Номер 23.4, страница 117 - гдз по алгебре 10 класс сборник задач Арефьева, Пирютко

Алгебра, 10 класс Сборник задач, авторы: Арефьева Ирина Глебовна, Пирютко Ольга Николаевна, издательство Народная асвета, Минск, 2020, белого цвета

Авторы: Арефьева И. Г., Пирютко О. Н.

Тип: Сборник задач

Издательство: Народная асвета

Год издания: 2020 - 2025

Уровень обучения: базовый и повышенный

Цвет обложки: белый, голубой с графиком

Допущено Министерством образования Республики Беларусь

Популярные ГДЗ в 10 классе

Глава 4. Корень n-й степени из числа. Параграф 23. Иррациональные неравенства - номер 23.4, страница 117.

№23.4 (с. 117)
Условие. №23.4 (с. 117)
скриншот условия
Алгебра, 10 класс Сборник задач, авторы: Арефьева Ирина Глебовна, Пирютко Ольга Николаевна, издательство Народная асвета, Минск, 2020, белого цвета, страница 117, номер 23.4, Условие

23.4. Решите неравенство:

а) $\sqrt{2-x} > x;$

б) $\sqrt{x+7} \ge x+1;$

в) $\sqrt{x^2-4x} > x-3;$

г) $\sqrt{x^2-3x+2} \ge 2x-5;$

д) $\sqrt{6x-x^2-5} > 8-2x;$

е) $\sqrt{x^4-2x^2+1} \ge 1-x.$

Решение. №23.4 (с. 117)
Алгебра, 10 класс Сборник задач, авторы: Арефьева Ирина Глебовна, Пирютко Ольга Николаевна, издательство Народная асвета, Минск, 2020, белого цвета, страница 117, номер 23.4, Решение Алгебра, 10 класс Сборник задач, авторы: Арефьева Ирина Глебовна, Пирютко Ольга Николаевна, издательство Народная асвета, Минск, 2020, белого цвета, страница 117, номер 23.4, Решение (продолжение 2)
Решение 2. №23.4 (с. 117)

а) Решим неравенство $\sqrt{2-x} > x$. Данное неравенство равносильно совокупности двух систем.
1. Если правая часть отрицательна, $x < 0$, то неравенство выполняется при всех $x$, для которых определена левая часть, то есть при $2-x \ge 0$.
$\begin{cases} x < 0 \\ 2-x \ge 0 \end{cases} \Rightarrow \begin{cases} x < 0 \\ x \le 2 \end{cases} \Rightarrow x \in (-\infty, 0)$.
2. Если правая часть неотрицательна, $x \ge 0$, то можно возвести обе части неравенства в квадрат, так как они обе неотрицательны.
$\begin{cases} x \ge 0 \\ 2-x > x^2 \end{cases} \Rightarrow \begin{cases} x \ge 0 \\ x^2+x-2 < 0 \end{cases}$.
Найдем корни уравнения $x^2+x-2=0$. По теореме Виета, $x_1=-2$ и $x_2=1$. Неравенство $x^2+x-2 < 0$ выполняется для $x \in (-2, 1)$.
С учетом условия $x \ge 0$, получаем решение для этого случая: $x \in [0, 1)$.
Объединяя решения обоих случаев, получаем итоговый ответ: $(-\infty, 0) \cup [0, 1) = (-\infty, 1)$.
Ответ: $(-\infty, 1)$.

б) Решим неравенство $\sqrt{x+7} \ge x+1$. Данное неравенство равносильно совокупности двух систем.
1. Если правая часть отрицательна, $x+1 < 0$ (т.е. $x < -1$), то неравенство выполняется при всех $x$, для которых определена левая часть: $x+7 \ge 0 \Rightarrow x \ge -7$.
$\begin{cases} x < -1 \\ x \ge -7 \end{cases} \Rightarrow x \in [-7, -1)$.
2. Если правая часть неотрицательна, $x+1 \ge 0$ (т.е. $x \ge -1$), можно возвести обе части в квадрат.
$\begin{cases} x \ge -1 \\ x+7 \ge (x+1)^2 \end{cases} \Rightarrow \begin{cases} x \ge -1 \\ x+7 \ge x^2+2x+1 \end{cases} \Rightarrow \begin{cases} x \ge -1 \\ x^2+x-6 \le 0 \end{cases}$.
Корни уравнения $x^2+x-6=0$ равны $x_1=-3$ и $x_2=2$. Неравенство $x^2+x-6 \le 0$ выполняется при $x \in [-3, 2]$.
С учетом условия $x \ge -1$, получаем решение для этого случая: $x \in [-1, 2]$.
Объединяя решения обоих случаев, получаем: $[-7, -1) \cup [-1, 2] = [-7, 2]$.
Ответ: $[-7, 2]$.

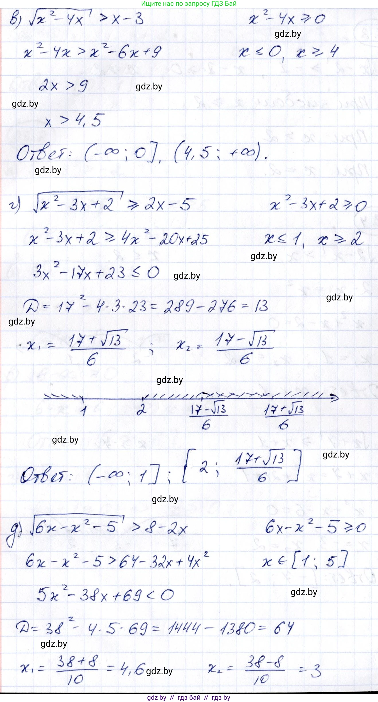
в) Решим неравенство $\sqrt{x^2-4x} > x-3$.
Область допустимых значений (ОДЗ): $x^2-4x \ge 0 \Rightarrow x(x-4) \ge 0 \Rightarrow x \in (-\infty, 0] \cup [4, +\infty)$.
Рассмотрим два случая.
1. Если $x-3 < 0$ (т.е. $x < 3$), то неравенство верно для всех $x$ из ОДЗ, удовлетворяющих этому условию.
Пересечение ОДЗ $(-\infty, 0] \cup [4, +\infty)$ и условия $x < 3$ дает $x \in (-\infty, 0]$.
2. Если $x-3 \ge 0$ (т.е. $x \ge 3$), можно возвести обе части в квадрат.
$\begin{cases} x \ge 3 \\ x \in (-\infty, 0] \cup [4, +\infty) \\ x^2-4x > (x-3)^2 \end{cases} \Rightarrow \begin{cases} x \ge 4 \\ x^2-4x > x^2-6x+9 \end{cases} \Rightarrow \begin{cases} x \ge 4 \\ 2x > 9 \end{cases} \Rightarrow \begin{cases} x \ge 4 \\ x > 4.5 \end{cases} \Rightarrow x > 4.5$.
Решение в этом случае $x \in (4.5, +\infty)$, что можно записать как $x \in (\frac{9}{2}, +\infty)$.
Объединяя решения обоих случаев, получаем: $(-\infty, 0] \cup (\frac{9}{2}, +\infty)$.
Ответ: $(-\infty, 0] \cup (\mathbf{4}\frac{1}{2}, +\infty)$.

г) Решим неравенство $\sqrt{x^2-3x+2} \ge 2x-5$.
ОДЗ: $x^2-3x+2 \ge 0 \Rightarrow (x-1)(x-2) \ge 0 \Rightarrow x \in (-\infty, 1] \cup [2, +\infty)$.
Рассмотрим два случая.
1. Если $2x-5 \le 0$ (т.е. $x \le 2.5$), неравенство верно для всех $x$ из ОДЗ.
Пересечение ОДЗ $(-\infty, 1] \cup [2, +\infty)$ и условия $x \le 2.5$ дает $x \in (-\infty, 1] \cup [2, 2.5]$.
2. Если $2x-5 > 0$ (т.е. $x > 2.5$), можно возвести обе части в квадрат.
$\begin{cases} x > 2.5 \\ x \in (-\infty, 1] \cup [2, +\infty) \\ x^2-3x+2 \ge (2x-5)^2 \end{cases} \Rightarrow \begin{cases} x > 2.5 \\ x^2-3x+2 \ge 4x^2-20x+25 \end{cases} \Rightarrow \begin{cases} x > 2.5 \\ 3x^2-17x+23 \le 0 \end{cases}$.
Корни уравнения $3x^2-17x+23=0$: $D = (-17)^2-4 \cdot 3 \cdot 23 = 13$, $x_{1,2} = \frac{17 \pm \sqrt{13}}{6}$.
Неравенство $3x^2-17x+23 \le 0$ выполняется при $x \in [\frac{17 - \sqrt{13}}{6}, \frac{17 + \sqrt{13}}{6}]$.
Поскольку $2.5 = \frac{15}{6}$ и $\sqrt{9} < \sqrt{13} < \sqrt{16}$, то $\frac{17-\sqrt{13}}{6} < \frac{17-3}{6} = \frac{14}{6} < 2.5$, а $\frac{17+\sqrt{13}}{6} > \frac{17+3}{6} = \frac{20}{6} > 2.5$.
Пересечение $[\frac{17 - \sqrt{13}}{6}, \frac{17 + \sqrt{13}}{6}]$ с условием $x > 2.5$ дает $x \in (2.5, \frac{17 + \sqrt{13}}{6}]$.
Объединяя решения из обоих случаев, получаем: $(-\infty, 1] \cup [2, 2.5] \cup (2.5, \frac{17+\sqrt{13}}{6}] = (-\infty, 1] \cup [2, \frac{17+\sqrt{13}}{6}]$.
Ответ: $(-\infty, 1] \cup [2, \frac{17+\sqrt{13}}{6}]$.

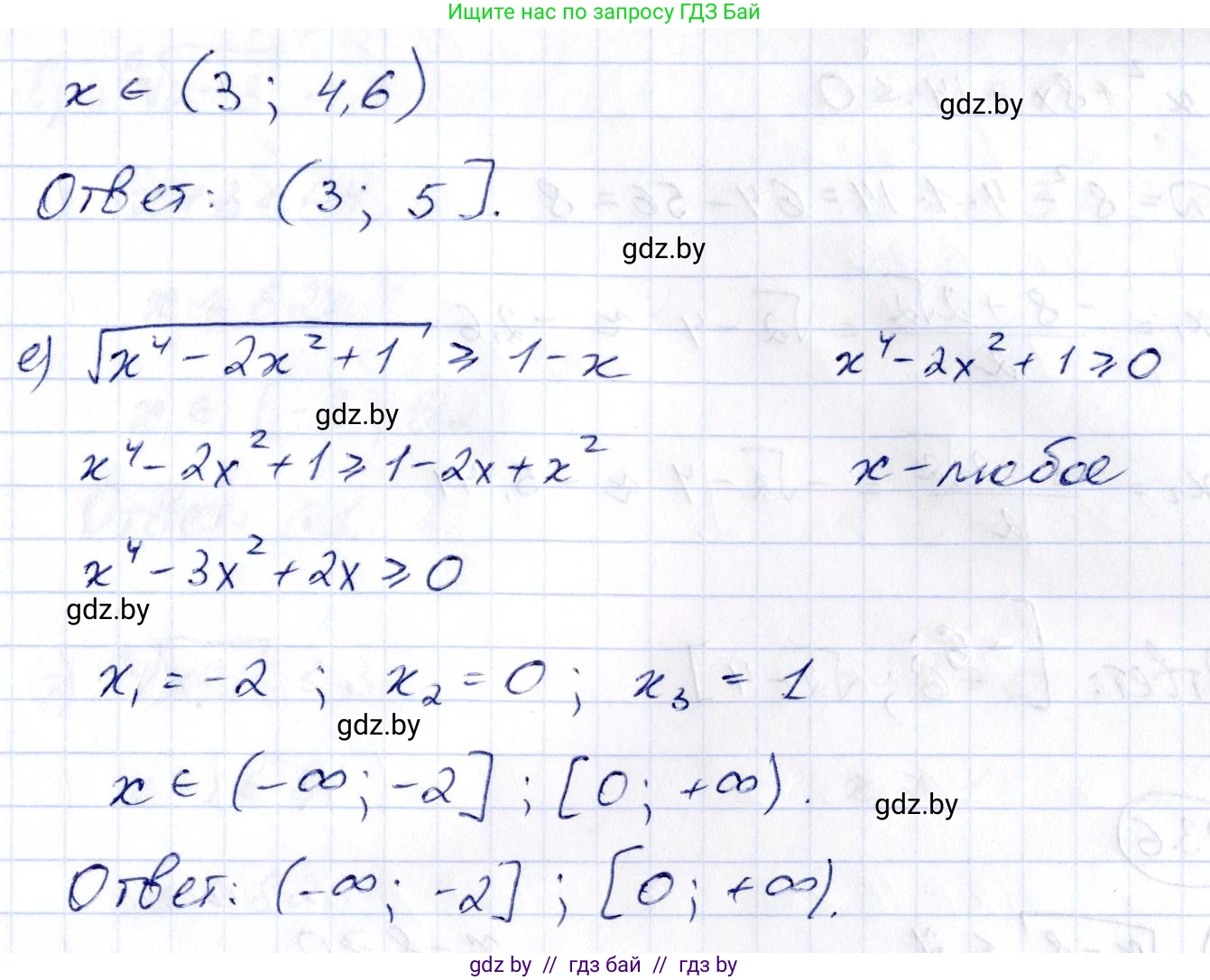
д) Решим неравенство $\sqrt{6x-x^2-5} > 8-2x$.
ОДЗ: $6x-x^2-5 \ge 0 \Rightarrow x^2-6x+5 \le 0 \Rightarrow (x-1)(x-5) \le 0 \Rightarrow x \in [1, 5]$.
Рассмотрим два случая.
1. Если $8-2x < 0$ (т.е. $x > 4$), неравенство верно для всех $x$ из ОДЗ.
Пересечение ОДЗ $[1, 5]$ и условия $x > 4$ дает $x \in (4, 5]$.
2. Если $8-2x \ge 0$ (т.е. $x \le 4$), можно возвести обе части в квадрат.
$\begin{cases} x \le 4 \\ x \in [1, 5] \\ 6x-x^2-5 > (8-2x)^2 \end{cases} \Rightarrow \begin{cases} x \in [1, 4] \\ 6x-x^2-5 > 64-32x+4x^2 \end{cases} \Rightarrow \begin{cases} x \in [1, 4] \\ 5x^2-38x+69 < 0 \end{cases}$.
Корни уравнения $5x^2-38x+69=0$: $D = (-38)^2-4 \cdot 5 \cdot 69 = 64$, $x_1 = \frac{38-8}{10}=3$, $x_2=\frac{38+8}{10}=4.6$.
Неравенство $5x^2-38x+69 < 0$ выполняется при $x \in (3, 4.6)$.
Пересечение $(3, 4.6)$ с условием $x \in [1, 4]$ дает $x \in (3, 4]$.
Объединяя решения обоих случаев, получаем: $(3, 4] \cup (4, 5] = (3, 5]$.
Ответ: $(3, 5]$.

е) Решим неравенство $\sqrt{x^4-2x^2+1} \ge 1-x$.
Подкоренное выражение является полным квадратом: $x^4-2x^2+1 = (x^2-1)^2$. Неравенство принимает вид: $\sqrt{(x^2-1)^2} \ge 1-x$, что равносильно $|x^2-1| \ge 1-x$. ОДЗ: $x \in \mathbb{R}$.
Раскроем модуль, рассмотрев два случая.
1. Если $x^2-1 \ge 0$, то есть $x \in (-\infty, -1] \cup [1, +\infty)$.
Неравенство становится $x^2-1 \ge 1-x \Rightarrow x^2+x-2 \ge 0$. Корни $x^2+x-2=0$ равны $x_1=-2$ и $x_2=1$. Решение $x \in (-\infty, -2] \cup [1, +\infty)$.
Пересекая с условием $x \in (-\infty, -1] \cup [1, +\infty)$, получаем то же самое множество: $x \in (-\infty, -2] \cup [1, +\infty)$.
2. Если $x^2-1 < 0$, то есть $x \in (-1, 1)$.
Неравенство становится $-(x^2-1) \ge 1-x \Rightarrow 1-x^2 \ge 1-x \Rightarrow x^2-x \le 0$.
Неравенство $x(x-1) \le 0$ выполняется при $x \in [0, 1]$.
Пересекая с условием $x \in (-1, 1)$, получаем $x \in [0, 1)$.
Объединяя решения из обоих случаев, получаем: $(-\infty, -2] \cup [1, +\infty) \cup [0, 1) = (-\infty, -2] \cup [0, +\infty)$.
Ответ: $(-\infty, -2] \cup [0, +\infty)$.

Помогло решение? Оставьте отзыв в комментариях ниже.

Присоединяйтесь к Телеграм-группе @gdz_by_belarus

Присоединиться

Мы подготовили для вас ответ c подробным объяснением домашего задания по алгебре за 10 класс, для упражнения номер 23.4 расположенного на странице 117 к сборнику задач 2020 года издания для учащихся школ и гимназий.

Теперь на нашем сайте ГДЗ.ТОП вы всегда легко и бесплатно найдёте условие с правильным ответом на вопрос «Как решить ДЗ» и «Как сделать» задание по алгебре к упражнению №23.4 (с. 117), авторов: Арефьева (Ирина Глебовна), Пирютко (Ольга Николаевна), базовый и повышенный уровень обучения учебного пособия издательства Народная асвета.