Номер 1.112, страница 27 - гдз по алгебре 7 класс учебник Арефьева, Пирютко

Алгебра, 7 класс Учебник, авторы: Арефьева Ирина Глебовна, Пирютко Ольга Николаевна, издательство Народная асвета, Минск, 2022, зелёного цвета

Авторы: Арефьева И. Г., Пирютко О. Н.

Тип: Учебник

Издательство: Народная асвета

Год издания: 2022 - 2025

Цвет обложки: зелёный с графиком

ISBN: ISBN 978-985-03-3770-2

Допущено Министерством образования Республики Беларусь

Популярные ГДЗ в 7 классе

Глава 1. Степень с натуральным и целым показателями. Параграф 2. Степень с целым показателем и ее свойства - номер 1.112, страница 27.

№1.112 (с. 27)
Условие. №1.112 (с. 27)
скриншот условия
Алгебра, 7 класс Учебник, авторы: Арефьева Ирина Глебовна, Пирютко Ольга Николаевна, издательство Народная асвета, Минск, 2022, зелёного цвета, страница 27, номер 1.112, Условие

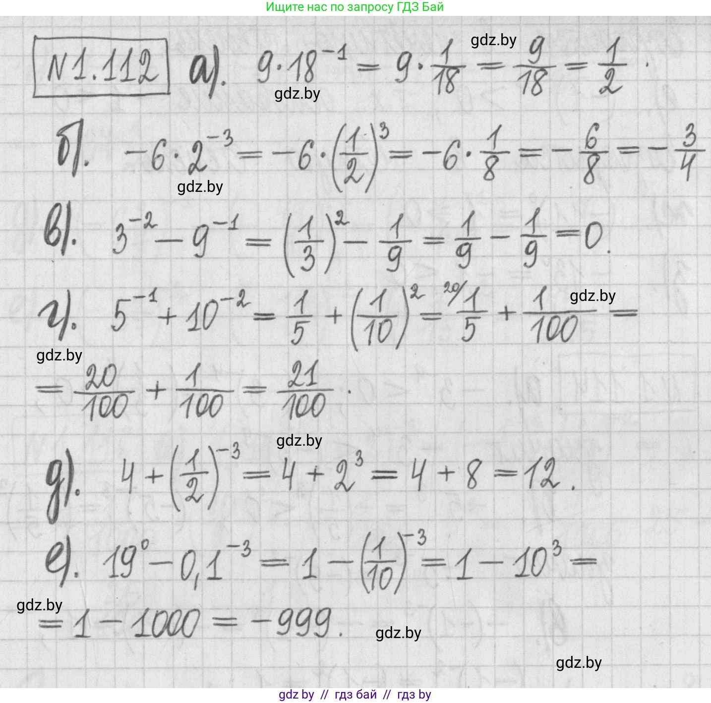
1.112. Установите порядок действий и вычислите значение выражения:

a) $9 \cdot 18^{-1}$;

б) $-6 \cdot 2^{-3}$;

в) $3^{-2} - 9^{-1}$;

г) $5^{-1} + 10^{-2}$;

д) $4 + \left(\frac{1}{2}\right)^{-3}$;

е) $19^0 - 0,1^{-3}$.

Решение. №1.112 (с. 27)
Алгебра, 7 класс Учебник, авторы: Арефьева Ирина Глебовна, Пирютко Ольга Николаевна, издательство Народная асвета, Минск, 2022, зелёного цвета, страница 27, номер 1.112, Решение
Решение 2. №1.112 (с. 27)

а) $9 \cdot 18^{-1}$

В этом выражении сначала выполняется возведение в степень, а затем умножение. Порядок действий следующий:

  1. Применяем свойство степени с отрицательным показателем $a^{-n} = \frac{1}{a^n}$:
    $18^{-1} = \frac{1}{18}$
  2. Выполняем умножение:
    $9 \cdot \frac{1}{18} = \frac{9}{18}$
  3. Сокращаем полученную дробь, разделив числитель и знаменатель на 9:
    $\frac{9}{18} = \frac{1}{2}$

Ответ: $\frac{1}{2}$

б) $-6 \cdot 2^{-3}$

Порядок действий: сначала возведение в степень, затем умножение.

  1. Вычисляем значение степени:
    $2^{-3} = \frac{1}{2^3} = \frac{1}{8}$
  2. Выполняем умножение:
    $-6 \cdot \frac{1}{8} = -\frac{6}{8}$
  3. Сокращаем дробь, разделив числитель и знаменатель на 2:
    $-\frac{6}{8} = -\frac{3}{4}$

Ответ: $-\frac{3}{4}$

в) $3^{-2} - 9^{-1}$

Порядок действий: сначала вычисляем значения степеней, затем выполняем вычитание.

  1. Вычисляем каждую степень отдельно:
    $3^{-2} = \frac{1}{3^2} = \frac{1}{9}$
    $9^{-1} = \frac{1}{9^1} = \frac{1}{9}$
  2. Выполняем вычитание:
    $\frac{1}{9} - \frac{1}{9} = 0$

Ответ: $0$

г) $5^{-1} + 10^{-2}$

Порядок действий: сначала вычисляем значения степеней, затем выполняем сложение.

  1. Вычисляем каждую степень отдельно:
    $5^{-1} = \frac{1}{5}$
    $10^{-2} = \frac{1}{10^2} = \frac{1}{100}$
  2. Для сложения приводим дроби к общему знаменателю 100:
    $\frac{1}{5} + \frac{1}{100} = \frac{1 \cdot 20}{5 \cdot 20} + \frac{1}{100} = \frac{20}{100} + \frac{1}{100} = \frac{21}{100}$

Ответ: $\frac{21}{100}$

д) $4 + (\frac{1}{2})^{-3}$

Порядок действий: сначала возведение в степень, затем сложение.

  1. Применяем свойство $(\frac{a}{b})^{-n} = (\frac{b}{a})^n$:
    $(\frac{1}{2})^{-3} = (\frac{2}{1})^3 = 2^3 = 8$
  2. Выполняем сложение:
    $4 + 8 = 12$

Ответ: $12$

е) $19^0 - 0,1^{-3}$

Порядок действий: сначала вычисляем значения степеней, затем выполняем вычитание.

  1. Любое ненулевое число в нулевой степени равно 1:
    $19^0 = 1$
  2. Представляем десятичную дробь $0,1$ в виде обыкновенной дроби $\frac{1}{10}$ и вычисляем степень:
    $0,1^{-3} = (\frac{1}{10})^{-3} = (\frac{10}{1})^3 = 10^3 = 1000$
  3. Выполняем вычитание:
    $1 - 1000 = -999$

Ответ: $-999$

Помогло решение? Оставьте отзыв в комментариях ниже.

Присоединяйтесь к Телеграм-группе @gdz_by_belarus

Присоединиться

Мы подготовили для вас ответ c подробным объяснением домашего задания по алгебре за 7 класс, для упражнения номер 1.112 расположенного на странице 27 к учебнику 2022 года издания для учащихся школ и гимназий.

Теперь на нашем сайте ГДЗ.ТОП вы всегда легко и бесплатно найдёте условие с правильным ответом на вопрос «Как решить ДЗ» и «Как сделать» задание по алгебре к упражнению №1.112 (с. 27), авторов: Арефьева (Ирина Глебовна), Пирютко (Ольга Николаевна), учебного пособия издательства Народная асвета.