Номер 3, страница 115 - гдз по алгебре 11 класс сборник задач Арефьева, Пирютко

Алгебра, 11 класс Сборник задач, авторы: Арефьева Ирина Глебовна, Пирютко Ольга Николаевна, издательство Народная асвета, Минск, 2020, белого цвета

Авторы: Арефьева И. Г., Пирютко О. Н.

Тип: Сборник задач

Издательство: Народная асвета

Год издания: 2020 - 2025

Уровень обучения: базовый и повышенный

Цвет обложки: белый с графиком

Допущено Министерством образования Республики Беларусь

Популярные ГДЗ в 11 классе

Глава 4. Системы уравнений и неравенств. Параграф 11. Методы решения систем уравнений - номер 3, страница 115.

№3 (с. 115)
Условие. №3 (с. 115)
скриншот условия
Алгебра, 11 класс Сборник задач, авторы: Арефьева Ирина Глебовна, Пирютко Ольга Николаевна, издательство Народная асвета, Минск, 2020, белого цвета, страница 115, номер 3, Условие

11.3. Решите систему уравнений:

a)$\begin{cases}2x - 3y = 6 - 2\sqrt{7}, \\2y - \frac{6x}{\sqrt{7}} = 2;\end{cases}$

б)$\begin{cases}4x + 5y = 12 + 5\sqrt{2}, \\3x - 2\sqrt{2}y = 1.\end{cases}$

Решение. №3 (с. 115)
Алгебра, 11 класс Сборник задач, авторы: Арефьева Ирина Глебовна, Пирютко Ольга Николаевна, издательство Народная асвета, Минск, 2020, белого цвета, страница 115, номер 3, Решение Алгебра, 11 класс Сборник задач, авторы: Арефьева Ирина Глебовна, Пирютко Ольга Николаевна, издательство Народная асвета, Минск, 2020, белого цвета, страница 115, номер 3, Решение (продолжение 2)
Решение 2. №3 (с. 115)

a) Дана система уравнений:

$$ \begin{cases} 2x - 3y = 6 - 2\sqrt{7} \\ 2y - \frac{6x}{\sqrt{7}} = 2 \end{cases} $$

Сначала преобразуем второе уравнение, чтобы избавиться от дроби. Умножим обе части второго уравнения на $\sqrt{7}$:

$$ \sqrt{7} \cdot \left(2y - \frac{6x}{\sqrt{7}}\right) = 2 \cdot \sqrt{7} $$ $$ 2\sqrt{7}y - 6x = 2\sqrt{7} $$

Переставим слагаемые, чтобы переменные $x$ и $y$ стояли в том же порядке, что и в первом уравнении:

$$ -6x + 2\sqrt{7}y = 2\sqrt{7} $$

Теперь система уравнений имеет вид:

$$ \begin{cases} 2x - 3y = 6 - 2\sqrt{7} \quad (1) \\ -6x + 2\sqrt{7}y = 2\sqrt{7} \quad (2) \end{cases} $$

Для решения системы используем метод сложения. Умножим обе части уравнения (1) на 3, чтобы коэффициенты при $x$ стали противоположными числами:

$$ 3 \cdot (2x - 3y) = 3 \cdot (6 - 2\sqrt{7}) $$ $$ 6x - 9y = 18 - 6\sqrt{7} \quad (1') $$

Теперь сложим почленно уравнения (1') и (2):

$$ (6x - 9y) + (-6x + 2\sqrt{7}y) = (18 - 6\sqrt{7}) + (2\sqrt{7}) $$ $$ (2\sqrt{7} - 9)y = 18 - 4\sqrt{7} $$

Выразим $y$:

$$ y = \frac{18 - 4\sqrt{7}}{2\sqrt{7} - 9} $$

Чтобы упростить это выражение, вынесем в числителе за скобки -2:

$$ y = \frac{-2(-9 + 2\sqrt{7})}{2\sqrt{7} - 9} = \frac{-2(2\sqrt{7} - 9)}{2\sqrt{7} - 9} = -2 $$

Теперь подставим найденное значение $y = -2$ в первое уравнение исходной системы (1):

$$ 2x - 3(-2) = 6 - 2\sqrt{7} $$ $$ 2x + 6 = 6 - 2\sqrt{7} $$

Вычтем 6 из обеих частей уравнения:

$$ 2x = -2\sqrt{7} $$ $$ x = -\sqrt{7} $$

Ответ: $x = -\sqrt{7}$, $y = -2$.

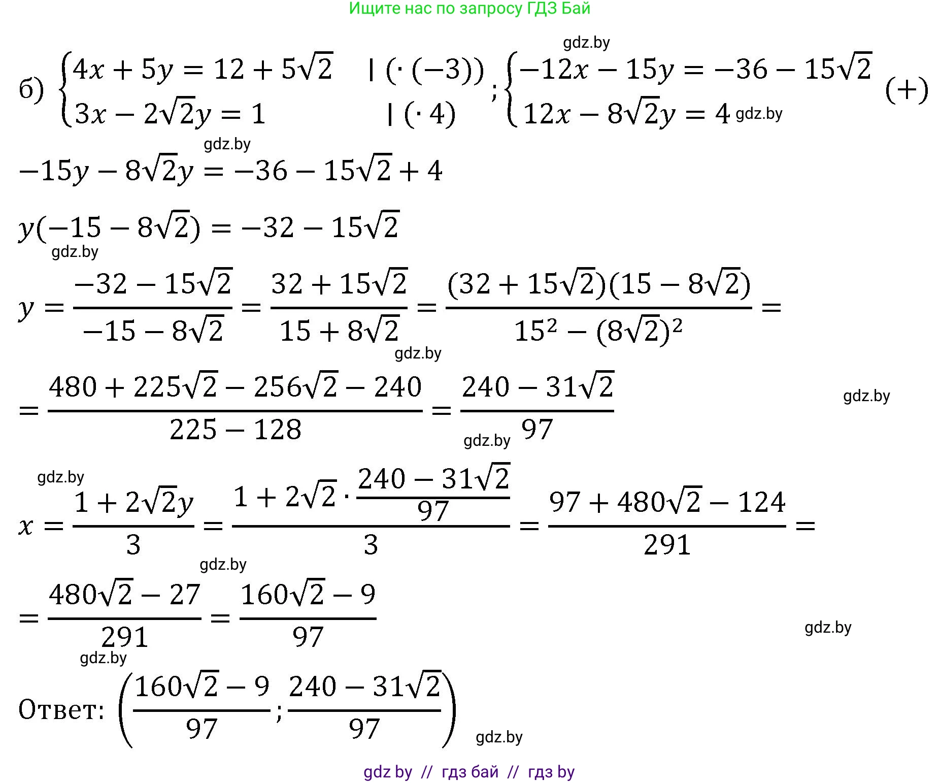
б) Дана система уравнений:

$$ \begin{cases} 4x + 5y = 12 + 5\sqrt{2} \quad (1) \\ 3x - 2\sqrt{2}y = 1 \quad (2) \end{cases} $$

Решим систему методом сложения. Сначала найдем $x$, для этого исключим переменную $y$. Умножим уравнение (1) на $2\sqrt{2}$, а уравнение (2) на 5:

$$ 2\sqrt{2}(4x + 5y) = 2\sqrt{2}(12 + 5\sqrt{2}) \implies 8\sqrt{2}x + 10\sqrt{2}y = 24\sqrt{2} + 20 \quad (1') $$ $$ 5(3x - 2\sqrt{2}y) = 5(1) \implies 15x - 10\sqrt{2}y = 5 \quad (2') $$

Сложим уравнения (1') и (2'):

$$ (8\sqrt{2}x + 10\sqrt{2}y) + (15x - 10\sqrt{2}y) = (24\sqrt{2} + 20) + 5 $$ $$ (8\sqrt{2} + 15)x = 25 + 24\sqrt{2} $$ $$ x = \frac{25 + 24\sqrt{2}}{15 + 8\sqrt{2}} $$

Избавимся от иррациональности в знаменателе, умножив числитель и знаменатель на сопряженное выражение $(15 - 8\sqrt{2})$:

$$ x = \frac{(25 + 24\sqrt{2})(15 - 8\sqrt{2})}{(15 + 8\sqrt{2})(15 - 8\sqrt{2})} = \frac{25 \cdot 15 - 25 \cdot 8\sqrt{2} + 24\sqrt{2} \cdot 15 - 24\sqrt{2} \cdot 8\sqrt{2}}{15^2 - (8\sqrt{2})^2} $$ $$ x = \frac{375 - 200\sqrt{2} + 360\sqrt{2} - 192 \cdot 2}{225 - 64 \cdot 2} = \frac{375 - 384 + 160\sqrt{2}}{225 - 128} = \frac{-9 + 160\sqrt{2}}{97} $$

Теперь найдем $y$. Для этого исключим $x$. Умножим уравнение (1) на 3, а уравнение (2) на -4:

$$ 3(4x + 5y) = 3(12 + 5\sqrt{2}) \implies 12x + 15y = 36 + 15\sqrt{2} \quad (1'') $$ $$ -4(3x - 2\sqrt{2}y) = -4(1) \implies -12x + 8\sqrt{2}y = -4 \quad (2'') $$

Сложим уравнения (1'') и (2''):

$$ (12x + 15y) + (-12x + 8\sqrt{2}y) = (36 + 15\sqrt{2}) + (-4) $$ $$ (15 + 8\sqrt{2})y = 32 + 15\sqrt{2} $$ $$ y = \frac{32 + 15\sqrt{2}}{15 + 8\sqrt{2}} $$

Избавимся от иррациональности в знаменателе:

$$ y = \frac{(32 + 15\sqrt{2})(15 - 8\sqrt{2})}{(15 + 8\sqrt{2})(15 - 8\sqrt{2})} = \frac{32 \cdot 15 - 32 \cdot 8\sqrt{2} + 15\sqrt{2} \cdot 15 - 15\sqrt{2} \cdot 8\sqrt{2}}{15^2 - (8\sqrt{2})^2} $$ $$ y = \frac{480 - 256\sqrt{2} + 225\sqrt{2} - 120 \cdot 2}{97} = \frac{480 - 240 - 31\sqrt{2}}{97} = \frac{240 - 31\sqrt{2}}{97} $$

Ответ: $x = \frac{-9 + 160\sqrt{2}}{97}$, $y = \frac{240 - 31\sqrt{2}}{97}$.

Помогло решение? Оставьте отзыв в комментариях ниже.

Присоединяйтесь к Телеграм-группе @gdz_by_belarus

Присоединиться

Мы подготовили для вас ответ c подробным объяснением домашего задания по алгебре за 11 класс, для упражнения номер 3 расположенного на странице 115 к сборнику задач 2020 года издания для учащихся школ и гимназий.

Теперь на нашем сайте ГДЗ.ТОП вы всегда легко и бесплатно найдёте условие с правильным ответом на вопрос «Как решить ДЗ» и «Как сделать» задание по алгебре к упражнению №3 (с. 115), авторов: Арефьева (Ирина Глебовна), Пирютко (Ольга Николаевна), базовый и повышенный уровень обучения учебного пособия издательства Народная асвета.