Номер 17.3, страница 95 - гдз по алгебре 10 класс сборник задач Арефьева, Пирютко
Авторы: Арефьева И. Г., Пирютко О. Н.
Тип: Сборник задач
Издательство: Народная асвета
Год издания: 2020 - 2025
Уровень обучения: базовый и повышенный
Цвет обложки: белый, голубой с графиком
Допущено Министерством образования Республики Беларусь
Популярные ГДЗ в 10 классе
Глава 3. Тригонометрия. Параграф 17. Формулы преобразования суммы и разности синусов (косинусов) в произведение - номер 17.3, страница 95.
№17.3 (с. 95)
Условие. №17.3 (с. 95)
скриншот условия
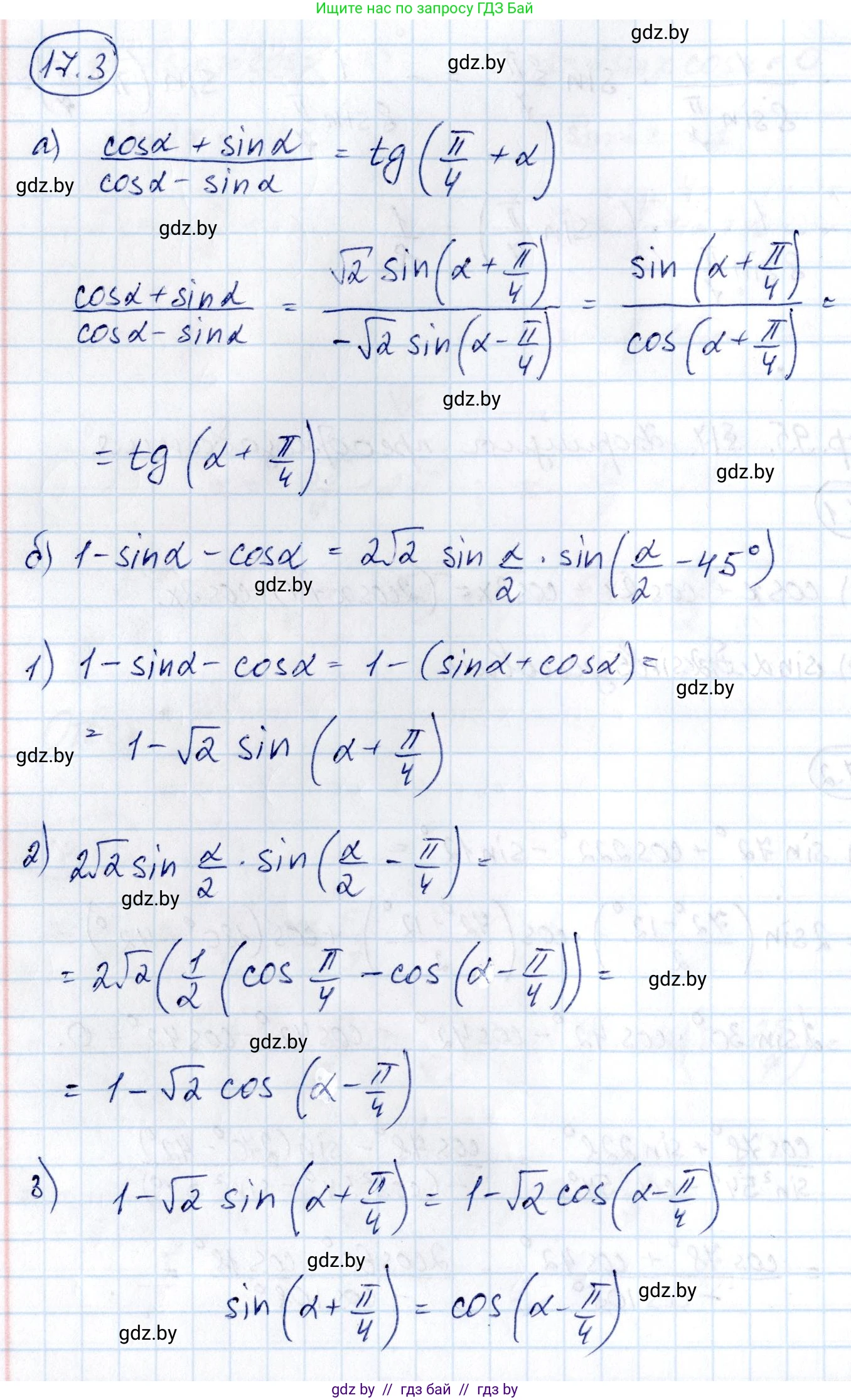
17.3. Докажите тождество:
а) $\frac{\cos\alpha+\sin\alpha}{\cos\alpha-\sin\alpha} = \operatorname{tg}\left(\frac{\pi}{4}+\alpha\right)$;
б) $1 - \sin\alpha - \cos\alpha = 2\sqrt{2}\sin\frac{\alpha}{2}\sin\left(\frac{\alpha}{2}-45^{\circ}\right)$.
Решение. №17.3 (с. 95)
Решение 2. №17.3 (с. 95)
а) Для доказательства тождества $ \frac{\cos\alpha + \sin\alpha}{\cos\alpha - \sin\alpha} = \text{tg}(\frac{\pi}{4} + \alpha) $ преобразуем его правую часть.
Используем формулу тангенса суммы $ \text{tg}(x+y) = \frac{\text{tg}x + \text{tg}y}{1 - \text{tg}x \cdot \text{tg}y} $:
$ \text{tg}(\frac{\pi}{4} + \alpha) = \frac{\text{tg}\frac{\pi}{4} + \text{tg}\alpha}{1 - \text{tg}\frac{\pi}{4} \cdot \text{tg}\alpha} $
Поскольку $ \text{tg}\frac{\pi}{4} = 1 $, подставим это значение в выражение:
$ \frac{1 + \text{tg}\alpha}{1 - \text{tg}\alpha} $
Теперь заменим тангенс на отношение синуса к косинусу $ \text{tg}\alpha = \frac{\sin\alpha}{\cos\alpha} $:
$ \frac{1 + \frac{\sin\alpha}{\cos\alpha}}{1 - \frac{\sin\alpha}{\cos\alpha}} $
Чтобы упростить данную дробь, умножим ее числитель и знаменатель на $ \cos\alpha $ (при условии, что $ \cos\alpha \neq 0 $):
$ \frac{\cos\alpha(1 + \frac{\sin\alpha}{\cos\alpha})}{\cos\alpha(1 - \frac{\sin\alpha}{\cos\alpha})} = \frac{\cos\alpha + \sin\alpha}{\cos\alpha - \sin\alpha} $
Полученное выражение идентично левой части исходного равенства. Таким образом, тождество доказано.
Ответ: Тождество доказано.
б) Для доказательства тождества $ 1 - \sin\alpha - \cos\alpha = 2\sqrt{2}\sin\frac{\alpha}{2}\sin(\frac{\alpha}{2} - 45^\circ) $ преобразуем его левую часть.
Сгруппируем слагаемые следующим образом: $ (1 - \cos\alpha) - \sin\alpha $.
Применим формулы половинного угла для тригонометрических функций:
$ 1 - \cos\alpha = 2\sin^2\frac{\alpha}{2} $
$ \sin\alpha = 2\sin\frac{\alpha}{2}\cos\frac{\alpha}{2} $
Подставим эти выражения в левую часть:
$ 2\sin^2\frac{\alpha}{2} - 2\sin\frac{\alpha}{2}\cos\frac{\alpha}{2} $
Вынесем за скобки общий множитель $ 2\sin\frac{\alpha}{2} $:
$ 2\sin\frac{\alpha}{2}(\sin\frac{\alpha}{2} - \cos\frac{\alpha}{2}) $
Теперь преобразуем выражение в скобках $ (\sin\frac{\alpha}{2} - \cos\frac{\alpha}{2}) $, используя метод введения вспомогательного угла:
$ \sin\frac{\alpha}{2} - \cos\frac{\alpha}{2} = \sqrt{1^2+(-1)^2} \cdot (\frac{1}{\sqrt{2}}\sin\frac{\alpha}{2} - \frac{1}{\sqrt{2}}\cos\frac{\alpha}{2}) = \sqrt{2}(\frac{1}{\sqrt{2}}\sin\frac{\alpha}{2} - \frac{1}{\sqrt{2}}\cos\frac{\alpha}{2}) $
Поскольку $ \cos45^\circ = \frac{1}{\sqrt{2}} $ и $ \sin45^\circ = \frac{1}{\sqrt{2}} $, мы можем переписать выражение как:
$ \sqrt{2}(\sin\frac{\alpha}{2}\cos45^\circ - \cos\frac{\alpha}{2}\sin45^\circ) $
Это выражение соответствует формуле синуса разности $ \sin(x - y) = \sin x \cos y - \cos x \sin y $, где $ x = \frac{\alpha}{2} $ и $ y = 45^\circ $.
Следовательно, $ \sin\frac{\alpha}{2} - \cos\frac{\alpha}{2} = \sqrt{2}\sin(\frac{\alpha}{2} - 45^\circ) $.
Подставим это обратно в наше основное выражение:
$ 2\sin\frac{\alpha}{2} \cdot [\sqrt{2}\sin(\frac{\alpha}{2} - 45^\circ)] = 2\sqrt{2}\sin\frac{\alpha}{2}\sin(\frac{\alpha}{2} - 45^\circ) $
Полученное выражение идентично правой части исходного равенства. Таким образом, тождество доказано.
Ответ: Тождество доказано.
Другие задания:
Помогло решение? Оставьте отзыв в комментариях ниже.
Присоединяйтесь к Телеграм-группе @gdz_by_belarus
ПрисоединитьсяМы подготовили для вас ответ c подробным объяснением домашего задания по алгебре за 10 класс, для упражнения номер 17.3 расположенного на странице 95 к сборнику задач 2020 года издания для учащихся школ и гимназий.
Теперь на нашем сайте ГДЗ.ТОП вы всегда легко и бесплатно найдёте условие с правильным ответом на вопрос «Как решить ДЗ» и «Как сделать» задание по алгебре к упражнению №17.3 (с. 95), авторов: Арефьева (Ирина Глебовна), Пирютко (Ольга Николаевна), базовый и повышенный уровень обучения учебного пособия издательства Народная асвета.