Номер 33.23, страница 160 - гдз по алгебре 7-9 класс сборник задач Арефьева, Пирютко
Авторы: Арефьева И. Г., Пирютко О. Н.
Тип: Сборник задач
Издательство: Народная асвета
Год издания: 2020 - 2025
Цвет обложки: синий с графиками
Допущено Министерством образования Республики Беларусь
Популярные ГДЗ в 7 классе
9 класс. Параграф 33. Действия с рациональными дробями - номер 33.23, страница 160.
№33.23 (с. 160)
Условие. №33.23 (с. 160)
скриншот условия
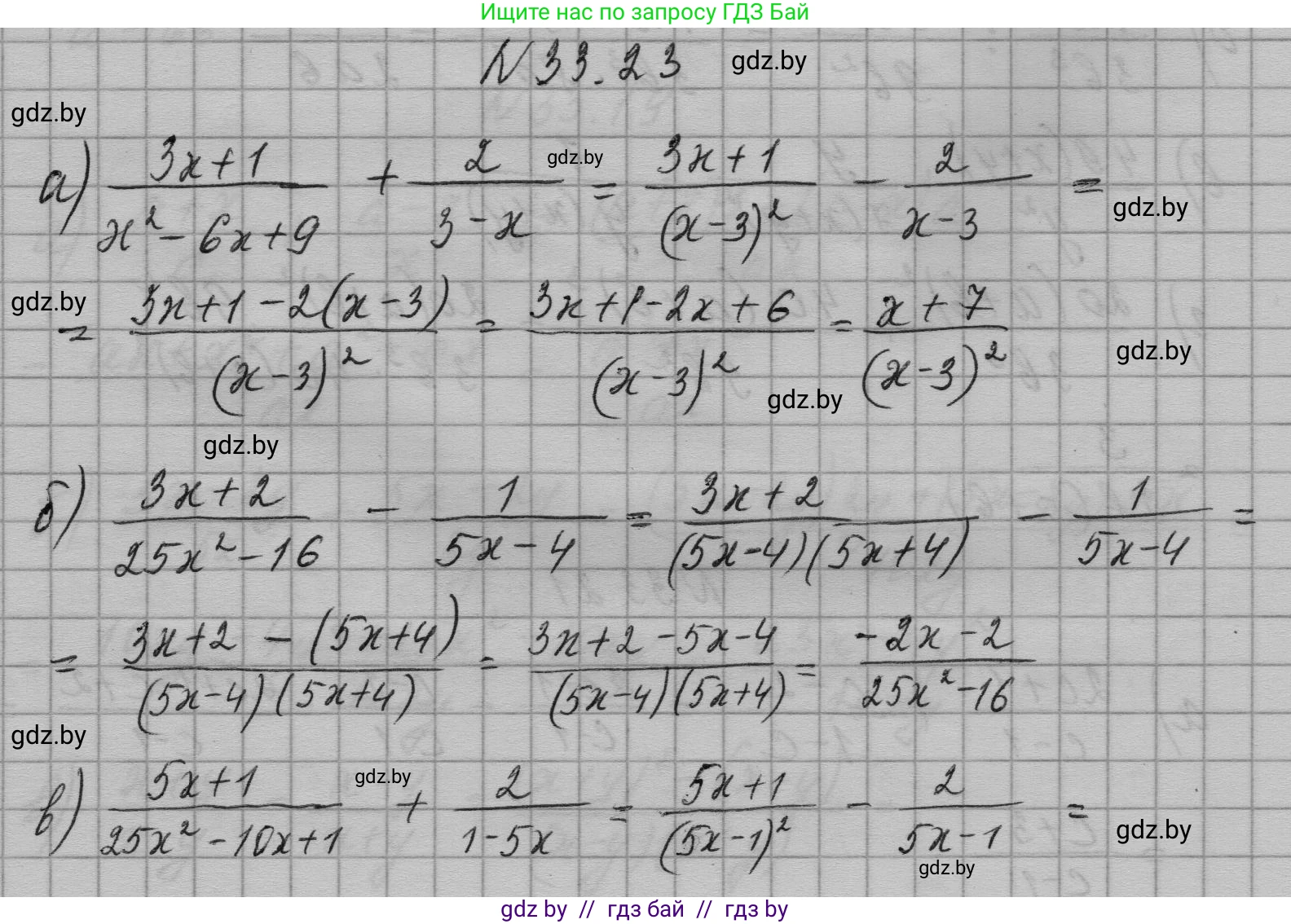
33.23. Запишите в виде дроби:
а) $\frac{3x+1}{x^2-6x+9} + \frac{2}{3-x};$
б) $\frac{3x+2}{25x^2-16} - \frac{1}{5x-4};$
В) $\frac{5x+1}{25x^2-10x+1} + \frac{2}{1-5x};$
Г) $\frac{7x+2}{49x^2-4} - \frac{1}{2-7x}.$
Решение. №33.23 (с. 160)
Решение 2. №33.23 (с. 160)
а) $ \frac{3x+1}{x^2 - 6x + 9} + \frac{2}{3-x} $
Сначала разложим на множители знаменатели дробей. Знаменатель первой дроби является полным квадратом разности, а во второй дроби вынесем минус за скобки:
$ x^2 - 6x + 9 = (x-3)^2 $
$ 3 - x = -(x-3) $
Перепишем выражение, изменив знак перед второй дробью:
$ \frac{3x+1}{(x-3)^2} + \frac{2}{-(x-3)} = \frac{3x+1}{(x-3)^2} - \frac{2}{x-3} $
Общий знаменатель для этих дробей – $ (x-3)^2 $. Приведем вторую дробь к общему знаменателю, домножив ее числитель и знаменатель на $ (x-3) $:
$ \frac{3x+1}{(x-3)^2} - \frac{2(x-3)}{(x-3)(x-3)} = \frac{3x+1-2(x-3)}{(x-3)^2} $
Раскроем скобки в числителе и приведем подобные слагаемые:
$ \frac{3x+1-2x+6}{(x-3)^2} = \frac{x+7}{(x-3)^2} $
Ответ: $ \frac{x+7}{(x-3)^2} $.
б) $ \frac{3x+2}{25x^2 - 16} - \frac{1}{5x-4} $
Разложим на множители знаменатель первой дроби, используя формулу разности квадратов $ a^2 - b^2 = (a-b)(a+b) $:
$ 25x^2 - 16 = (5x)^2 - 4^2 = (5x-4)(5x+4) $
Перепишем выражение:
$ \frac{3x+2}{(5x-4)(5x+4)} - \frac{1}{5x-4} $
Общий знаменатель – $ (5x-4)(5x+4) $. Домножим числитель и знаменатель второй дроби на $ (5x+4) $:
$ \frac{3x+2}{(5x-4)(5x+4)} - \frac{1 \cdot (5x+4)}{(5x-4)(5x+4)} = \frac{3x+2-(5x+4)}{(5x-4)(5x+4)} $
Раскроем скобки в числителе и приведем подобные слагаемые:
$ \frac{3x+2-5x-4}{(5x-4)(5x+4)} = \frac{-2x-2}{(5x-4)(5x+4)} = \frac{-2(x+1)}{25x^2 - 16} $
Ответ: $ \frac{-2(x+1)}{25x^2 - 16} $.
в) $ \frac{5x+1}{25x^2 - 10x + 1} + \frac{2}{1-5x} $
Разложим знаменатели на множители. Знаменатель первой дроби – это полный квадрат разности, а во второй вынесем минус за скобки:
$ 25x^2 - 10x + 1 = (5x-1)^2 $
$ 1 - 5x = -(5x-1) $
Подставим разложенные знаменатели в исходное выражение и изменим знак перед второй дробью:
$ \frac{5x+1}{(5x-1)^2} + \frac{2}{-(5x-1)} = \frac{5x+1}{(5x-1)^2} - \frac{2}{5x-1} $
Общим знаменателем будет $ (5x-1)^2 $. Приведем вторую дробь к этому знаменателю, домножив ее на $ (5x-1) $:
$ \frac{5x+1}{(5x-1)^2} - \frac{2(5x-1)}{(5x-1)(5x-1)} = \frac{5x+1-2(5x-1)}{(5x-1)^2} $
Раскроем скобки в числителе и упростим:
$ \frac{5x+1-10x+2}{(5x-1)^2} = \frac{-5x+3}{(5x-1)^2} $
Ответ: $ \frac{3-5x}{(5x-1)^2} $.
г) $ \frac{7x+2}{49x^2 - 4} - \frac{1}{2-7x} $
Разложим знаменатель первой дроби по формуле разности квадратов. В знаменателе второй дроби вынесем минус за скобки, чтобы изменить знак перед дробью.
$ 49x^2 - 4 = (7x)^2 - 2^2 = (7x-2)(7x+2) $
$ 2 - 7x = -(7x-2) $
Перепишем выражение:
$ \frac{7x+2}{(7x-2)(7x+2)} - \frac{1}{-(7x-2)} = \frac{7x+2}{(7x-2)(7x+2)} + \frac{1}{7x-2} $
Общий знаменатель – $ (7x-2)(7x+2) $. Домножим вторую дробь на недостающий множитель $ (7x+2) $:
$ \frac{7x+2}{(7x-2)(7x+2)} + \frac{1 \cdot (7x+2)}{(7x-2)(7x+2)} = \frac{7x+2+7x+2}{(7x-2)(7x+2)} $
Приведем подобные слагаемые в числителе:
$ \frac{14x+4}{(7x-2)(7x+2)} = \frac{2(7x+2)}{(7x-2)(7x+2)} $
Сократим дробь на общий множитель $ (7x+2) $:
$ \frac{2}{7x-2} $
Ответ: $ \frac{2}{7x-2} $.
Другие задания:
Помогло решение? Оставьте отзыв в комментариях ниже.
Присоединяйтесь к Телеграм-группе @gdz_by_belarus
ПрисоединитьсяМы подготовили для вас ответ c подробным объяснением домашего задания по алгебре за 7-9 класс, для упражнения номер 33.23 расположенного на странице 160 к сборнику задач 2020 года издания для учащихся школ и гимназий.
Теперь на нашем сайте ГДЗ.ТОП вы всегда легко и бесплатно найдёте условие с правильным ответом на вопрос «Как решить ДЗ» и «Как сделать» задание по алгебре к упражнению №33.23 (с. 160), авторов: Арефьева (Ирина Глебовна), Пирютко (Ольга Николаевна), учебного пособия издательства Народная асвета.