Номер 19.2, страница 100 - гдз по алгебре 10 класс сборник задач Арефьева, Пирютко

Алгебра, 10 класс Сборник задач, авторы: Арефьева Ирина Глебовна, Пирютко Ольга Николаевна, издательство Народная асвета, Минск, 2020, белого цвета

Авторы: Арефьева И. Г., Пирютко О. Н.

Тип: Сборник задач

Издательство: Народная асвета

Год издания: 2020 - 2025

Уровень обучения: базовый и повышенный

Цвет обложки: белый, голубой с графиком

Допущено Министерством образования Республики Беларусь

Популярные ГДЗ в 10 классе

Глава 4. Корень n-й степени из числа. Параграф 19. Свойства корней n-й степени (n≥2, n∈N) - номер 19.2, страница 100.

№19.2 (с. 100)
Условие. №19.2 (с. 100)
скриншот условия
Алгебра, 10 класс Сборник задач, авторы: Арефьева Ирина Глебовна, Пирютко Ольга Николаевна, издательство Народная асвета, Минск, 2020, белого цвета, страница 100, номер 19.2, Условие

19.2. Воспользуйтесь свойствами корней n-й степени и вычислите:

а) $\sqrt[8]{2^5 \cdot 5^9} \cdot \sqrt[8]{2^3 \cdot 5^7};$

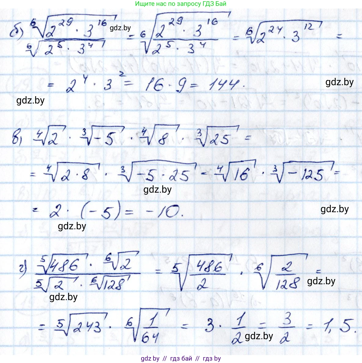
б) $\frac{\sqrt[6]{2^{29} \cdot 3^{16}}}{\sqrt[6]{2^5 \cdot 3^4}};$

в) $\sqrt[4]{2} \cdot \sqrt[3]{-5} \cdot \sqrt[4]{8} \cdot \sqrt[3]{25};$

г) $\frac{\sqrt[5]{486} \cdot \sqrt[6]{2}}{\sqrt[5]{2} \cdot \sqrt[6]{128}}.$

Решение. №19.2 (с. 100)
Алгебра, 10 класс Сборник задач, авторы: Арефьева Ирина Глебовна, Пирютко Ольга Николаевна, издательство Народная асвета, Минск, 2020, белого цвета, страница 100, номер 19.2, Решение Алгебра, 10 класс Сборник задач, авторы: Арефьева Ирина Глебовна, Пирютко Ольга Николаевна, издательство Народная асвета, Минск, 2020, белого цвета, страница 100, номер 19.2, Решение (продолжение 2)
Решение 2. №19.2 (с. 100)

а) Для вычисления выражения $\sqrt[8]{2^5 \cdot 5^9} \cdot \sqrt[8]{2^3 \cdot 5^7}$ воспользуемся свойством произведения корней n-й степени: $\sqrt[n]{a} \cdot \sqrt[n]{b} = \sqrt[n]{a \cdot b}$.
$\sqrt[8]{2^5 \cdot 5^9} \cdot \sqrt[8]{2^3 \cdot 5^7} = \sqrt[8]{(2^5 \cdot 5^9) \cdot (2^3 \cdot 5^7)} = \sqrt[8]{2^5 \cdot 2^3 \cdot 5^9 \cdot 5^7}$
Применяем свойство произведения степеней с одинаковым основанием $a^m \cdot a^n = a^{m+n}$:
$\sqrt[8]{2^{5+3} \cdot 5^{9+7}} = \sqrt[8]{2^8 \cdot 5^{16}}$
Теперь используем свойство корня из произведения $\sqrt[n]{ab} = \sqrt[n]{a} \cdot \sqrt[n]{b}$ и свойство $\sqrt[n]{a^m} = a^{\frac{m}{n}}$:
$\sqrt[8]{2^8} \cdot \sqrt[8]{5^{16}} = 2^{\frac{8}{8}} \cdot 5^{\frac{16}{8}} = 2^1 \cdot 5^2 = 2 \cdot 25 = 50$.
Ответ: 50.

б) Для вычисления выражения $\frac{\sqrt[6]{2^{29} \cdot 3^{16}}}{\sqrt[6]{2^5 \cdot 3^4}}$ воспользуемся свойством частного корней n-й степени: $\frac{\sqrt[n]{a}}{\sqrt[n]{b}} = \sqrt[n]{\frac{a}{b}}$.
$\sqrt[6]{\frac{2^{29} \cdot 3^{16}}{2^5 \cdot 3^4}}$
Применяем свойство частного степеней с одинаковым основанием $\frac{a^m}{a^n} = a^{m-n}$:
$\sqrt[6]{2^{29-5} \cdot 3^{16-4}} = \sqrt[6]{2^{24} \cdot 3^{12}}$
Используем свойство корня из произведения и свойство $\sqrt[n]{a^m} = a^{\frac{m}{n}}$:
$\sqrt[6]{2^{24}} \cdot \sqrt[6]{3^{12}} = 2^{\frac{24}{6}} \cdot 3^{\frac{12}{6}} = 2^4 \cdot 3^2 = 16 \cdot 9 = 144$.
Ответ: 144.

в) Для вычисления выражения $\sqrt[4]{2} \cdot \sqrt[3]{-5} \cdot \sqrt[4]{8} \cdot \sqrt[3]{25}$ сгруппируем множители с одинаковыми показателями корня:
$(\sqrt[4]{2} \cdot \sqrt[4]{8}) \cdot (\sqrt[3]{-5} \cdot \sqrt[3]{25})$
Применяем свойство произведения корней n-й степени $\sqrt[n]{a} \cdot \sqrt[n]{b} = \sqrt[n]{ab}$:
$\sqrt[4]{2 \cdot 8} \cdot \sqrt[3]{-5 \cdot 25} = \sqrt[4]{16} \cdot \sqrt[3]{-125}$
Вычисляем значения корней:
$\sqrt[4]{16} = \sqrt[4]{2^4} = 2$
$\sqrt[3]{-125} = \sqrt[3]{(-5)^3} = -5$
Перемножаем полученные результаты:
$2 \cdot (-5) = -10$.
Ответ: -10.

г) Для вычисления выражения $\frac{\sqrt[5]{486} \cdot \sqrt[6]{2}}{\sqrt[5]{2} \cdot \sqrt[6]{128}}$ сгруппируем множители с одинаковыми показателями корня:
$\frac{\sqrt[5]{486}}{\sqrt[5]{2}} \cdot \frac{\sqrt[6]{2}}{\sqrt[6]{128}}$
Применяем свойство частного корней n-й степени $\frac{\sqrt[n]{a}}{\sqrt[n]{b}} = \sqrt[n]{\frac{a}{b}}$:
$\sqrt[5]{\frac{486}{2}} \cdot \sqrt[6]{\frac{2}{128}} = \sqrt[5]{243} \cdot \sqrt[6]{\frac{1}{64}}$
Вычисляем значения корней, зная, что $243 = 3^5$ и $64 = 2^6$:
$\sqrt[5]{3^5} \cdot \sqrt[6]{(\frac{1}{2})^6} = 3 \cdot \frac{1}{2} = \frac{3}{2}$
Представим неправильную дробь в виде смешанного числа и выделим целую часть:
$\frac{3}{2} = 1\frac{1}{2}$.
Ответ: 1$\frac{1}{2}$.

Помогло решение? Оставьте отзыв в комментариях ниже.

Присоединяйтесь к Телеграм-группе @gdz_by_belarus

Присоединиться

Мы подготовили для вас ответ c подробным объяснением домашего задания по алгебре за 10 класс, для упражнения номер 19.2 расположенного на странице 100 к сборнику задач 2020 года издания для учащихся школ и гимназий.

Теперь на нашем сайте ГДЗ.ТОП вы всегда легко и бесплатно найдёте условие с правильным ответом на вопрос «Как решить ДЗ» и «Как сделать» задание по алгебре к упражнению №19.2 (с. 100), авторов: Арефьева (Ирина Глебовна), Пирютко (Ольга Николаевна), базовый и повышенный уровень обучения учебного пособия издательства Народная асвета.