Номер 5, страница 53 - гдз по геометрии 9 класс учебник Казаков, Казакова
Авторы: Казаков В. В., Казакова О. О.
Тип: Учебник
Издательство: Адукацыя i выхаванне
Год издания: 2025
Цвет обложки: белый
ISBN: 978-985-03-4055-9 (2025)
Допущено Министерством образования Республики Беларусь
Популярные ГДЗ в 9 классе
Глава 1. Соотношения в прямоугольном треугольнике. Подготовка к контрольной работе 1 - номер 5, страница 53.
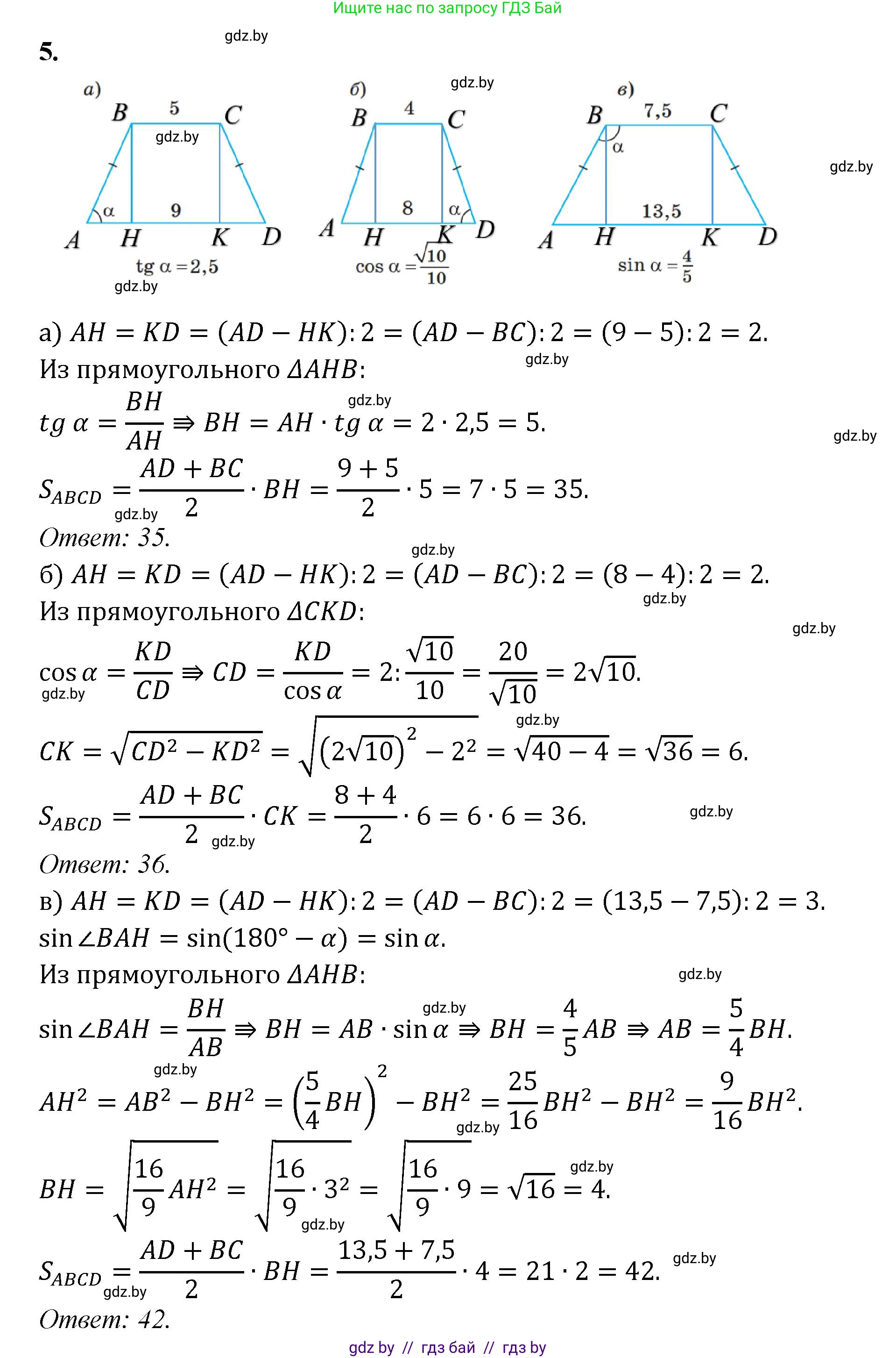
№5 (с. 53)
Условие 2025. №5 (с. 53)
Решение 2025. №5 (с. 53)
Другие задания:
Помогло решение? Оставьте отзыв в комментариях ниже.
Присоединяйтесь к Телеграм-группе @gdz_by_belarus
ПрисоединитьсяМы подготовили для вас ответ c подробным объяснением домашего задания по геометрии за 9 класс, для упражнения номер 5 расположенного на странице 53 к учебнику 2025 года издания для учащихся школ и гимназий.
Теперь на нашем сайте ГДЗ.ТОП вы всегда легко и бесплатно найдёте условие с правильным ответом на вопрос «Как решить ДЗ» и «Как сделать» задание по геометрии к упражнению №5 (с. 53), авторов: Казаков (Валерий Владимирович), Казакова (Ольга Олеговна), учебного пособия издательства Адукацыя i выхаванне.