Номер 36.24, страница 181 - гдз по алгебре 7-9 класс сборник задач Арефьева, Пирютко

Алгебра, 7-9 класс Сборник задач, авторы: Арефьева Ирина Глебовна, Пирютко Ольга Николаевна, издательство Народная асвета, Минск, 2020

Авторы: Арефьева И. Г., Пирютко О. Н.

Тип: Сборник задач

Издательство: Народная асвета

Год издания: 2020 - 2025

Цвет обложки: синий с графиками

Допущено Министерством образования Республики Беларусь

Популярные ГДЗ в 7 классе

9 класс. Параграф 36. Дробно-рациональные уравнения - номер 36.24, страница 181.

№36.24 (с. 181)
Условие. №36.24 (с. 181)
скриншот условия
Алгебра, 7-9 класс Сборник задач, авторы: Арефьева Ирина Глебовна, Пирютко Ольга Николаевна, издательство Народная асвета, Минск, 2020, страница 181, номер 36.24, Условие

36.24. Найдите сумму корней уравнения:

а) $\frac{2}{x-3} + 1 = \frac{8}{x^2 - 6x + 9}$

б) $\frac{3}{x+5} = \frac{8}{x^2 + 10x + 25} - 1$

Решение. №36.24 (с. 181)
Алгебра, 7-9 класс Сборник задач, авторы: Арефьева Ирина Глебовна, Пирютко Ольга Николаевна, издательство Народная асвета, Минск, 2020, страница 181, номер 36.24, Решение Алгебра, 7-9 класс Сборник задач, авторы: Арефьева Ирина Глебовна, Пирютко Ольга Николаевна, издательство Народная асвета, Минск, 2020, страница 181, номер 36.24, Решение (продолжение 2)
Решение 2. №36.24 (с. 181)

а)

Дано уравнение: $ \frac{2}{x-3} + 1 = \frac{8}{x^2 - 6x + 9} $.

1. Первым шагом заметим, что знаменатель дроби в правой части уравнения представляет собой полный квадрат: $ x^2 - 6x + 9 = (x-3)^2 $. Подставим это в исходное уравнение:

$ \frac{2}{x-3} + 1 = \frac{8}{(x-3)^2} $

2. Определим область допустимых значений (ОДЗ). Знаменатели дробей не могут быть равны нулю, поэтому $ x-3 \neq 0 $, откуда $ x \neq 3 $.

3. Приведём все слагаемые к общему знаменателю $ (x-3)^2 $:

$ \frac{2(x-3)}{(x-3)^2} + \frac{(x-3)^2}{(x-3)^2} = \frac{8}{(x-3)^2} $

4. Так как $ x \neq 3 $, мы можем умножить обе части уравнения на $ (x-3)^2 $, чтобы избавиться от знаменателей:

$ 2(x-3) + (x-3)^2 = 8 $

5. Раскроем скобки и упростим полученное выражение:

$ 2x - 6 + x^2 - 6x + 9 = 8 $

Приведём подобные слагаемые:

$ x^2 - 4x + 3 = 8 $

6. Перенесём все члены в левую часть, чтобы получить стандартное квадратное уравнение вида $ ax^2+bx+c=0 $:

$ x^2 - 4x + 3 - 8 = 0 $

$ x^2 - 4x - 5 = 0 $

7. Нас просят найти сумму корней. Согласно теореме Виета, сумма корней $ x_1, x_2 $ приведенного квадратного уравнения $ x^2+px+q=0 $ равна $ x_1+x_2=-p $. В нашем случае $ p=-4 $, значит, сумма корней равна $ -(-4)=4 $.

Чтобы убедиться, что корни существуют и удовлетворяют ОДЗ, найдем их. Дискриминант $ D = b^2 - 4ac = (-4)^2 - 4 \cdot 1 \cdot (-5) = 16 + 20 = 36 = 6^2 $. Так как $ D > 0 $, уравнение имеет два действительных корня.

$ x_1 = \frac{-(-4) + 6}{2 \cdot 1} = \frac{10}{2} = 5 $

$ x_2 = \frac{-(-4) - 6}{2 \cdot 1} = \frac{-2}{2} = -1 $

Оба корня ($5$ и $-1$) не равны $3$, значит, они являются решениями исходного уравнения. Их сумма: $ 5 + (-1) = 4 $.

Ответ: 4

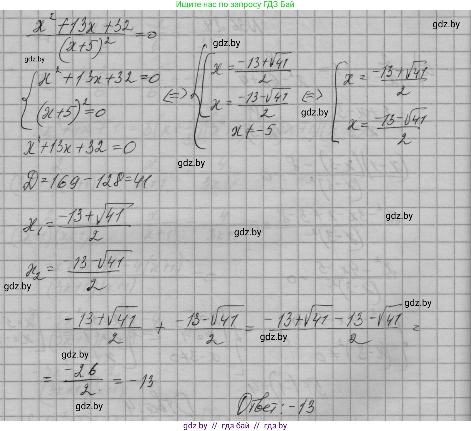
б)

Дано уравнение: $ \frac{3}{x+5} = \frac{8}{x^2 + 10x + 25} - 1 $.

1. Знаменатель дроби в правой части также является полным квадратом: $ x^2 + 10x + 25 = (x+5)^2 $. Перепишем уравнение:

$ \frac{3}{x+5} = \frac{8}{(x+5)^2} - 1 $

2. Область допустимых значений (ОДЗ) определяется условием $ x+5 \neq 0 $, то есть $ x \neq -5 $.

3. Приведём все слагаемые к общему знаменателю $ (x+5)^2 $:

$ \frac{3(x+5)}{(x+5)^2} = \frac{8}{(x+5)^2} - \frac{(x+5)^2}{(x+5)^2} $

4. Умножим обе части уравнения на $ (x+5)^2 $ (с учётом ОДЗ $ x \neq -5 $):

$ 3(x+5) = 8 - (x+5)^2 $

5. Раскроем скобки:

$ 3x + 15 = 8 - (x^2 + 10x + 25) $

$ 3x + 15 = 8 - x^2 - 10x - 25 $

$ 3x + 15 = -x^2 - 10x - 17 $

6. Перенесём все члены в левую часть и приведём к стандартному виду:

$ x^2 + 3x + 10x + 15 + 17 = 0 $

$ x^2 + 13x + 32 = 0 $

7. По теореме Виета, сумма корней этого квадратного уравнения равна $ -b/a $. В нашем случае $ a=1, b=13, c=32 $. Таким образом, сумма корней:

$ x_1+x_2 = -\frac{13}{1} = -13 $

Проверим наличие действительных корней, вычислив дискриминант: $ D = b^2 - 4ac = 13^2 - 4 \cdot 1 \cdot 32 = 169 - 128 = 41 $. Поскольку $ D > 0 $, уравнение имеет два действительных корня. Эти корни равны $ x = \frac{-13 \pm \sqrt{41}}{2} $, и ни один из них не равен $-5$. Следовательно, они удовлетворяют ОДЗ.

Ответ: -13

Помогло решение? Оставьте отзыв в комментариях ниже.

Присоединяйтесь к Телеграм-группе @gdz_by_belarus

Присоединиться

Мы подготовили для вас ответ c подробным объяснением домашего задания по алгебре за 7-9 класс, для упражнения номер 36.24 расположенного на странице 181 к сборнику задач 2020 года издания для учащихся школ и гимназий.

Теперь на нашем сайте ГДЗ.ТОП вы всегда легко и бесплатно найдёте условие с правильным ответом на вопрос «Как решить ДЗ» и «Как сделать» задание по алгебре к упражнению №36.24 (с. 181), авторов: Арефьева (Ирина Глебовна), Пирютко (Ольга Николаевна), учебного пособия издательства Народная асвета.