Номер 34.26, страница 168 - гдз по алгебре 7-9 класс сборник задач Арефьева, Пирютко

Алгебра, 7-9 класс Сборник задач, авторы: Арефьева Ирина Глебовна, Пирютко Ольга Николаевна, издательство Народная асвета, Минск, 2020

Авторы: Арефьева И. Г., Пирютко О. Н.

Тип: Сборник задач

Издательство: Народная асвета

Год издания: 2020 - 2025

Цвет обложки: синий с графиками

Допущено Министерством образования Республики Беларусь

Популярные ГДЗ в 7 классе

9 класс. Параграф 34. Преобразования рациональных выражений - номер 34.26, страница 168.

№34.26 (с. 168)
Условие. №34.26 (с. 168)
скриншот условия
Алгебра, 7-9 класс Сборник задач, авторы: Арефьева Ирина Глебовна, Пирютко Ольга Николаевна, издательство Народная асвета, Минск, 2020, страница 168, номер 34.26, Условие

34.26. Выполните действия:

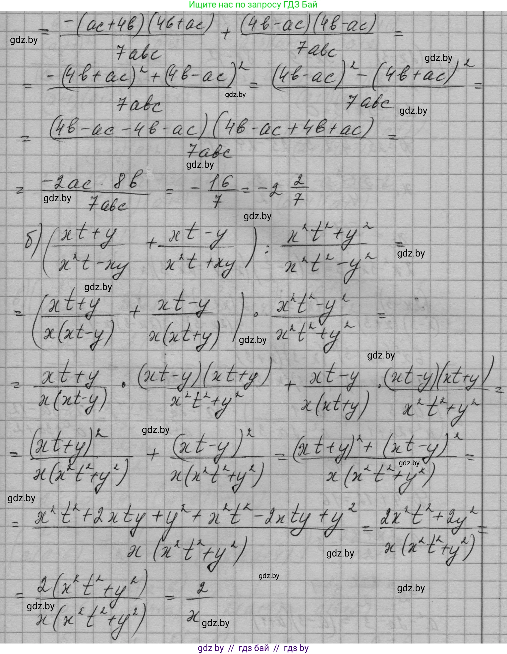
a) $\frac{a^2 c^2 - 16b^2}{7ac} \cdot \left(\frac{4b + ac}{4b^2 - acb} - \frac{4b - ac}{4b^2 + acb}\right);$

б) $\left(\frac{xt + y}{x^2t - xy} + \frac{xt - y}{x^2t + xy}\right) : \frac{x^2t^2 + y^2}{x^2t^2 - y^2}.$

Решение. №34.26 (с. 168)
Алгебра, 7-9 класс Сборник задач, авторы: Арефьева Ирина Глебовна, Пирютко Ольга Николаевна, издательство Народная асвета, Минск, 2020, страница 168, номер 34.26, Решение Алгебра, 7-9 класс Сборник задач, авторы: Арефьева Ирина Глебовна, Пирютко Ольга Николаевна, издательство Народная асвета, Минск, 2020, страница 168, номер 34.26, Решение (продолжение 2)
Решение 2. №34.26 (с. 168)

а) $ \frac{a^2c^2 - 16b^2}{7ac} \cdot \left( \frac{4b+ac}{4b^2-acb} - \frac{4b-ac}{4b^2+acb} \right) $

Сначала выполним действия в скобках. Для этого приведем дроби к общему знаменателю. Разложим знаменатели на множители:

$ 4b^2 - acb = b(4b - ac) $

$ 4b^2 + acb = b(4b + ac) $

Общий знаменатель равен $ b(4b-ac)(4b+ac) $.

$ \frac{4b+ac}{b(4b - ac)} - \frac{4b-ac}{b(4b + ac)} = \frac{(4b+ac)(4b+ac) - (4b-ac)(4b-ac)}{b(4b-ac)(4b+ac)} = \frac{(4b+ac)^2 - (4b-ac)^2}{b((4b)^2 - (ac)^2)} = \frac{(4b+ac)^2 - (4b-ac)^2}{b(16b^2 - a^2c^2)} $

В числителе применим формулу разности квадратов $ x^2 - y^2 = (x-y)(x+y) $:

$ (4b+ac)^2 - (4b-ac)^2 = ((4b+ac) - (4b-ac))((4b+ac) + (4b-ac)) = (4b+ac-4b+ac)(4b+ac+4b-ac) = (2ac)(8b) = 16abc $

Подставим полученный числитель обратно в дробь:

$ \frac{16abc}{b(16b^2 - a^2c^2)} = \frac{16ac}{16b^2 - a^2c^2} $

Теперь вернемся к исходному выражению и выполним умножение:

$ \frac{a^2c^2 - 16b^2}{7ac} \cdot \frac{16ac}{16b^2 - a^2c^2} $

Вынесем минус за скобки в знаменателе второй дроби: $ 16b^2 - a^2c^2 = -(a^2c^2 - 16b^2) $.

$ \frac{a^2c^2 - 16b^2}{7ac} \cdot \frac{16ac}{-(a^2c^2 - 16b^2)} $

Сократим общие множители $ (a^2c^2 - 16b^2) $ и $ ac $:

$ \frac{1}{7} \cdot \frac{16}{-1} = -\frac{16}{7} $

Ответ: $ -\frac{16}{7} $.

б) $ \left( \frac{xt+y}{x^2t-xy} + \frac{xt-y}{x^2t+xy} \right) : \frac{x^2t^2+y^2}{x^2t^2-y^2} $

Сначала выполним сложение в скобках. Разложим знаменатели на множители:

$ x^2t - xy = x(xt - y) $

$ x^2t + xy = x(xt + y) $

Общий знаменатель равен $ x(xt-y)(xt+y) $. Приведем дроби к общему знаменателю:

$ \frac{xt+y}{x(xt-y)} + \frac{xt-y}{x(xt+y)} = \frac{(xt+y)(xt+y) + (xt-y)(xt-y)}{x(xt-y)(xt+y)} = \frac{(xt+y)^2 + (xt-y)^2}{x(x^2t^2-y^2)} $

Раскроем квадраты в числителе по формулам сокращенного умножения:

$ (xt+y)^2 = x^2t^2 + 2xty + y^2 $

$ (xt-y)^2 = x^2t^2 - 2xty + y^2 $

Сложим их:

$ (x^2t^2 + 2xty + y^2) + (x^2t^2 - 2xty + y^2) = 2x^2t^2 + 2y^2 = 2(x^2t^2 + y^2) $

Выражение в скобках принимает вид:

$ \frac{2(x^2t^2 + y^2)}{x(x^2t^2 - y^2)} $

Теперь выполним деление. Деление на дробь равносильно умножению на обратную ей дробь:

$ \frac{2(x^2t^2 + y^2)}{x(x^2t^2 - y^2)} : \frac{x^2t^2+y^2}{x^2t^2-y^2} = \frac{2(x^2t^2 + y^2)}{x(x^2t^2 - y^2)} \cdot \frac{x^2t^2-y^2}{x^2t^2+y^2} $

Сократим общие множители $ (x^2t^2 + y^2) $ и $ (x^2t^2 - y^2) $ в числителе и знаменателе:

$ \frac{2}{x} $

Ответ: $ \frac{2}{x} $.

Помогло решение? Оставьте отзыв в комментариях ниже.

Присоединяйтесь к Телеграм-группе @gdz_by_belarus

Присоединиться

Мы подготовили для вас ответ c подробным объяснением домашего задания по алгебре за 7-9 класс, для упражнения номер 34.26 расположенного на странице 168 к сборнику задач 2020 года издания для учащихся школ и гимназий.

Теперь на нашем сайте ГДЗ.ТОП вы всегда легко и бесплатно найдёте условие с правильным ответом на вопрос «Как решить ДЗ» и «Как сделать» задание по алгебре к упражнению №34.26 (с. 168), авторов: Арефьева (Ирина Глебовна), Пирютко (Ольга Николаевна), учебного пособия издательства Народная асвета.