Номер 14, страница 43 - гдз по алгебре 11 класс сборник задач Арефьева, Пирютко

Алгебра, 11 класс Сборник задач, авторы: Арефьева Ирина Глебовна, Пирютко Ольга Николаевна, издательство Народная асвета, Минск, 2020, белого цвета

Авторы: Арефьева И. Г., Пирютко О. Н.

Тип: Сборник задач

Издательство: Народная асвета

Год издания: 2020 - 2025

Уровень обучения: базовый и повышенный

Цвет обложки: белый с графиком

Допущено Министерством образования Республики Беларусь

Популярные ГДЗ в 11 классе

Глава 2. Показательная функция. Параграф 6. Показательные неравенства - номер 14, страница 43.

№14 (с. 43)
Условие. №14 (с. 43)
скриншот условия
Алгебра, 11 класс Сборник задач, авторы: Арефьева Ирина Глебовна, Пирютко Ольга Николаевна, издательство Народная асвета, Минск, 2020, белого цвета, страница 43, номер 14, Условие

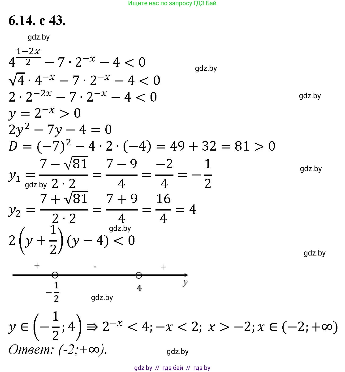
6.14. Решите неравенство $4^{\frac{1-2x}{2}} - 7 \cdot 2^{-x} - 4 < 0$.

Решение. №14 (с. 43)
Алгебра, 11 класс Сборник задач, авторы: Арефьева Ирина Глебовна, Пирютко Ольга Николаевна, издательство Народная асвета, Минск, 2020, белого цвета, страница 43, номер 14, Решение
Решение 2. №14 (с. 43)

Решим показательное неравенство:

$$4^{\frac{1-2x}{2}} - 7 \cdot 2^{-x} - 4 < 0$$

Сначала преобразуем первый член неравенства, используя свойство степеней $(a^m)^n = a^{mn}$ и то, что $4 = 2^2$:

$$4^{\frac{1-2x}{2}} = (2^2)^{\frac{1-2x}{2}} = 2^{2 \cdot \frac{1-2x}{2}} = 2^{1-2x}$$

Далее используем свойство $a^{m-n} = a^m \cdot a^{-n}$:

$$2^{1-2x} = 2^1 \cdot 2^{-2x} = 2 \cdot (2^{-x})^2$$

Теперь подставим полученное выражение обратно в исходное неравенство:

$$2 \cdot (2^{-x})^2 - 7 \cdot 2^{-x} - 4 < 0$$

Это неравенство является квадратным относительно $2^{-x}$. Для упрощения введем замену переменной. Пусть $y = 2^{-x}$. Так как показательная функция принимает только положительные значения, то $y > 0$.

После замены неравенство примет вид:

$$2y^2 - 7y - 4 < 0$$

Для решения этого квадратного неравенства найдем корни соответствующего уравнения $2y^2 - 7y - 4 = 0$ с помощью дискриминанта.

$$D = b^2 - 4ac = (-7)^2 - 4 \cdot 2 \cdot (-4) = 49 + 32 = 81$$

Корни уравнения:

$$y_1 = \frac{-b - \sqrt{D}}{2a} = \frac{7 - \sqrt{81}}{2 \cdot 2} = \frac{7 - 9}{4} = -\frac{2}{4} = -\frac{1}{2}$$

$$y_2 = \frac{-b + \sqrt{D}}{2a} = \frac{7 + \sqrt{81}}{2 \cdot 2} = \frac{7 + 9}{4} = \frac{16}{4} = 4$$

Парабола $f(y) = 2y^2 - 7y - 4$ имеет ветви, направленные вверх (т.к. коэффициент при $y^2$ положителен), поэтому неравенство $2y^2 - 7y - 4 < 0$ выполняется на интервале между корнями:

$$-\frac{1}{2} < y < 4$$

Теперь вернемся к исходной переменной $x$. Мы должны учесть условие $y > 0$. Объединяя два условия для $y$, получаем:

$$0 < y < 4$$

Подставим обратно $y = 2^{-x}$:

$$0 < 2^{-x} < 4$$

Это двойное неравенство эквивалентно системе из двух неравенств:

  1. $2^{-x} > 0$
  2. $2^{-x} < 4$

Первое неравенство, $2^{-x} > 0$, выполняется для любого действительного числа $x$, так как показательная функция всегда положительна.

Решим второе неравенство. Представим число 4 в виде степени с основанием 2: $4 = 2^2$.

$$2^{-x} < 2^2$$

Так как основание степени $2 > 1$, показательная функция является возрастающей. Это означает, что при сравнении показателей знак неравенства сохраняется:

$$-x < 2$$

Умножим обе части неравенства на -1 и изменим знак на противоположный:

$$x > -2$$

Таким образом, решением исходного неравенства является интервал $(-2; +\infty)$.

Ответ: $x \in (-2; +\infty)$.

Помогло решение? Оставьте отзыв в комментариях ниже.

Присоединяйтесь к Телеграм-группе @gdz_by_belarus

Присоединиться

Мы подготовили для вас ответ c подробным объяснением домашего задания по алгебре за 11 класс, для упражнения номер 14 расположенного на странице 43 к сборнику задач 2020 года издания для учащихся школ и гимназий.

Теперь на нашем сайте ГДЗ.ТОП вы всегда легко и бесплатно найдёте условие с правильным ответом на вопрос «Как решить ДЗ» и «Как сделать» задание по алгебре к упражнению №14 (с. 43), авторов: Арефьева (Ирина Глебовна), Пирютко (Ольга Николаевна), базовый и повышенный уровень обучения учебного пособия издательства Народная асвета.