Номер 20.25, страница 92 - гдз по алгебре 7-9 класс сборник задач Арефьева, Пирютко

Алгебра, 7-9 класс Сборник задач, авторы: Арефьева Ирина Глебовна, Пирютко Ольга Николаевна, издательство Народная асвета, Минск, 2020

Авторы: Арефьева И. Г., Пирютко О. Н.

Тип: Сборник задач

Издательство: Народная асвета

Год издания: 2020 - 2025

Цвет обложки: синий с графиками

Допущено Министерством образования Республики Беларусь

Популярные ГДЗ в 7 классе

7 класс. Параграф 20. Способы решения системы линейных уравнений с двумя переменными. Решение текстовых задач с помощью системы линейных уравнений - номер 20.25, страница 92.

№20.25 (с. 92)
Условие. №20.25 (с. 92)
скриншот условия
Алгебра, 7-9 класс Сборник задач, авторы: Арефьева Ирина Глебовна, Пирютко Ольга Николаевна, издательство Народная асвета, Минск, 2020, страница 92, номер 20.25, Условие

20.25*. Решите систему уравнений:

а) $\begin{cases} |x - 2| + 2|y + 3| = 2, \\ x + |y + 3| = 3,5; \end{cases}$

б) $\begin{cases} 2x + y = 7, \\ |y - x| = 2; \end{cases}$

в) $\begin{cases} |x - 1| + |y - 5| = 1, \\ y = 5 + |x - 1|. \end{cases}$

Решение. №20.25 (с. 92)
Алгебра, 7-9 класс Сборник задач, авторы: Арефьева Ирина Глебовна, Пирютко Ольга Николаевна, издательство Народная асвета, Минск, 2020, страница 92, номер 20.25, Решение Алгебра, 7-9 класс Сборник задач, авторы: Арефьева Ирина Глебовна, Пирютко Ольга Николаевна, издательство Народная асвета, Минск, 2020, страница 92, номер 20.25, Решение (продолжение 2)
Решение 2. №20.25 (с. 92)

а)

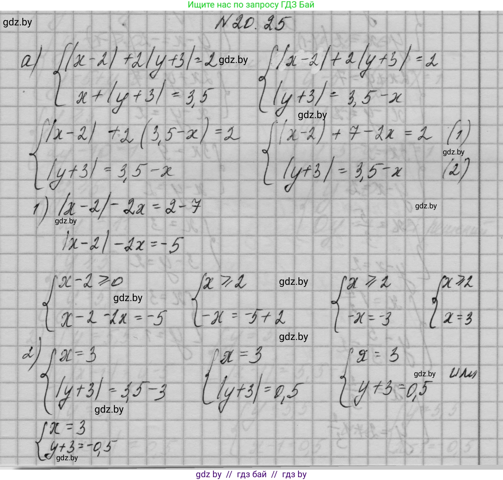
Дана система уравнений:

$\begin{cases} |x-2| + 2|y+3| = 2 \\ x + |y+3| = 3,5 \end{cases}$

Из второго уравнения выразим $|y+3|$:

$|y+3| = 3,5 - x$

Поскольку значение модуля не может быть отрицательным, должно выполняться условие $3,5 - x \ge 0$, откуда следует, что $x \le 3,5$.

Теперь подставим полученное выражение для $|y+3|$ в первое уравнение системы:

$|x-2| + 2(3,5 - x) = 2$

$|x-2| + 7 - 2x = 2$

$|x-2| = 2x - 5$

Это уравнение с модулем имеет решение только в том случае, если его правая часть неотрицательна. Получаем еще одно условие для $x$:

$2x - 5 \ge 0 \implies 2x \ge 5 \implies x \ge 2,5$

Объединяя оба условия, получаем, что $x$ должен находиться в интервале $[2,5; 3,5]$.

Раскроем модуль $|x-2|$, рассмотрев два случая:

1. Если $x-2 \ge 0$, то есть $x \ge 2$. В этом случае $|x-2| = x-2$. Уравнение принимает вид:

$x - 2 = 2x - 5$

$x = 3$

Найденное значение $x=3$ удовлетворяет всем условиям ($x \ge 2$ и $x \in [2,5; 3,5]$).

2. Если $x-2 < 0$, то есть $x < 2$. В этом случае $|x-2| = -(x-2) = 2-x$. Уравнение принимает вид:

$2 - x = 2x - 5$

$3x = 7$

$x = 7/3 \approx 2,33$

Это значение не удовлетворяет условию $x < 2$. Также оно не входит в допустимый диапазон $[2,5; 3,5]$. Следовательно, это посторонний корень.

Таким образом, единственное возможное значение для $x$ - это $x=3$.

Теперь найдем соответствующие значения $y$, используя равенство $|y+3| = 3,5 - x$:

$|y+3| = 3,5 - 3 = 0,5$

Это уравнение распадается на два:

$y+3 = 0,5 \implies y = -2,5$

$y+3 = -0,5 \implies y = -3,5$

Проверкой убеждаемся, что обе пары чисел являются решениями системы.

Ответ: $(3; -2,5)$, $(3; -3,5)$.

б)

Дана система уравнений:

$\begin{cases} 2x+y=7 \\ |y-x|=2 \end{cases}$

Из первого уравнения выразим переменную $y$ через $x$:

$y = 7 - 2x$

Подставим это выражение во второе уравнение системы:

$|(7 - 2x) - x| = 2$

$|7 - 3x| = 2$

Это уравнение с модулем равносильно совокупности двух уравнений:

1. $7 - 3x = 2$

$-3x = 2 - 7$

$-3x = -5$

$x = 5/3$

Теперь найдем соответствующее значение $y$:

$y = 7 - 2(5/3) = 7 - 10/3 = 21/3 - 10/3 = 11/3$

Первое решение: $(5/3; 11/3)$.

2. $7 - 3x = -2$

$-3x = -2 - 7$

$-3x = -9$

$x = 3$

Найдем соответствующее значение $y$:

$y = 7 - 2(3) = 7 - 6 = 1$

Второе решение: $(3; 1)$.

Ответ: $(3; 1)$, $(5/3; 11/3)$.

в)

Дана система уравнений:

$\begin{cases} |x-1| + |y-5| = 1 \\ y = 5 + |x-1| \end{cases}$

Из второго уравнения системы можно выразить $|x-1|$:

$|x-1| = y - 5$

Так как модуль числа всегда неотрицателен ($|x-1| \ge 0$), то и правая часть должна быть неотрицательной: $y - 5 \ge 0$, откуда $y \ge 5$.

Подставим выражение $|x-1| = y - 5$ в первое уравнение системы:

$(y - 5) + |y - 5| = 1$

Поскольку мы установили, что $y \ge 5$, то выражение под знаком модуля $y-5$ неотрицательно, и значит $|y-5| = y-5$.

Уравнение принимает вид:

$(y - 5) + (y - 5) = 1$

$2(y - 5) = 1$

$y - 5 = 0,5$

$y = 5,5$

Полученное значение $y = 5,5$ удовлетворяет условию $y \ge 5$.

Теперь найдем значения $x$, подставив $y=5,5$ в выражение $|x-1| = y-5$:

$|x-1| = 5,5 - 5 = 0,5$

Это уравнение распадается на два:

1. $x - 1 = 0,5 \implies x = 1,5$

2. $x - 1 = -0,5 \implies x = 0,5$

Таким образом, система имеет два решения.

Ответ: $(1,5; 5,5)$, $(0,5; 5,5)$.

Помогло решение? Оставьте отзыв в комментариях ниже.

Присоединяйтесь к Телеграм-группе @gdz_by_belarus

Присоединиться

Мы подготовили для вас ответ c подробным объяснением домашего задания по алгебре за 7-9 класс, для упражнения номер 20.25 расположенного на странице 92 к сборнику задач 2020 года издания для учащихся школ и гимназий.

Теперь на нашем сайте ГДЗ.ТОП вы всегда легко и бесплатно найдёте условие с правильным ответом на вопрос «Как решить ДЗ» и «Как сделать» задание по алгебре к упражнению №20.25 (с. 92), авторов: Арефьева (Ирина Глебовна), Пирютко (Ольга Николаевна), учебного пособия издательства Народная асвета.