Номер 34.28, страница 168 - гдз по алгебре 7-9 класс сборник задач Арефьева, Пирютко
Авторы: Арефьева И. Г., Пирютко О. Н.
Тип: Сборник задач
Издательство: Народная асвета
Год издания: 2020 - 2025
Цвет обложки: синий с графиками
Допущено Министерством образования Республики Беларусь
Популярные ГДЗ в 7 классе
9 класс. Параграф 34. Преобразования рациональных выражений - номер 34.28, страница 168.
№34.28 (с. 168)
Условие. №34.28 (с. 168)
скриншот условия
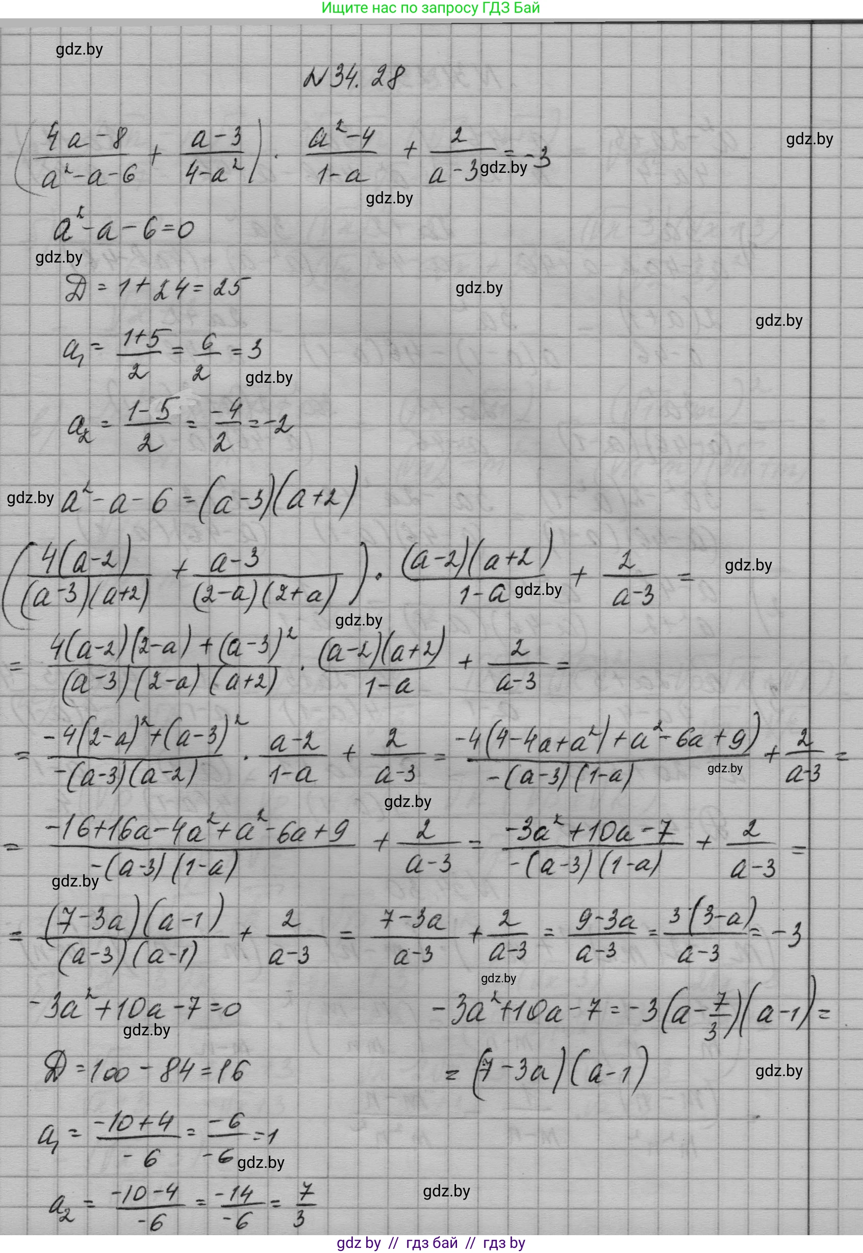
34.28. Докажите, что значение выражения
$\left(\frac{4a-8}{a^2-a-6} + \frac{a-3}{4-a^2}\right) \cdot \frac{a^2-4}{1-a} + \frac{2}{a-3}$
не зависит от $a$.
Решение. №34.28 (с. 168)
Решение 2. №34.28 (с. 168)
Для того чтобы доказать, что значение выражения не зависит от переменной a, необходимо его упростить. Если в результате преобразований получится константа (число), то утверждение будет доказано.
Исходное выражение:
$$ \left( \frac{4a - 8}{a^2 - a - 6} + \frac{a - 3}{4 - a^2} \right) \cdot \frac{a^2 - 4}{1 - a} + \frac{2}{a - 3} $$
Прежде всего, определим область допустимых значений (ОДЗ) переменной a, при которых выражение имеет смысл. Для этого знаменатели дробей не должны равняться нулю:
- $a^2 - a - 6 \neq 0 \implies (a-3)(a+2) \neq 0 \implies a \neq 3$ и $a \neq -2$
- $4 - a^2 \neq 0 \implies (2-a)(2+a) \neq 0 \implies a \neq 2$ и $a \neq -2$
- $1 - a \neq 0 \implies a \neq 1$
- $a - 3 \neq 0 \implies a \neq 3$
Таким образом, ОДЗ: $a$ — любое действительное число, кроме $-2, 1, 2, 3$.
Упростим выражение по действиям.
1. Выполним действие в скобках
$$ \frac{4a - 8}{a^2 - a - 6} + \frac{a - 3}{4 - a^2} $$
Разложим числители и знаменатели на множители:
$$ \frac{4(a-2)}{(a-3)(a+2)} + \frac{a-3}{(2-a)(a+2)} = \frac{4(a-2)}{(a-3)(a+2)} - \frac{a-3}{(a-2)(a+2)} $$
Приведем дроби к общему знаменателю $(a-3)(a-2)(a+2)$:
$$ \frac{4(a-2)^2 - (a-3)^2}{(a-3)(a-2)(a+2)} = \frac{4(a^2-4a+4) - (a^2-6a+9)}{(a-3)(a-2)(a+2)} $$
Раскроем скобки в числителе и приведем подобные слагаемые:
$$ \frac{4a^2 - 16a + 16 - a^2 + 6a - 9}{(a-3)(a-2)(a+2)} = \frac{3a^2 - 10a + 7}{(a-3)(a-2)(a+2)} $$
Разложим числитель $3a^2 - 10a + 7$ на множители. Корни уравнения $3a^2 - 10a + 7=0$ равны $a_1 = 1$ и $a_2 = \frac{7}{3}$. Следовательно, $3a^2 - 10a + 7 = 3(a-1)(a-\frac{7}{3}) = (a-1)(3a-7)$.
Результат первого действия: $ \frac{(a-1)(3a-7)}{(a-3)(a-2)(a+2)} $.
2. Выполним умножение
$$ \frac{(a-1)(3a-7)}{(a-3)(a-2)(a+2)} \cdot \frac{a^2-4}{1-a} $$
Представим второй множитель в виде $ \frac{(a-2)(a+2)}{-(a-1)} $ и выполним сокращение:
$$ \frac{\cancel{(a-1)}(3a-7)}{(a-3)\cancel{(a-2)}\cancel{(a+2)}} \cdot \frac{\cancel{(a-2)}\cancel{(a+2)}}{-\cancel{(a-1)}} = \frac{3a-7}{a-3} \cdot (-1) = -\frac{3a-7}{a-3} = \frac{7-3a}{a-3} $$
3. Выполним конечное сложение
$$ \frac{7-3a}{a-3} + \frac{2}{a-3} = \frac{7-3a+2}{a-3} = \frac{9-3a}{a-3} $$
Вынесем в числителе общий множитель $-3$:
$$ \frac{-3(a-3)}{a-3} = -3 $$
Мы упростили выражение и получили в результате число -3. Это означает, что для любого значения a из области допустимых значений, значение выражения будет постоянным и равным -3. Следовательно, значение выражения не зависит от a, что и требовалось доказать.
Ответ: Утверждение доказано.
Другие задания:
Помогло решение? Оставьте отзыв в комментариях ниже.
Присоединяйтесь к Телеграм-группе @gdz_by_belarus
ПрисоединитьсяМы подготовили для вас ответ c подробным объяснением домашего задания по алгебре за 7-9 класс, для упражнения номер 34.28 расположенного на странице 168 к сборнику задач 2020 года издания для учащихся школ и гимназий.
Теперь на нашем сайте ГДЗ.ТОП вы всегда легко и бесплатно найдёте условие с правильным ответом на вопрос «Как решить ДЗ» и «Как сделать» задание по алгебре к упражнению №34.28 (с. 168), авторов: Арефьева (Ирина Глебовна), Пирютко (Ольга Николаевна), учебного пособия издательства Народная асвета.