Номер 23.10, страница 106 - гдз по алгебре 7-9 класс сборник задач Арефьева, Пирютко

Алгебра, 7-9 класс Сборник задач, авторы: Арефьева Ирина Глебовна, Пирютко Ольга Николаевна, издательство Народная асвета, Минск, 2020

Авторы: Арефьева И. Г., Пирютко О. Н.

Тип: Сборник задач

Издательство: Народная асвета

Год издания: 2020 - 2025

Цвет обложки: синий с графиками

Допущено Министерством образования Республики Беларусь

Популярные ГДЗ в 7 классе

8 класс. Параграф 23. Применение свойств квадратных корней - номер 23.10, страница 106.

№23.10 (с. 106)
Условие. №23.10 (с. 106)
скриншот условия
Алгебра, 7-9 класс Сборник задач, авторы: Арефьева Ирина Глебовна, Пирютко Ольга Николаевна, издательство Народная асвета, Минск, 2020, страница 106, номер 23.10, Условие

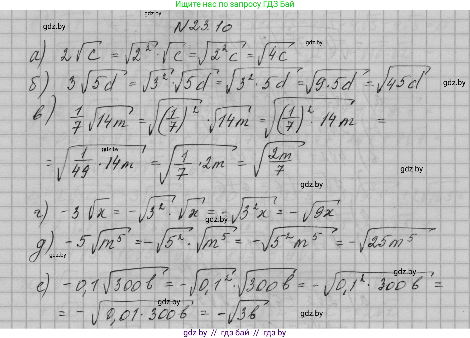
23.10. Внесите множитель под знак корня:

a) $2\sqrt{c}$;

б) $3\sqrt{5d}$;

в) $\frac{1}{7}\sqrt{14m}$;

г) $-3\sqrt{x}$;

д) $-5\sqrt{m^5}$;

е) $-0,1\sqrt{300b}$.

Решение. №23.10 (с. 106)
Алгебра, 7-9 класс Сборник задач, авторы: Арефьева Ирина Глебовна, Пирютко Ольга Николаевна, издательство Народная асвета, Минск, 2020, страница 106, номер 23.10, Решение
Решение 2. №23.10 (с. 106)

а) Чтобы внести положительный множитель $2$ под знак корня, его нужно возвести в квадрат и умножить на подкоренное выражение. Выражение имеет смысл при $c \ge 0$.

$2\sqrt{c} = \sqrt{2^2 \cdot c} = \sqrt{4c}$

Ответ: $\sqrt{4c}$.

б) Множитель $3$ является положительным, поэтому возводим его в квадрат и вносим под корень. Выражение имеет смысл при $d \ge 0$.

$3\sqrt{5d} = \sqrt{3^2 \cdot 5d} = \sqrt{9 \cdot 5d} = \sqrt{45d}$

Ответ: $\sqrt{45d}$.

в) Множитель $\frac{1}{7}$ является положительным. Вносим его под знак корня, возведя в квадрат, и затем упрощаем полученное выражение. Выражение имеет смысл при $m \ge 0$.

$\frac{1}{7}\sqrt{14m} = \sqrt{(\frac{1}{7})^2 \cdot 14m} = \sqrt{\frac{1}{49} \cdot 14m} = \sqrt{\frac{14m}{49}} = \sqrt{\frac{2m}{7}}$

Ответ: $\sqrt{\frac{2m}{7}}$.

г) Так как множитель $-3$ отрицательный, знак "минус" остается перед корнем, а под корень вносится положительное число $3$, возведенное в квадрат. Выражение имеет смысл при $x \ge 0$.

$-3\sqrt{x} = -\sqrt{3^2 \cdot x} = -\sqrt{9x}$

Ответ: $-\sqrt{9x}$.

д) Множитель $-5$ отрицательный. Поступаем аналогично предыдущему пункту: знак "минус" оставляем перед корнем, а под корень вносим $5^2$. Выражение имеет смысл при $m^5 \ge 0$, то есть $m \ge 0$.

$-5\sqrt{m^5} = -\sqrt{5^2 \cdot m^5} = -\sqrt{25m^5}$

Ответ: $-\sqrt{25m^5}$.

е) Множитель $-0,1$ отрицательный. Оставляем "минус" перед корнем, а $0,1$ вносим под корень, возведя в квадрат. Выражение имеет смысл при $b \ge 0$.

$-0,1\sqrt{300b} = -\sqrt{(0,1)^2 \cdot 300b} = -\sqrt{0,01 \cdot 300b} = -\sqrt{3b}$

Ответ: $-\sqrt{3b}$.

Помогло решение? Оставьте отзыв в комментариях ниже.

Присоединяйтесь к Телеграм-группе @gdz_by_belarus

Присоединиться

Мы подготовили для вас ответ c подробным объяснением домашего задания по алгебре за 7-9 класс, для упражнения номер 23.10 расположенного на странице 106 к сборнику задач 2020 года издания для учащихся школ и гимназий.

Теперь на нашем сайте ГДЗ.ТОП вы всегда легко и бесплатно найдёте условие с правильным ответом на вопрос «Как решить ДЗ» и «Как сделать» задание по алгебре к упражнению №23.10 (с. 106), авторов: Арефьева (Ирина Глебовна), Пирютко (Ольга Николаевна), учебного пособия издательства Народная асвета.