Номер 1.153, страница 32 - гдз по алгебре 7 класс учебник Арефьева, Пирютко

Алгебра, 7 класс Учебник, авторы: Арефьева Ирина Глебовна, Пирютко Ольга Николаевна, издательство Народная асвета, Минск, 2022, зелёного цвета

Авторы: Арефьева И. Г., Пирютко О. Н.

Тип: Учебник

Издательство: Народная асвета

Год издания: 2022 - 2025

Цвет обложки: зелёный с графиком

ISBN: ISBN 978-985-03-3770-2

Допущено Министерством образования Республики Беларусь

Популярные ГДЗ в 7 классе

Глава 1. Степень с натуральным и целым показателями. Параграф 2. Степень с целым показателем и ее свойства - номер 1.153, страница 32.

№1.153 (с. 32)
Условие. №1.153 (с. 32)
скриншот условия
Алгебра, 7 класс Учебник, авторы: Арефьева Ирина Глебовна, Пирютко Ольга Николаевна, издательство Народная асвета, Минск, 2022, зелёного цвета, страница 32, номер 1.153, Условие

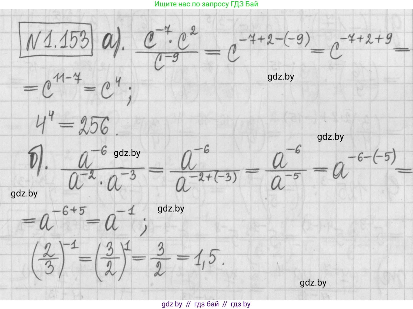
1.153. Представьте выражение:

а) $\frac{c^{-7} \cdot c^2}{c^{-9}}$ в виде степени с основанием c и найдите его значение при $c = 4$;

б) $\frac{a^{-6}}{a^{-2} \cdot a^{-3}}$ в виде степени с основанием a и найдите его значение при $a = \frac{2}{3}$.

Решение. №1.153 (с. 32)
Алгебра, 7 класс Учебник, авторы: Арефьева Ирина Глебовна, Пирютко Ольга Николаевна, издательство Народная асвета, Минск, 2022, зелёного цвета, страница 32, номер 1.153, Решение
Решение 2. №1.153 (с. 32)

а) Представьте выражение $\frac{c^{-7} \cdot c^2}{c^{-9}}$ в виде степени с основанием c и найдите его значение при c = 4;

Решение:
Для упрощения выражения воспользуемся свойствами степеней:

  1. При умножении степеней с одинаковым основанием их показатели складываются: $x^m \cdot x^n = x^{m+n}$.
  2. При делении степеней с одинаковым основанием их показатели вычитаются: $\frac{x^m}{x^n} = x^{m-n}$.

1. Упростим числитель дроби:
$c^{-7} \cdot c^2 = c^{-7+2} = c^{-5}$

2. Теперь разделим полученный результат на знаменатель:
$\frac{c^{-5}}{c^{-9}} = c^{-5 - (-9)} = c^{-5+9} = c^4$

Таким образом, выражение представлено в виде степени $c^4$.

3. Найдем значение выражения при $c=4$:
$c^4 = 4^4 = 4 \cdot 4 \cdot 4 \cdot 4 = 256$

Ответ: $c^4$; 256


б) Представьте выражение $\frac{a^{-6}}{a^{-2} \cdot a^{-3}}$ в виде степени с основанием a и найдите его значение при $a = \frac{2}{3}$.

Решение:
Используем те же свойства степеней, что и в предыдущем пункте.

1. Упростим знаменатель дроби:
$a^{-2} \cdot a^{-3} = a^{-2+(-3)} = a^{-5}$

2. Разделим числитель на полученный результат:
$\frac{a^{-6}}{a^{-5}} = a^{-6 - (-5)} = a^{-6+5} = a^{-1}$

Таким образом, выражение представлено в виде степени $a^{-1}$.

3. Найдем значение выражения при $a = \frac{2}{3}$:
$a^{-1} = (\frac{2}{3})^{-1} = \frac{1}{\frac{2}{3}} = \frac{3}{2}$

4. Преобразуем неправильную дробь в смешанное число, чтобы выделить целую часть:
$\frac{3}{2} = 1\frac{1}{2}$

Ответ: $a^{-1}$; $1\frac{1}{2}$

Помогло решение? Оставьте отзыв в комментариях ниже.

Присоединяйтесь к Телеграм-группе @gdz_by_belarus

Присоединиться

Мы подготовили для вас ответ c подробным объяснением домашего задания по алгебре за 7 класс, для упражнения номер 1.153 расположенного на странице 32 к учебнику 2022 года издания для учащихся школ и гимназий.

Теперь на нашем сайте ГДЗ.ТОП вы всегда легко и бесплатно найдёте условие с правильным ответом на вопрос «Как решить ДЗ» и «Как сделать» задание по алгебре к упражнению №1.153 (с. 32), авторов: Арефьева (Ирина Глебовна), Пирютко (Ольга Николаевна), учебного пособия издательства Народная асвета.