Номер 36.42, страница 183 - гдз по алгебре 7-9 класс сборник задач Арефьева, Пирютко

Алгебра, 7-9 класс Сборник задач, авторы: Арефьева Ирина Глебовна, Пирютко Ольга Николаевна, издательство Народная асвета, Минск, 2020

Авторы: Арефьева И. Г., Пирютко О. Н.

Тип: Сборник задач

Издательство: Народная асвета

Год издания: 2020 - 2025

Цвет обложки: синий с графиками

Допущено Министерством образования Республики Беларусь

Популярные ГДЗ в 7 классе

9 класс. Параграф 36. Дробно-рациональные уравнения - номер 36.42, страница 183.

№36.42 (с. 183)
Условие. №36.42 (с. 183)
скриншот условия
Алгебра, 7-9 класс Сборник задач, авторы: Арефьева Ирина Глебовна, Пирютко Ольга Николаевна, издательство Народная асвета, Минск, 2020, страница 183, номер 36.42, Условие

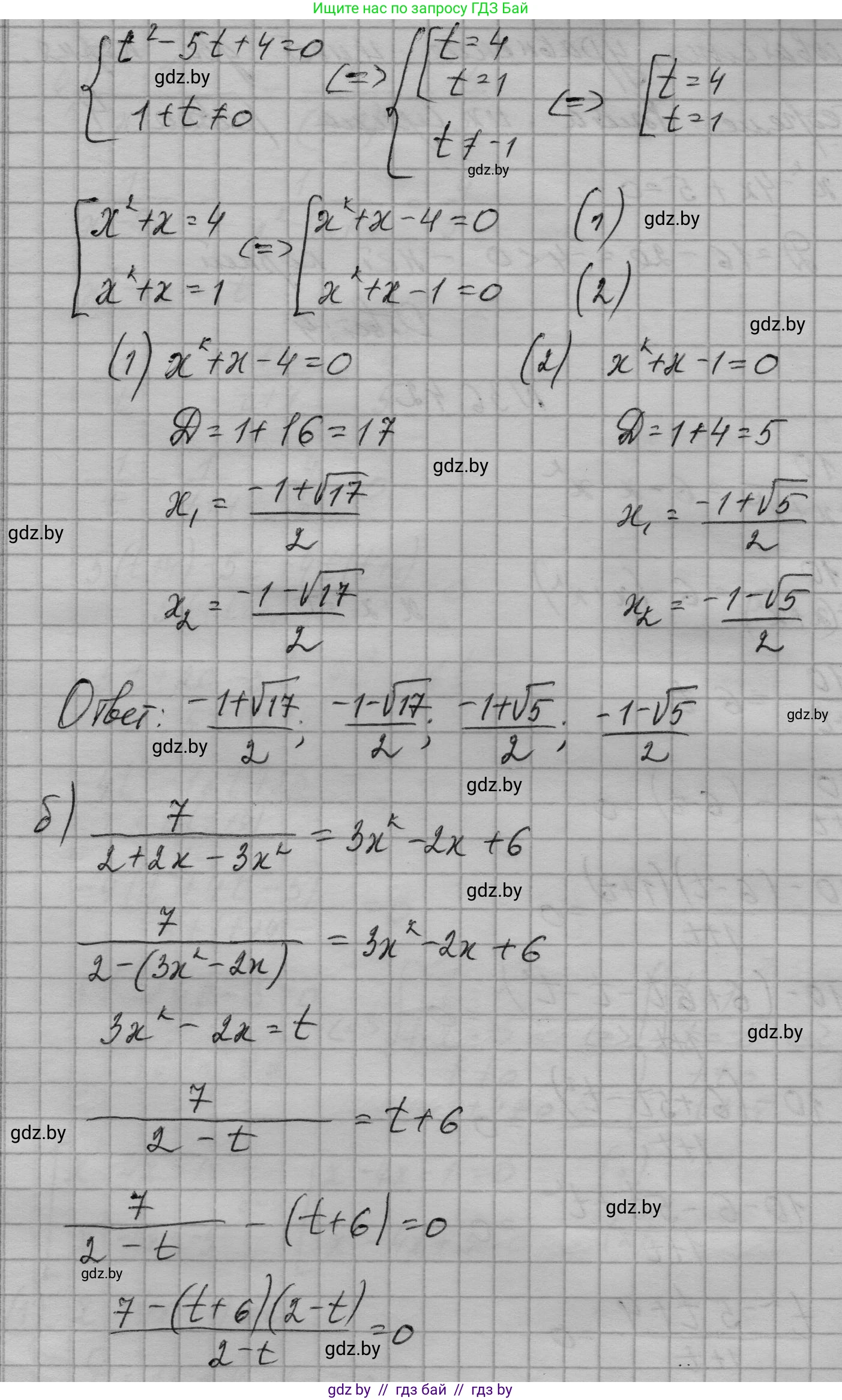
36.42*. Решите уравнение:

a) $\frac{10}{1+x+x^2} = 6-x-x^2;$

б) $\frac{7}{2+2x-3x^2} = 3x^2-2x+6.$

Решение. №36.42 (с. 183)
Алгебра, 7-9 класс Сборник задач, авторы: Арефьева Ирина Глебовна, Пирютко Ольга Николаевна, издательство Народная асвета, Минск, 2020, страница 183, номер 36.42, Решение Алгебра, 7-9 класс Сборник задач, авторы: Арефьева Ирина Глебовна, Пирютко Ольга Николаевна, издательство Народная асвета, Минск, 2020, страница 183, номер 36.42, Решение (продолжение 2)
Решение 2. №36.42 (с. 183)
a)

Исходное уравнение: $ \frac{10}{1+x+x^2} = 6-x-x^2 $.
Проверим знаменатель дроби. Квадратный трехчлен $ x^2+x+1 $ имеет дискриминант $ D = 1^2 - 4 \cdot 1 \cdot 1 = -3 < 0 $. Поскольку старший коэффициент $1 > 0$, этот трехчлен принимает только положительные значения при любых действительных $x$. Следовательно, знаменатель никогда не равен нулю.
Для решения уравнения введем новую переменную. Пусть $ t = x^2 + x $. Тогда уравнение можно переписать в виде:
$ \frac{10}{1+t} = 6-t $
Поскольку $1+t = 1+x^2+x > 0$, мы можем умножить обе части уравнения на $1+t$:
$ 10 = (6-t)(1+t) $
$ 10 = 6 + 6t - t - t^2 $
$ 10 = 6 + 5t - t^2 $
Перенесем все слагаемые в одну часть, чтобы получить стандартное квадратное уравнение:
$ t^2 - 5t + 4 = 0 $
Решим это уравнение относительно $ t $. По теореме Виета или через дискриминант находим корни:
$ t_1 = 1 $, $ t_2 = 4 $.
Теперь выполним обратную замену для каждого найденного значения $t$.
1. При $t=1$:
$ x^2 + x = 1 $
$ x^2 + x - 1 = 0 $
Найдем корни этого квадратного уравнения с помощью формулы корней:
$ D = 1^2 - 4(1)(-1) = 5 $
$ x = \frac{-1 \pm \sqrt{5}}{2} $
2. При $t=4$:
$ x^2 + x = 4 $
$ x^2 + x - 4 = 0 $
Найдем корни этого квадратного уравнения:
$ D = 1^2 - 4(1)(-4) = 1 + 16 = 17 $
$ x = \frac{-1 \pm \sqrt{17}}{2} $
Таким образом, уравнение имеет четыре действительных корня.
Ответ: $ \frac{-1 - \sqrt{5}}{2}; \frac{-1 + \sqrt{5}}{2}; \frac{-1 - \sqrt{17}}{2}; \frac{-1 + \sqrt{17}}{2} $.

б)

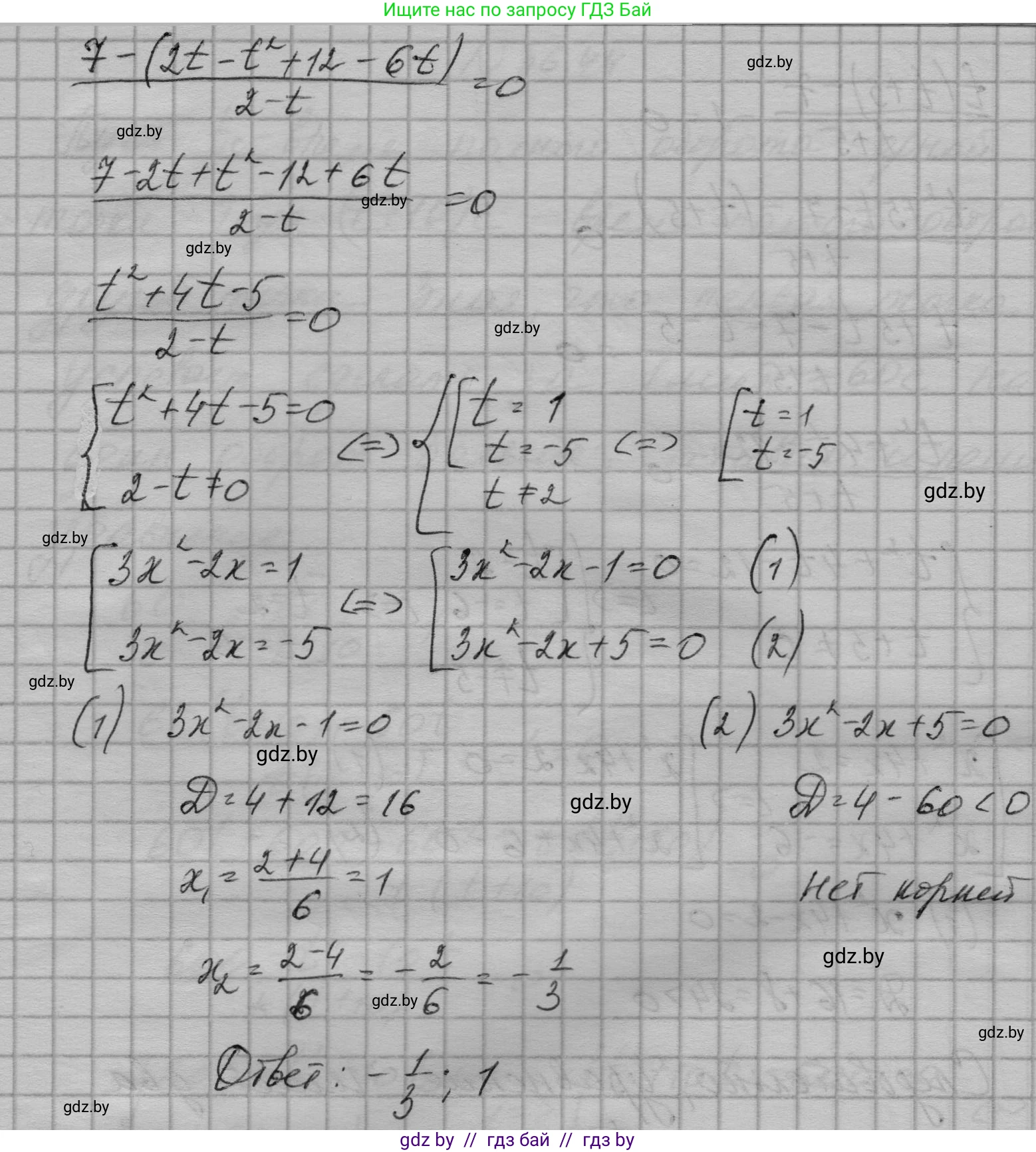
Исходное уравнение: $ \frac{7}{2+2x-3x^2} = 3x^2-2x+6 $.
Заметим, что выражение $ 3x^2-2x $ присутствует в обеих частях уравнения с противоположными знаками. Это позволяет сделать замену переменной. Пусть $ t = 3x^2 - 2x $. Тогда $ -3x^2+2x = -t $. Уравнение принимает вид:
$ \frac{7}{2-t} = t+6 $
Область допустимых значений (ОДЗ) определяется условием $ 2+2x-3x^2 \neq 0 $, что эквивалентно $ 2-t \neq 0 $, то есть $ t \neq 2 $.
Умножим обе части уравнения на $ (2-t) $:
$ 7 = (t+6)(2-t) $
$ 7 = 2t - t^2 + 12 - 6t $
$ 7 = -t^2 - 4t + 12 $
Приведем к стандартному виду квадратного уравнения:
$ t^2 + 4t + 7 - 12 = 0 $
$ t^2 + 4t - 5 = 0 $
Решим полученное уравнение относительно $t$. Корни легко находятся по теореме Виета:
$ t_1 = 1 $, $ t_2 = -5 $.
Оба корня удовлетворяют условию $t \neq 2$.
Теперь выполним обратную замену.
1. При $t=1$:
$ 3x^2 - 2x = 1 $
$ 3x^2 - 2x - 1 = 0 $
Найдем дискриминант: $ D = (-2)^2 - 4(3)(-1) = 4 + 12 = 16 = 4^2 $.
Корни уравнения:
$ x_1 = \frac{2+4}{2 \cdot 3} = \frac{6}{6} = 1 $
$ x_2 = \frac{2-4}{2 \cdot 3} = \frac{-2}{6} = -\frac{1}{3} $
2. При $t=-5$:
$ 3x^2 - 2x = -5 $
$ 3x^2 - 2x + 5 = 0 $
Найдем дискриминант: $ D = (-2)^2 - 4(3)(5) = 4 - 60 = -56 $.
Поскольку $D < 0$, в этом случае действительных корней нет.
Следовательно, исходное уравнение имеет два корня.
Ответ: $ -\frac{1}{3}; 1 $.

Помогло решение? Оставьте отзыв в комментариях ниже.

Присоединяйтесь к Телеграм-группе @gdz_by_belarus

Присоединиться

Мы подготовили для вас ответ c подробным объяснением домашего задания по алгебре за 7-9 класс, для упражнения номер 36.42 расположенного на странице 183 к сборнику задач 2020 года издания для учащихся школ и гимназий.

Теперь на нашем сайте ГДЗ.ТОП вы всегда легко и бесплатно найдёте условие с правильным ответом на вопрос «Как решить ДЗ» и «Как сделать» задание по алгебре к упражнению №36.42 (с. 183), авторов: Арефьева (Ирина Глебовна), Пирютко (Ольга Николаевна), учебного пособия издательства Народная асвета.