторы: Арефьева Ирина Глебовна, Пирютко Ольга Николаевна, издательство Народная асвета, Минск, 2020, белого цвета

Авторы: Арефьева И. Г., Пирютко О. Н.

Тип: Сборник задач

Издательство: Народная асвета

Год издания: 2020 - 2025

Уровень обучения: базовый и повышенный

Цвет обложки: белый с графиком

Допущено Министерством образования Республики Беларусь

Популярные ГДЗ в 11 классе

Глава 3. Логарифмическая функция. Параграф 9. Логарифмические уравнения - номер 23, страница 74.

№23 (с. 74)
Условие. №23 (с. 74)
скриншот условия
Алгебра, 11 класс Сборник задач, авторы: Арефьева Ирина Глебовна, Пирютко Ольга Николаевна, издательство Народная асвета, Минск, 2020, белого цвета, страница 74, номер 23, Условие

9.23. Решите уравнение:

a) $\log_2 (2^{x+1} - 8) = x$;

б) $\log_3 (6 + 3^{x-2}) = x - 1$;

в) $\log_6 (5 + 6^{-x}) = x + 1$;

г) $2x - \lg(5^{2x} + 4x - 16) = \lg 4^x$;

д) $\lg 6 - \lg(2^x + 1) = x(1 - \lg 5)$;

е) $\log_2 (2^x - 5) - \log_2 (2^x - 2) = 2 - x$.

Решение. №23 (с. 74)
Алгебра, 11 класс Сборник задач, авторы: Арефьева Ирина Глебовна, Пирютко Ольга Николаевна, издательство Народная асвета, Минск, 2020, белого цвета, страница 74, номер 23, Решение Алгебра, 11 класс Сборник задач, авторы: Арефьева Ирина Глебовна, Пирютко Ольга Николаевна, издательство Народная асвета, Минск, 2020, белого цвета, страница 74, номер 23, Решение (продолжение 2)
Решение 2. №23 (с. 74)

а) $ \log_2(2^{x+1} - 8) = x $

1. Найдем область допустимых значений (ОДЗ). Выражение под знаком логарифма должно быть строго положительным:

$ 2^{x+1} - 8 > 0 $

$ 2^{x+1} > 8 $

$ 2^{x+1} > 2^3 $

Так как основание степени $2 > 1$, то неравенство для показателей имеет тот же знак:

$ x + 1 > 3 $

$ x > 2 $

2. Решим уравнение, используя определение логарифма ($ \log_a b = c \Leftrightarrow a^c = b $):

$ 2^x = 2^{x+1} - 8 $

$ 2^x = 2 \cdot 2^x - 8 $

Перенесем слагаемые с $2^x$ в одну часть:

$ 2 \cdot 2^x - 2^x = 8 $

$ 2^x(2-1) = 8 $

$ 2^x = 8 $

$ 2^x = 2^3 $

$ x = 3 $

3. Проверим, удовлетворяет ли найденный корень ОДЗ. Условие $ x > 2 $ для $ x=3 $ выполняется, так как $ 3 > 2 $.

Ответ: 3.

б) $ \log_3(6 + 3^{x-2}) = x - 1 $

1. ОДЗ: $ 6 + 3^{x-2} > 0 $. Поскольку показательная функция $ 3^{x-2} $ всегда положительна, то и сумма $ 6 + 3^{x-2} $ всегда больше нуля. Следовательно, ОДЗ: $ x \in \mathbb{R} $ (любое действительное число).

2. По определению логарифма:

$ 3^{x-1} = 6 + 3^{x-2} $

Используя свойства степеней, преобразуем уравнение:

$ 3^x \cdot 3^{-1} = 6 + 3^x \cdot 3^{-2} $

$ \frac{1}{3} \cdot 3^x = 6 + \frac{1}{9} \cdot 3^x $

Перенесем слагаемые, содержащие $ 3^x $, в левую часть:

$ \frac{1}{3} \cdot 3^x - \frac{1}{9} \cdot 3^x = 6 $

$ 3^x \left(\frac{1}{3} - \frac{1}{9}\right) = 6 $

$ 3^x \left(\frac{3}{9} - \frac{1}{9}\right) = 6 $

$ 3^x \cdot \frac{2}{9} = 6 $

$ 3^x = 6 \cdot \frac{9}{2} $

$ 3^x = 27 $

$ 3^x = 3^3 $

$ x = 3 $

Корень $ x=3 $ принадлежит ОДЗ.

Ответ: 3.

в) $ \log_6(5 + 6^{-x}) = x + 1 $

1. ОДЗ: $ 5 + 6^{-x} > 0 $. Так как $ 6^{-x} > 0 $ для любого $x$, выражение всегда положительно. ОДЗ: $ x \in \mathbb{R} $.

2. По определению логарифма:

$ 6^{x+1} = 5 + 6^{-x} $

$ 6 \cdot 6^x = 5 + \frac{1}{6^x} $

Сделаем замену переменной $ y = 6^x $. Так как $ 6^x > 0 $, то $ y > 0 $.

$ 6y = 5 + \frac{1}{y} $

Умножим обе части уравнения на $y$ (так как $y \neq 0$):

$ 6y^2 = 5y + 1 $

$ 6y^2 - 5y - 1 = 0 $

Решим полученное квадратное уравнение. Дискриминант $ D = b^2 - 4ac = (-5)^2 - 4(6)(-1) = 25 + 24 = 49 = 7^2 $.

$ y_1 = \frac{-b - \sqrt{D}}{2a} = \frac{5 - 7}{12} = -\frac{2}{12} = -\frac{1}{6} $

$ y_2 = \frac{-b + \sqrt{D}}{2a} = \frac{5 + 7}{12} = \frac{12}{12} = 1 $

Условию $ y > 0 $ удовлетворяет только корень $ y_2 = 1 $.

Выполним обратную замену:

$ 6^x = 1 $

$ 6^x = 6^0 $

$ x = 0 $

Корень $ x=0 $ принадлежит ОДЗ.

Ответ: 0.

г) $ 2x - \lg(5^{2x} + 4x - 16) = \lg 4^x $

1. ОДЗ: $ 5^{2x} + 4x - 16 > 0 $ и $ 4^x > 0 $. Второе неравенство выполняется для всех $x \in \mathbb{R}$. Первое неравенство проверим после нахождения корня.

2. Преобразуем уравнение:

$ 2x = \lg 4^x + \lg(5^{2x} + 4x - 16) $

Используем свойство суммы логарифмов $ \lg a + \lg b = \lg(ab) $:

$ 2x = \lg(4^x (5^{2x} + 4x - 16)) $

Представим левую часть как десятичный логарифм, используя свойство $ c = \lg(10^c) $:

$ \lg(10^{2x}) = \lg(4^x (5^{2x} + 4x - 16)) $

Так как логарифмическая функция является монотонной, приравниваем выражения под знаком логарифма:

$ 10^{2x} = 4^x (5^{2x} + 4x - 16) $

$ (10^2)^x = 4^x ((5^2)^x + 4x - 16) $

$ 100^x = 4^x (25^x + 4x - 16) $

$ (25 \cdot 4)^x = 4^x (25^x + 4x - 16) $

$ 25^x \cdot 4^x = 4^x (25^x + 4x - 16) $

Разделим обе части на $ 4^x $ (так как $ 4^x \neq 0 $):

$ 25^x = 25^x + 4x - 16 $

$ 0 = 4x - 16 $

$ 4x = 16 $

$ x = 4 $

3. Проверим ОДЗ для $ x=4 $:

$ 5^{2(4)} + 4(4) - 16 = 5^8 + 16 - 16 = 5^8 $. Так как $ 5^8 > 0 $, условие выполняется.

Ответ: 4.

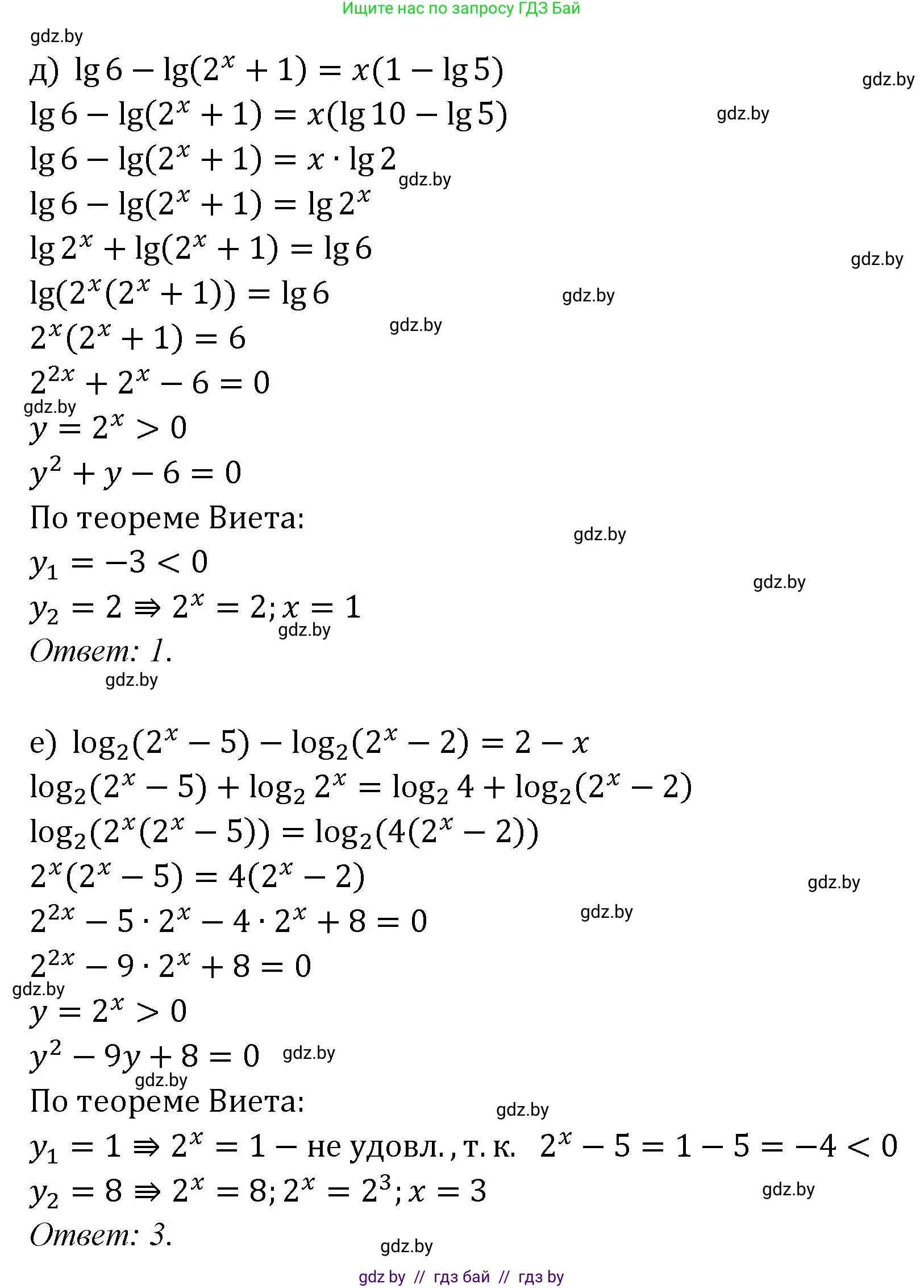
д) $ \lg 6 - \lg(2^x + 1) = x(1 - \lg 5) $

1. ОДЗ: $ 2^x + 1 > 0 $. Так как $ 2^x > 0 $ для любого $x$, выражение всегда положительно. ОДЗ: $ x \in \mathbb{R} $.

2. Преобразуем обе части уравнения, используя свойства логарифмов:

Левая часть: $ \lg 6 - \lg(2^x + 1) = \lg\left(\frac{6}{2^x + 1}\right) $

Правая часть: $ x(1 - \lg 5) = x(\lg 10 - \lg 5) = x\lg\left(\frac{10}{5}\right) = x\lg 2 = \lg(2^x) $

Получаем уравнение:

$ \lg\left(\frac{6}{2^x + 1}\right) = \lg(2^x) $

Приравниваем выражения под логарифмами:

$ \frac{6}{2^x + 1} = 2^x $

Сделаем замену $ y = 2^x $ ($y > 0$):

$ \frac{6}{y + 1} = y $

$ 6 = y(y + 1) $

$ y^2 + y - 6 = 0 $

Решим квадратное уравнение. По теореме Виета корни $ y_1 = 2 $ и $ y_2 = -3 $.

Условию $ y > 0 $ удовлетворяет только $ y=2 $.

Выполним обратную замену:

$ 2^x = 2 $

$ x = 1 $

Корень $ x=1 $ принадлежит ОДЗ.

Ответ: 1.

е) $ \log_2(2^x - 5) - \log_2(2^x - 2) = 2 - x $

1. ОДЗ определяется системой неравенств:

1) $ 2^x - 5 > 0 \implies 2^x > 5 \implies x > \log_2 5 $

2) $ 2^x - 2 > 0 \implies 2^x > 2 \implies x > 1 $

Так как $ \log_2 5 > \log_2 4 = 2 $, то условие $ x > \log_2 5 $ является более строгим. ОДЗ: $ x > \log_2 5 $.

2. Используем свойство разности логарифмов:

$ \log_2\left(\frac{2^x - 5}{2^x - 2}\right) = 2 - x $

По определению логарифма:

$ \frac{2^x - 5}{2^x - 2} = 2^{2-x} = \frac{2^2}{2^x} = \frac{4}{2^x} $

Сделаем замену $ y = 2^x $. Из ОДЗ следует, что $ 2^x > 5 $, т.е. $ y > 5 $.

$ \frac{y - 5}{y - 2} = \frac{4}{y} $

Используя основное свойство пропорции, получаем:

$ y(y - 5) = 4(y - 2) $

$ y^2 - 5y = 4y - 8 $

$ y^2 - 9y + 8 = 0 $

Решим квадратное уравнение. По теореме Виета корни $ y_1 = 1 $ и $ y_2 = 8 $.

Условию $ y > 5 $ удовлетворяет только корень $ y_2 = 8 $. Корень $y_1=1$ является посторонним.

Выполним обратную замену:

$ 2^x = 8 $

$ 2^x = 2^3 $

$ x = 3 $

3. Проверим ОДЗ. Условие $ x > \log_2 5 $ для $ x=3 $ выполняется, так как $ 3 = \log_2 8 $, а неравенство $ \log_2 8 > \log_2 5 $ верно.

Ответ: 3.

Помогло решение? Оставьте отзыв в комментариях ниже.

Присоединяйтесь к Телеграм-группе @gdz_by_belarus

Присоединиться

Мы подготовили для вас ответ c подробным объяснением домашего задания по алгебре за 11 класс, для упражнения номер 23 расположенного на странице 74 к сборнику задач 2020 года издания для учащихся школ и гимназий.

Теперь на нашем сайте ГДЗ.ТОП вы всегда легко и бесплатно найдёте условие с правильным ответом на вопрос «Как решить ДЗ» и «Как сделать» задание по алгебре к упражнению №23 (с. 74), авторов: Арефьева (Ирина Глебовна), Пирютко (Ольга Николаевна), базовый и повышенный уровень обучения учебного пособия издательства Народная асвета.