Номер 13, страница 20 - гдз по алгебре 11 класс сборник задач Арефьева, Пирютко
Авторы: Арефьева И. Г., Пирютко О. Н.
Тип: Сборник задач
Издательство: Народная асвета
Год издания: 2020 - 2025
Уровень обучения: базовый и повышенный
Цвет обложки: белый с графиком
Допущено Министерством образования Республики Беларусь
Популярные ГДЗ в 11 классе
Глава 2. Показательная функция. Параграф 4. Показательная функция. Производная показательной функции - номер 13, страница 20.
№13 (с. 20)
Условие. №13 (с. 20)
скриншот условия
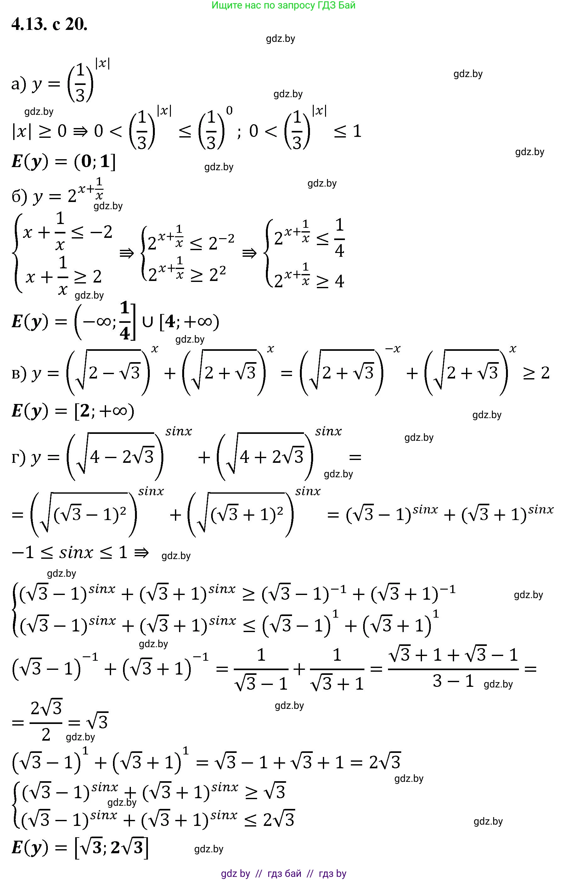
4.13. Найдите множество значений функции:
a) $y = \left(\frac{1}{3}\right)^{|x|};$
б) $y = 2^{x + \frac{1}{x}};$
в) $y = \left(\sqrt{2} - \sqrt{3}\right)^{x} + \left(\sqrt{2} + \sqrt{3}\right)^{x};$
г) $y = \left(\sqrt{4 - 2\sqrt{3}}\right)^{\sin x} + \left(\sqrt{4 + 2\sqrt{3}}\right)^{\sin x}.$
Решение. №13 (с. 20)
Решение 2. №13 (с. 20)
а) Для функции $y = \left(\frac{1}{3}\right)^{|x|}$
1. Область определения функции - все действительные числа, $x \in (-\infty; +\infty)$.
2. Показатель степени $|x|$ принимает значения в промежутке $[0; +\infty)$.
3. Пусть $t = |x|$, тогда $t \ge 0$. Функция принимает вид $y = \left(\frac{1}{3}\right)^t$.
4. Это показательная функция с основанием $a = \frac{1}{3}$. Так как $0 < a < 1$, функция является убывающей.
5. Наибольшее значение функция $y$ принимает при наименьшем значении $t$. Минимальное значение $t=0$ (при $x=0$).
$y_{max} = \left(\frac{1}{3}\right)^0 = 1$.
6. При $t \to +\infty$ (что соответствует $x \to \pm\infty$), значение функции $y = \left(\frac{1}{3}\right)^t$ стремится к 0, но никогда его не достигает.
Таким образом, множество значений функции — это полуинтервал $(0, 1]$.
Ответ: $E(y) = (0; 1]$
б) Для функции $y = 2^{x+\frac{1}{x}}$
1. Область определения функции: $x \neq 0$, то есть $x \in (-\infty; 0) \cup (0; +\infty)$.
2. Рассмотрим показатель степени $t(x) = x + \frac{1}{x}$. Найдем множество его значений.
- Если $x > 0$, то по неравенству Коши (о средних арифметическом и геометрическом) имеем: $x + \frac{1}{x} \ge 2\sqrt{x \cdot \frac{1}{x}} = 2$. Равенство достигается при $x=1$. Таким образом, при $x > 0$ показатель $t$ принимает значения из промежутка $[2; +\infty)$.
- Если $x < 0$, пусть $x = -z$, где $z > 0$. Тогда $t = -z - \frac{1}{z} = -\left(z + \frac{1}{z}\right)$. Так как $z + \frac{1}{z} \ge 2$, то $-\left(z + \frac{1}{z}\right) \le -2$. Равенство достигается при $z=1$, то есть $x=-1$. Таким образом, при $x < 0$ показатель $t$ принимает значения из промежутка $(-\infty; -2]$.
3. Объединяя оба случая, получаем, что множество значений показателя степени $t$ есть $(-\infty; -2] \cup [2; +\infty)$.
4. Функция $y=2^t$ является возрастающей, так как ее основание $2 > 1$.
5. Найдем множество значений $y$ для соответствующих значений $t$:
- Если $t \in (-\infty; -2]$, то $y \in (0; 2^{-2}]$, то есть $y \in (0; \frac{1}{4}]$.
- Если $t \in [2; +\infty)$, то $y \in [2^2; +\infty)$, то есть $y \in [4; +\infty)$.
6. Объединяя эти два промежутка, получаем итоговое множество значений.
Ответ: $E(y) = (0; \frac{1}{4}] \cup [4; +\infty)$
в) Для функции $y = \left(\sqrt{2-\sqrt{3}}\right)^x + \left(\sqrt{2+\sqrt{3}}\right)^x$
1. Рассмотрим основания степеней: $a = \sqrt{2-\sqrt{3}}$ и $b = \sqrt{2+\sqrt{3}}$.
2. Найдем их произведение: $a \cdot b = \sqrt{2-\sqrt{3}} \cdot \sqrt{2+\sqrt{3}} = \sqrt{(2-\sqrt{3})(2+\sqrt{3})} = \sqrt{4-3} = \sqrt{1} = 1$.
3. Так как $ab=1$, то $b = \frac{1}{a}$. Функцию можно переписать в виде $y = a^x + \left(\frac{1}{a}\right)^x = a^x + a^{-x}$.
4. Пусть $z = a^x$. Так как $x$ может быть любым действительным числом, а $a = \sqrt{2-\sqrt{3}} \in (0, 1)$, то $z$ принимает все значения из интервала $(0; +\infty)$.
5. Функция принимает вид $y = z + \frac{1}{z}$, где $z>0$.
6. По неравенству Коши, $z + \frac{1}{z} \ge 2\sqrt{z \cdot \frac{1}{z}} = 2$.
7. Минимальное значение, равное 2, достигается при $z=1$, то есть когда $a^x=1$. Это происходит при $x=0$.
8. Когда $x \to \pm\infty$, один из членов $a^x$ или $a^{-x}$ стремится к $+\infty$, а другой к 0. Следовательно, функция не ограничена сверху.
9. Таким образом, множество значений функции — это все числа, большие или равные 2.
Ответ: $E(y) = [2; +\infty)$
г)
Найдите множество значений функции: $y = \left(\sqrt{4-2\sqrt{3}}\right)^{\sin x} + \left(\sqrt{4+2\sqrt{3}}\right)^{\sin x}$
1. Упростим выражения в основаниях степеней.
Заметим, что подкоренные выражения являются полными квадратами:
- $4 - 2\sqrt{3} = 3 - 2\sqrt{3} + 1 = (\sqrt{3})^2 - 2\cdot\sqrt{3}\cdot 1 + 1^2 = (\sqrt{3}-1)^2$
- $4 + 2\sqrt{3} = 3 + 2\sqrt{3} + 1 = (\sqrt{3})^2 + 2\cdot\sqrt{3}\cdot 1 + 1^2 = (\sqrt{3}+1)^2$
Тогда основания степеней равны:
- $\sqrt{4-2\sqrt{3}} = \sqrt{(\sqrt{3}-1)^2} = \sqrt{3}-1$ (поскольку $\sqrt{3} > 1$)
- $\sqrt{4+2\sqrt{3}} = \sqrt{(\sqrt{3}+1)^2} = \sqrt{3}+1$
Таким образом, исходная функция принимает вид:
$y = (\sqrt{3}-1)^{\sin x} + (\sqrt{3}+1)^{\sin x}$
2. Введем замену и проанализируем функцию.
Пусть $t = \sin x$. Поскольку область значений синуса $[-1, 1]$, то переменная $t \in [-1, 1]$.
Рассмотрим функцию $f(t) = (\sqrt{3}-1)^t + (\sqrt{3}+1)^t$ на отрезке $[-1, 1]$.
Для нахождения множества значений функции $f(t)$ на отрезке, нужно найти ее наименьшее и наибольшее значения. Это будут либо значения на концах отрезка ($f(-1)$ и $f(1)$), либо значение в точке экстремума, если она лежит внутри отрезка.
3. Найдем наибольшее значение функции.
Найдем значения функции на концах отрезка:
- При $t=1$:
$f(1) = (\sqrt{3}-1)^1 + (\sqrt{3}+1)^1 = \sqrt{3}-1+\sqrt{3}+1 = 2\sqrt{3}$. - При $t=-1$:
$f(-1) = (\sqrt{3}-1)^{-1} + (\sqrt{3}+1)^{-1} = \frac{1}{\sqrt{3}-1} + \frac{1}{\sqrt{3}+1}$.
Приводя к общему знаменателю:
$f(-1) = \frac{(\sqrt{3}+1) + (\sqrt{3}-1)}{(\sqrt{3}-1)(\sqrt{3}+1)} = \frac{2\sqrt{3}}{3-1} = \frac{2\sqrt{3}}{2} = \sqrt{3}$.
Ответ: $E(y) = [\sqrt{3}, 2\sqrt{3}]$
Другие задания:
Помогло решение? Оставьте отзыв в комментариях ниже.
Присоединяйтесь к Телеграм-группе @gdz_by_belarus
ПрисоединитьсяМы подготовили для вас ответ c подробным объяснением домашего задания по алгебре за 11 класс, для упражнения номер 13 расположенного на странице 20 к сборнику задач 2020 года издания для учащихся школ и гимназий.
Теперь на нашем сайте ГДЗ.ТОП вы всегда легко и бесплатно найдёте условие с правильным ответом на вопрос «Как решить ДЗ» и «Как сделать» задание по алгебре к упражнению №13 (с. 20), авторов: Арефьева (Ирина Глебовна), Пирютко (Ольга Николаевна), базовый и повышенный уровень обучения учебного пособия издательства Народная асвета.