Номер 2.397, страница 136 - гдз по алгебре 7 класс учебник Арефьева, Пирютко

Алгебра, 7 класс Учебник, авторы: Арефьева Ирина Глебовна, Пирютко Ольга Николаевна, издательство Народная асвета, Минск, 2022, зелёного цвета

Авторы: Арефьева И. Г., Пирютко О. Н.

Тип: Учебник

Издательство: Народная асвета

Год издания: 2022 - 2025

Цвет обложки: зелёный с графиком

ISBN: ISBN 978-985-03-3770-2

Допущено Министерством образования Республики Беларусь

Популярные ГДЗ в 7 классе

Глава 2. Выражения и их преобразования. Параграф 14. Разложение многочлена на множители - номер 2.397, страница 136.

№2.397 (с. 136)
Условие. №2.397 (с. 136)
скриншот условия
Алгебра, 7 класс Учебник, авторы: Арефьева Ирина Глебовна, Пирютко Ольга Николаевна, издательство Народная асвета, Минск, 2022, зелёного цвета, страница 136, номер 2.397, Условие

2.397. Разложите многочлен на множители:

a) $-x^2 + 2x - 1$;

б) $-9 - 6a - a^2$;

в) $-4a^2 + 4ab - b^2$;

г) $-25m^4 - 10m^2n - n^2$.

Решение. №2.397 (с. 136)
Алгебра, 7 класс Учебник, авторы: Арефьева Ирина Глебовна, Пирютко Ольга Николаевна, издательство Народная асвета, Минск, 2022, зелёного цвета, страница 136, номер 2.397, Решение
Решение 2. №2.397 (с. 136)

Чтобы разложить данные многочлены на множители, мы во всех случаях вынесем за скобки $-1$ и воспользуемся формулами сокращенного умножения для квадрата суммы или квадрата разности.

  • Квадрат суммы: $(a+b)^2 = a^2 + 2ab + b^2$
  • Квадрат разности: $(a-b)^2 = a^2 - 2ab + b^2$

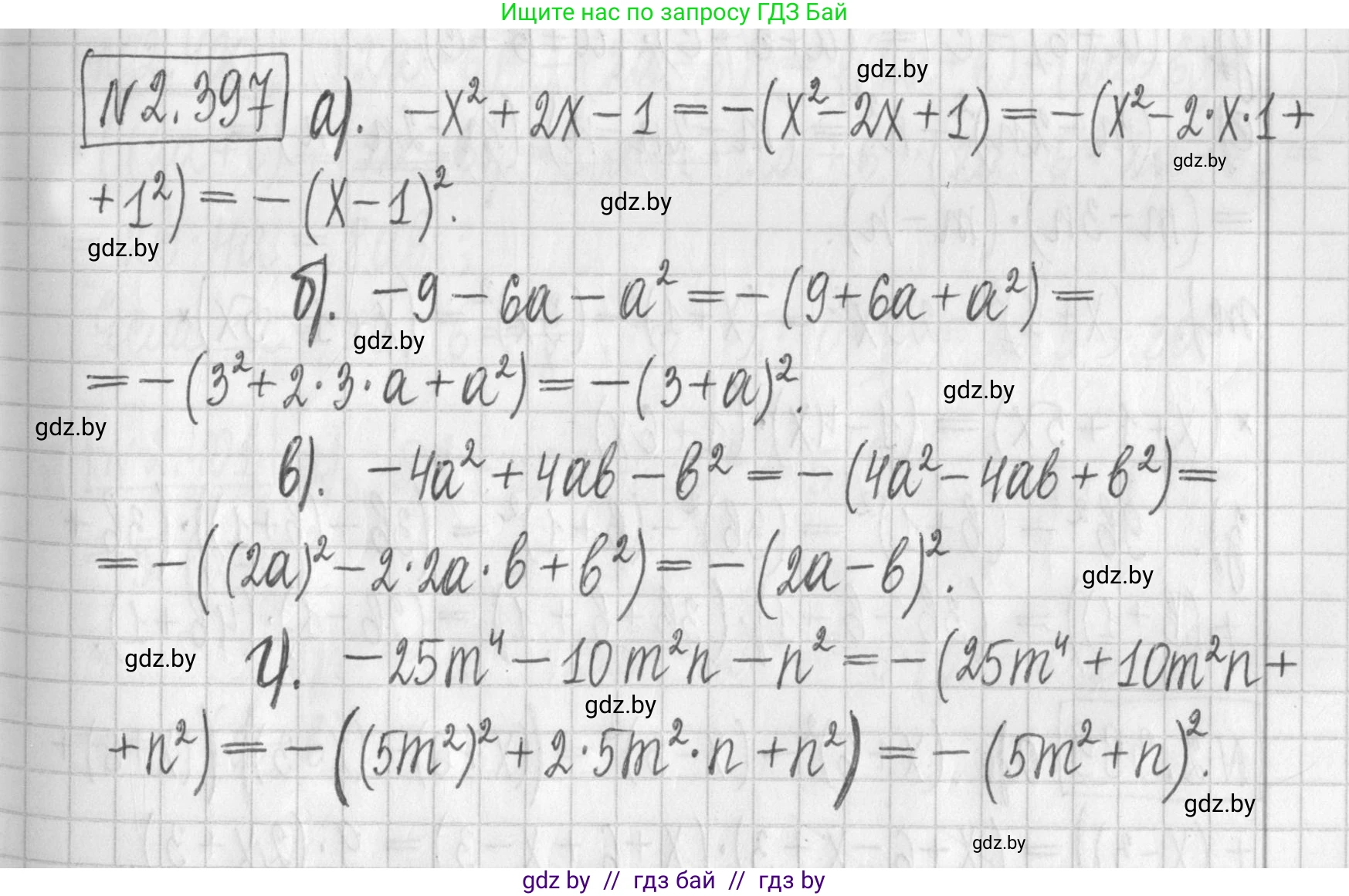
а) $-x^2 + 2x - 1$

Сначала вынесем минус за скобки, чтобы получить более узнаваемое выражение:

$-x^2 + 2x - 1 = -(x^2 - 2x + 1)$

Теперь выражение в скобках, $x^2 - 2x + 1$, представляет собой полный квадрат разности. Воспользуемся формулой $(a-b)^2 = a^2 - 2ab + b^2$, где в нашем случае $a=x$ и $b=1$.

Проверим: $a^2 = x^2$, $2ab = 2 \cdot x \cdot 1 = 2x$, $b^2 = 1^2 = 1$.

Таким образом, $x^2 - 2x + 1 = (x-1)^2$.

Следовательно, исходное выражение равно:

$-(x^2 - 2x + 1) = -(x-1)^2$

Ответ: $-(x-1)^2$

б) $-9 - 6a - a^2$

Вынесем минус за скобки и для удобства расположим слагаемые в стандартном порядке (по убыванию степеней $a$):

$-9 - 6a - a^2 = -(9 + 6a + a^2) = -(a^2 + 6a + 9)$

Выражение в скобках, $a^2 + 6a + 9$, является полным квадратом суммы. Воспользуемся формулой $(x+y)^2 = x^2 + 2xy + y^2$, где $x=a$ и $y=3$.

Проверим: $x^2 = a^2$, $2xy = 2 \cdot a \cdot 3 = 6a$, $y^2 = 3^2 = 9$.

Таким образом, $a^2 + 6a + 9 = (a+3)^2$.

Следовательно, исходное выражение равно:

$-(a^2 + 6a + 9) = -(a+3)^2$

Ответ: $-(a+3)^2$

в) $-4a^2 + 4ab - b^2$

Вынесем минус за скобки:

$-4a^2 + 4ab - b^2 = -(4a^2 - 4ab + b^2)$

Выражение в скобках, $4a^2 - 4ab + b^2$, является полным квадратом разности. Воспользуемся формулой $(x-y)^2 = x^2 - 2xy + y^2$, где $x=2a$ и $y=b$.

Проверим: $x^2 = (2a)^2 = 4a^2$, $2xy = 2 \cdot (2a) \cdot b = 4ab$, $y^2 = b^2$.

Таким образом, $4a^2 - 4ab + b^2 = (2a-b)^2$.

Следовательно, исходное выражение равно:

$-(4a^2 - 4ab + b^2) = -(2a-b)^2$

Ответ: $-(2a-b)^2$

г) $-25m^4 - 10m^2n - n^2$

Вынесем минус за скобки:

$-25m^4 - 10m^2n - n^2 = -(25m^4 + 10m^2n + n^2)$

Выражение в скобках, $25m^4 + 10m^2n + n^2$, является полным квадратом суммы. Воспользуемся формулой $(x+y)^2 = x^2 + 2xy + y^2$, где $x=5m^2$ и $y=n$.

Проверим: $x^2 = (5m^2)^2 = 25m^4$, $2xy = 2 \cdot (5m^2) \cdot n = 10m^2n$, $y^2 = n^2$.

Таким образом, $25m^4 + 10m^2n + n^2 = (5m^2+n)^2$.

Следовательно, исходное выражение равно:

$-(25m^4 + 10m^2n + n^2) = -(5m^2+n)^2$

Ответ: $-(5m^2+n)^2$

Помогло решение? Оставьте отзыв в комментариях ниже.

Присоединяйтесь к Телеграм-группе @gdz_by_belarus

Присоединиться

Мы подготовили для вас ответ c подробным объяснением домашего задания по алгебре за 7 класс, для упражнения номер 2.397 расположенного на странице 136 к учебнику 2022 года издания для учащихся школ и гимназий.

Теперь на нашем сайте ГДЗ.ТОП вы всегда легко и бесплатно найдёте условие с правильным ответом на вопрос «Как решить ДЗ» и «Как сделать» задание по алгебре к упражнению №2.397 (с. 136), авторов: Арефьева (Ирина Глебовна), Пирютко (Ольга Николаевна), учебного пособия издательства Народная асвета.