Номер 13, страница 72 - гдз по алгебре 11 класс сборник задач Арефьева, Пирютко

Алгебра, 11 класс Сборник задач, авторы: Арефьева Ирина Глебовна, Пирютко Ольга Николаевна, издательство Народная асвета, Минск, 2020, белого цвета

Авторы: Арефьева И. Г., Пирютко О. Н.

Тип: Сборник задач

Издательство: Народная асвета

Год издания: 2020 - 2025

Уровень обучения: базовый и повышенный

Цвет обложки: белый с графиком

Допущено Министерством образования Республики Беларусь

Популярные ГДЗ в 11 классе

Глава 3. Логарифмическая функция. Параграф 9. Логарифмические уравнения - номер 13, страница 72.

№13 (с. 72)
Условие. №13 (с. 72)
скриншот условия
Алгебра, 11 класс Сборник задач, авторы: Арефьева Ирина Глебовна, Пирютко Ольга Николаевна, издательство Народная асвета, Минск, 2020, белого цвета, страница 72, номер 13, Условие Алгебра, 11 класс Сборник задач, авторы: Арефьева Ирина Глебовна, Пирютко Ольга Николаевна, издательство Народная асвета, Минск, 2020, белого цвета, страница 72, номер 13, Условие (продолжение 2)

9.13. Решите систему уравнений:

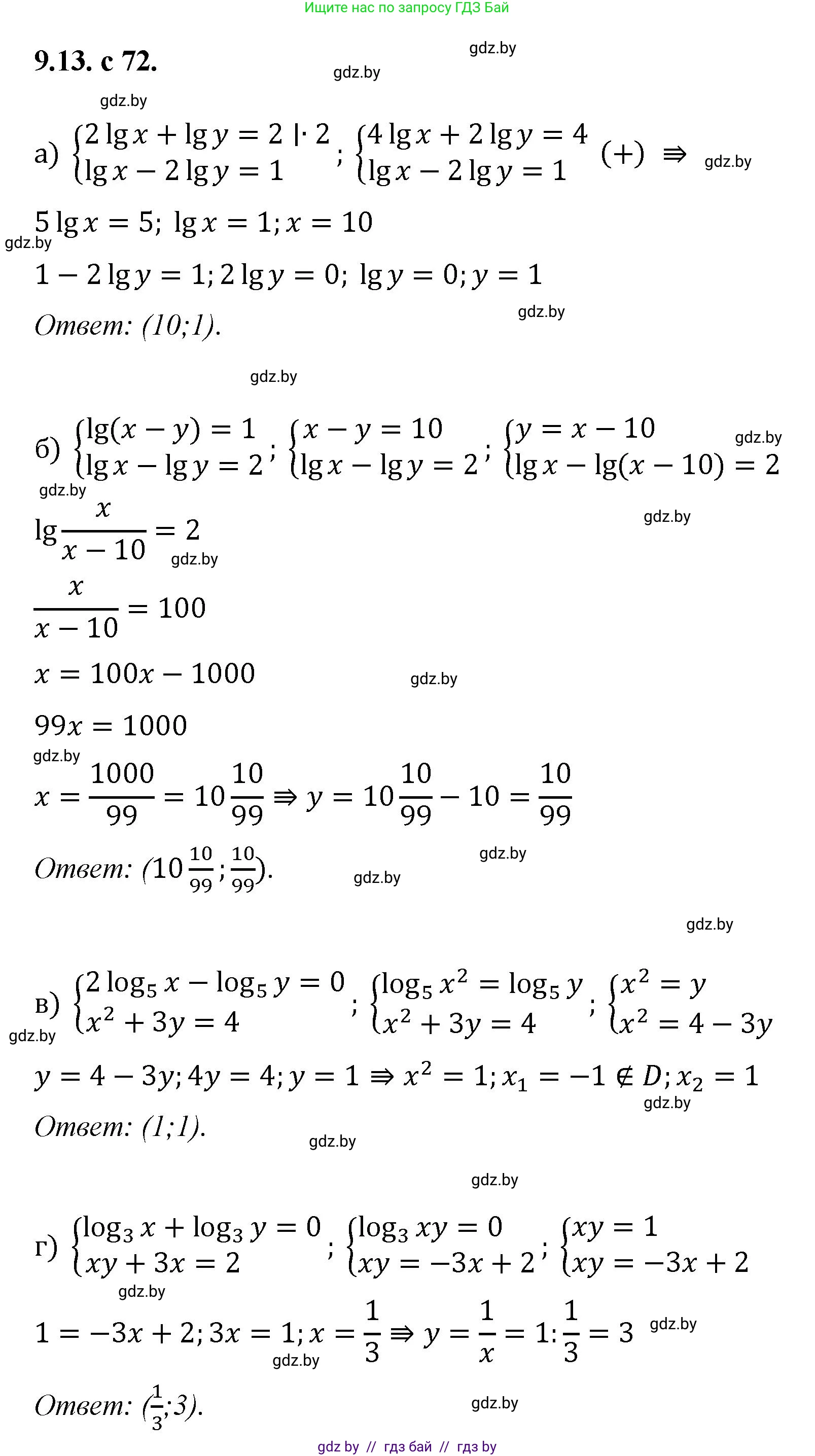
a) $\begin{cases} 2\lg x + \lg y = 2, \\ \lg x - 2\lg y = 1; \end{cases}$

б) $\begin{cases} \lg(x - y) = 1, \\ \lg x - \lg y = 2; \end{cases}$

в) $\begin{cases} 2\log_5 x - \log_5 y = 0, \\ x^2 + 3y = 4; \end{cases}$

г) $\begin{cases} \log_3 x + \log_3 y = 0, \\ xy + 3x = 2. \end{cases}$

Решение. №13 (с. 72)
Алгебра, 11 класс Сборник задач, авторы: Арефьева Ирина Глебовна, Пирютко Ольга Николаевна, издательство Народная асвета, Минск, 2020, белого цвета, страница 72, номер 13, Решение
Решение 2. №13 (с. 72)

а) $$ \begin{cases} 2\lg x + \lg y = 2 \\ \lg x - 2\lg y = 1 \end{cases} $$ Введем замену переменных: пусть $A = \lg x$ и $B = \lg y$. Система примет вид: $$ \begin{cases} 2A + B = 2 \\ A - 2B = 1 \end{cases} $$ Умножим первое уравнение на 2, чтобы решить систему методом сложения: $$ \begin{cases} 4A + 2B = 4 \\ A - 2B = 1 \end{cases} $$ Сложим два уравнения: $$ (4A + A) + (2B - 2B) = 4 + 1 \\ 5A = 5 \\ A = 1 $$ Подставим значение $A=1$ в первое уравнение исходной системы замены ($2A + B = 2$): $$ 2(1) + B = 2 \\ 2 + B = 2 \\ B = 0 $$ Теперь вернемся к исходным переменным: $$ \lg x = A = 1 \implies x = 10^1 = 10 $$ $$ \lg y = B = 0 \implies y = 10^0 = 1 $$ Проверим область допустимых значений (ОДЗ): $x > 0$ и $y > 0$. Решение $(10; 1)$ удовлетворяет этим условиям.
Ответ: $(10; 1)$.

б) $$ \begin{cases} \lg(x - y) = 1 \\ \lg x - \lg y = 2 \end{cases} $$ ОДЗ: $x > 0$, $y > 0$, $x - y > 0 \implies x > y$.
Преобразуем оба уравнения, используя определение и свойства логарифма:
Из первого уравнения: $$ \lg(x-y)=1 \implies x-y=10^1=10 $$ Из второго уравнения: $$ \lg x - \lg y = 2 \implies \lg\left(\frac{x}{y}\right) = 2 \implies \frac{x}{y}=10^2=100 $$ Получаем систему алгебраических уравнений: $$ \begin{cases} x - y = 10 \\ x = 100y \end{cases} $$ Подставим второе уравнение в первое: $$ 100y - y = 10 \\ 99y = 10 \\ y = \frac{10}{99} $$ Теперь найдем $x$: $$ x = 100y = 100 \cdot \frac{10}{99} = \frac{1000}{99} $$ Выделим целую часть из неправильной дроби для $x$: $$ x = \frac{1000}{99} = \frac{990+10}{99} = 10\frac{10}{99} $$ Решение $(10\frac{10}{99}; \frac{10}{99})$ удовлетворяет ОДЗ ($x > y > 0$).
Ответ: $(10\frac{10}{99}; \frac{10}{99})$.

в) $$ \begin{cases} 2\log_5 x - \log_5 y = 0 \\ x^2 + 3y = 4 \end{cases} $$ ОДЗ: $x > 0$, $y > 0$.
Преобразуем первое уравнение, используя свойства логарифмов: $$ \log_5 x^2 - \log_5 y = 0 \\ \log_5\left(\frac{x^2}{y}\right) = 0 \\ \frac{x^2}{y} = 5^0 = 1 \\ y = x^2 $$ Подставим $y = x^2$ во второе уравнение системы: $$ x^2 + 3(x^2) = 4 \\ 4x^2 = 4 \\ x^2 = 1 $$ Отсюда $x=1$ или $x=-1$. Согласно ОДЗ ($x>0$), корень $x=-1$ не подходит.
Берем $x=1$. Тогда $y = x^2 = 1^2 = 1$.
Решение $(1; 1)$ удовлетворяет ОДЗ.
Ответ: $(1; 1)$.

г) $$ \begin{cases} \log_3 x + \log_3 y = 0 \\ xy + 3x = 2 \end{cases} $$ ОДЗ: $x > 0$, $y > 0$.
Преобразуем первое уравнение, используя свойства логарифмов: $$ \log_3(xy) = 0 \\ xy = 3^0 = 1 $$ Подставим значение $xy=1$ во второе уравнение системы: $$ 1 + 3x = 2 \\ 3x = 1 \\ x = \frac{1}{3} $$ Теперь найдем $y$ из соотношения $xy=1$: $$ \left(\frac{1}{3}\right)y = 1 \\ y = 3 $$ Решение $(\frac{1}{3}; 3)$ удовлетворяет ОДЗ.
Ответ: $(\frac{1}{3}; 3)$.

Помогло решение? Оставьте отзыв в комментариях ниже.

Присоединяйтесь к Телеграм-группе @gdz_by_belarus

Присоединиться

Мы подготовили для вас ответ c подробным объяснением домашего задания по алгебре за 11 класс, для упражнения номер 13 расположенного на странице 72 к сборнику задач 2020 года издания для учащихся школ и гимназий.

Теперь на нашем сайте ГДЗ.ТОП вы всегда легко и бесплатно найдёте условие с правильным ответом на вопрос «Как решить ДЗ» и «Как сделать» задание по алгебре к упражнению №13 (с. 72), авторов: Арефьева (Ирина Глебовна), Пирютко (Ольга Николаевна), базовый и повышенный уровень обучения учебного пособия издательства Народная асвета.