Номер 7.11, страница 32 - гдз по алгебре 7-9 класс сборник задач Арефьева, Пирютко

Алгебра, 7-9 класс Сборник задач, авторы: Арефьева Ирина Глебовна, Пирютко Ольга Николаевна, издательство Народная асвета, Минск, 2020

Авторы: Арефьева И. Г., Пирютко О. Н.

Тип: Сборник задач

Издательство: Народная асвета

Год издания: 2020 - 2025

Цвет обложки: синий с графиками

Допущено Министерством образования Республики Беларусь

Популярные ГДЗ в 7 классе

7 класс. Параграф 7. Действия с одночленами - номер 7.11, страница 32.

№7.11 (с. 32)
Условие. №7.11 (с. 32)
скриншот условия
Алгебра, 7-9 класс Сборник задач, авторы: Арефьева Ирина Глебовна, Пирютко Ольга Николаевна, издательство Народная асвета, Минск, 2020, страница 32, номер 7.11, Условие

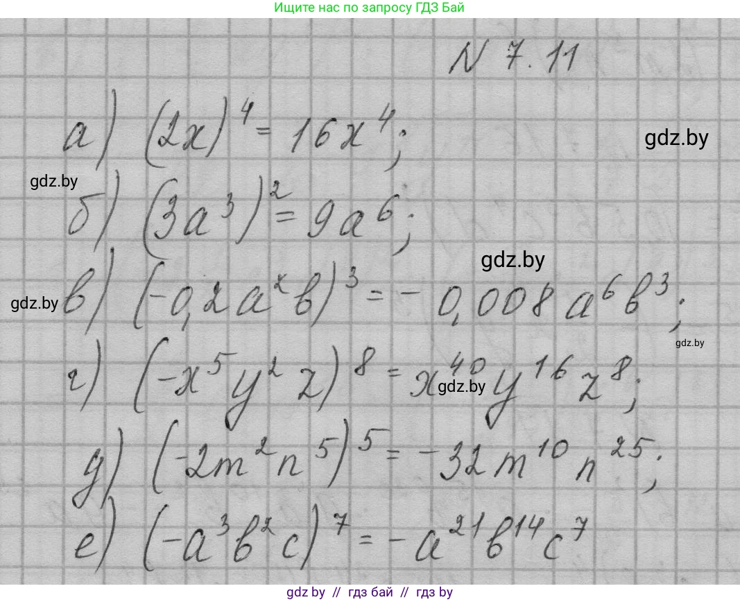
7.11. Возведите одночлен в степень:

а) $(2x)^4$;

б) $(3a^3)^2$;

в) $(-0,2a^2b)^3$;

г) $(-x^5y^2z)^8$;

д) $(-2m^2n^5)^5$;

е) $(-a^3b^2c)^7$.

Решение. №7.11 (с. 32)
Алгебра, 7-9 класс Сборник задач, авторы: Арефьева Ирина Глебовна, Пирютко Ольга Николаевна, издательство Народная асвета, Минск, 2020, страница 32, номер 7.11, Решение
Решение 2. №7.11 (с. 32)

а) Чтобы возвести одночлен $(2x)$ в четвертую степень, необходимо возвести в эту степень каждый множитель, из которых он состоит: числовой коэффициент 2 и переменную $x$. Применяем свойство степени произведения $(ab)^n = a^n b^n$.

$(2x)^4 = 2^4 \cdot x^4 = 16x^4$.

Ответ: $16x^4$.

б) Для возведения одночлена $(3a^3)$ во вторую степень, возводим в квадрат коэффициент 3 и множитель $a^3$. При возведении степени в степень их показатели перемножаются: $(x^m)^n = x^{m \cdot n}$.

$(3a^3)^2 = 3^2 \cdot (a^3)^2 = 9 \cdot a^{3 \cdot 2} = 9a^6$.

Ответ: $9a^6$.

в) Чтобы возвести одночлен $(-0,2a^2b)$ в третью степень, нужно возвести в куб каждый множитель: коэффициент -0,2, а также переменные $a^2$ и $b$.

$(-0,2a^2b)^3 = (-0,2)^3 \cdot (a^2)^3 \cdot b^3 = -0,008 \cdot a^{2 \cdot 3} \cdot b^3 = -0,008a^6b^3$.

Ответ: $-0,008a^6b^3$.

г) Для возведения одночлена $(-x^5y^2z)$ в восьмую степень, учитываем, что коэффициент равен -1. Так как показатель степени 8 — четное число, знак минус исчезнет. Показатели степеней переменных умножаются на 8.

$(-x^5y^2z)^8 = (-1)^8 \cdot (x^5)^8 \cdot (y^2)^8 \cdot z^8 = 1 \cdot x^{5 \cdot 8} \cdot y^{2 \cdot 8} \cdot z^8 = x^{40}y^{16}z^8$.

Ответ: $x^{40}y^{16}z^8$.

д) Чтобы возвести одночлен $(-2m^2n^5)$ в пятую степень, возводим в эту степень коэффициент -2 и каждый из множителей с переменными. Так как показатель степени 5 — нечетное число, знак минус сохранится.

$(-2m^2n^5)^5 = (-2)^5 \cdot (m^2)^5 \cdot (n^5)^5 = -32 \cdot m^{2 \cdot 5} \cdot n^{5 \cdot 5} = -32m^{10}n^{25}$.

Ответ: $-32m^{10}n^{25}$.

е) При возведении одночлена $(-a^3b^2c)$ в седьмую степень, коэффициент -1 возводится в нечетную степень, поэтому знак минус сохраняется. Показатели степеней переменных умножаются на 7.

$(-a^3b^2c)^7 = (-1)^7 \cdot (a^3)^7 \cdot (b^2)^7 \cdot c^7 = -1 \cdot a^{3 \cdot 7} \cdot b^{2 \cdot 7} \cdot c^7 = -a^{21}b^{14}c^7$.

Ответ: $-a^{21}b^{14}c^7$.

Помогло решение? Оставьте отзыв в комментариях ниже.

Присоединяйтесь к Телеграм-группе @gdz_by_belarus

Присоединиться

Мы подготовили для вас ответ c подробным объяснением домашего задания по алгебре за 7-9 класс, для упражнения номер 7.11 расположенного на странице 32 к сборнику задач 2020 года издания для учащихся школ и гимназий.

Теперь на нашем сайте ГДЗ.ТОП вы всегда легко и бесплатно найдёте условие с правильным ответом на вопрос «Как решить ДЗ» и «Как сделать» задание по алгебре к упражнению №7.11 (с. 32), авторов: Арефьева (Ирина Глебовна), Пирютко (Ольга Николаевна), учебного пособия издательства Народная асвета.