Номер 28.1, страница 129 - гдз по алгебре 7-9 класс сборник задач Арефьева, Пирютко

Алгебра, 7-9 класс Сборник задач, авторы: Арефьева Ирина Глебовна, Пирютко Ольга Николаевна, издательство Народная асвета, Минск, 2020

Авторы: Арефьева И. Г., Пирютко О. Н.

Тип: Сборник задач

Издательство: Народная асвета

Год издания: 2020 - 2025

Цвет обложки: синий с графиками

Допущено Министерством образования Республики Беларусь

Популярные ГДЗ в 7 классе

8 класс. Параграф 28. Решение целых рациональных уравнений, сводящихся к квадратным уравнениям - номер 28.1, страница 129.

№28.1 (с. 129)
Условие. №28.1 (с. 129)
скриншот условия
Алгебра, 7-9 класс Сборник задач, авторы: Арефьева Ирина Глебовна, Пирютко Ольга Николаевна, издательство Народная асвета, Минск, 2020, страница 129, номер 28.1, Условие

28.1. Выполните замену переменной и решите биквадратное уравнение:

а) $x^4 - x^2 - 6 = 0$;

б) $x^4 - 6x^2 + 5 = 0$;

в) $x^4 - 8x^2 - 9 = 0$;

г) $4x^4 - 3x^2 - 1 = 0$;

д) $9x^4 - 10x^2 + 1 = 0$;

е) $8x^4 - 2x^2 + 1 = 0$.

Решение. №28.1 (с. 129)
Алгебра, 7-9 класс Сборник задач, авторы: Арефьева Ирина Глебовна, Пирютко Ольга Николаевна, издательство Народная асвета, Минск, 2020, страница 129, номер 28.1, Решение Алгебра, 7-9 класс Сборник задач, авторы: Арефьева Ирина Глебовна, Пирютко Ольга Николаевна, издательство Народная асвета, Минск, 2020, страница 129, номер 28.1, Решение (продолжение 2)
Решение 2. №28.1 (с. 129)

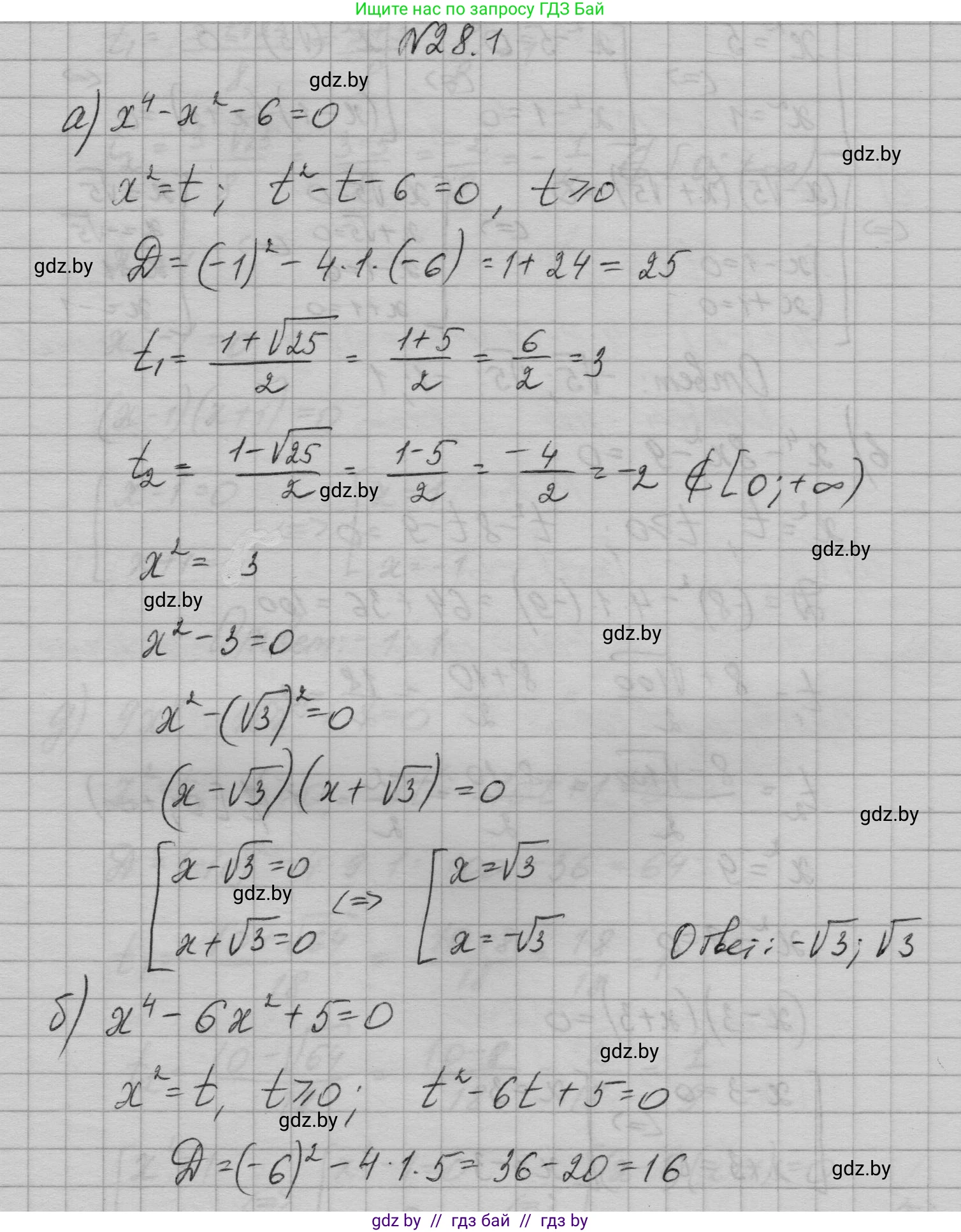
а) $x^4 - x^2 - 6 = 0$
Это биквадратное уравнение. Для его решения введем новую переменную.
Пусть $t = x^2$. Поскольку $x^2 \ge 0$ для любого действительного числа $x$, то и $t$ должно быть неотрицательным, то есть $t \ge 0$.
Подставив $t$ в исходное уравнение, получим квадратное уравнение:
$t^2 - t - 6 = 0$.
Решим его относительно $t$ с помощью дискриминанта:
$D = b^2 - 4ac = (-1)^2 - 4 \cdot 1 \cdot (-6) = 1 + 24 = 25$.
$t_1 = \frac{-b + \sqrt{D}}{2a} = \frac{1 + \sqrt{25}}{2 \cdot 1} = \frac{1 + 5}{2} = 3$.
$t_2 = \frac{-b - \sqrt{D}}{2a} = \frac{1 - \sqrt{25}}{2 \cdot 1} = \frac{1 - 5}{2} = -2$.
Теперь выполним обратную замену, учитывая условие $t \ge 0$.
Корень $t_2 = -2$ не удовлетворяет условию $t \ge 0$, поэтому он является посторонним.
Для корня $t_1 = 3$:
$x^2 = 3$
$x = \pm\sqrt{3}$.
Ответ: $\pm\sqrt{3}$.

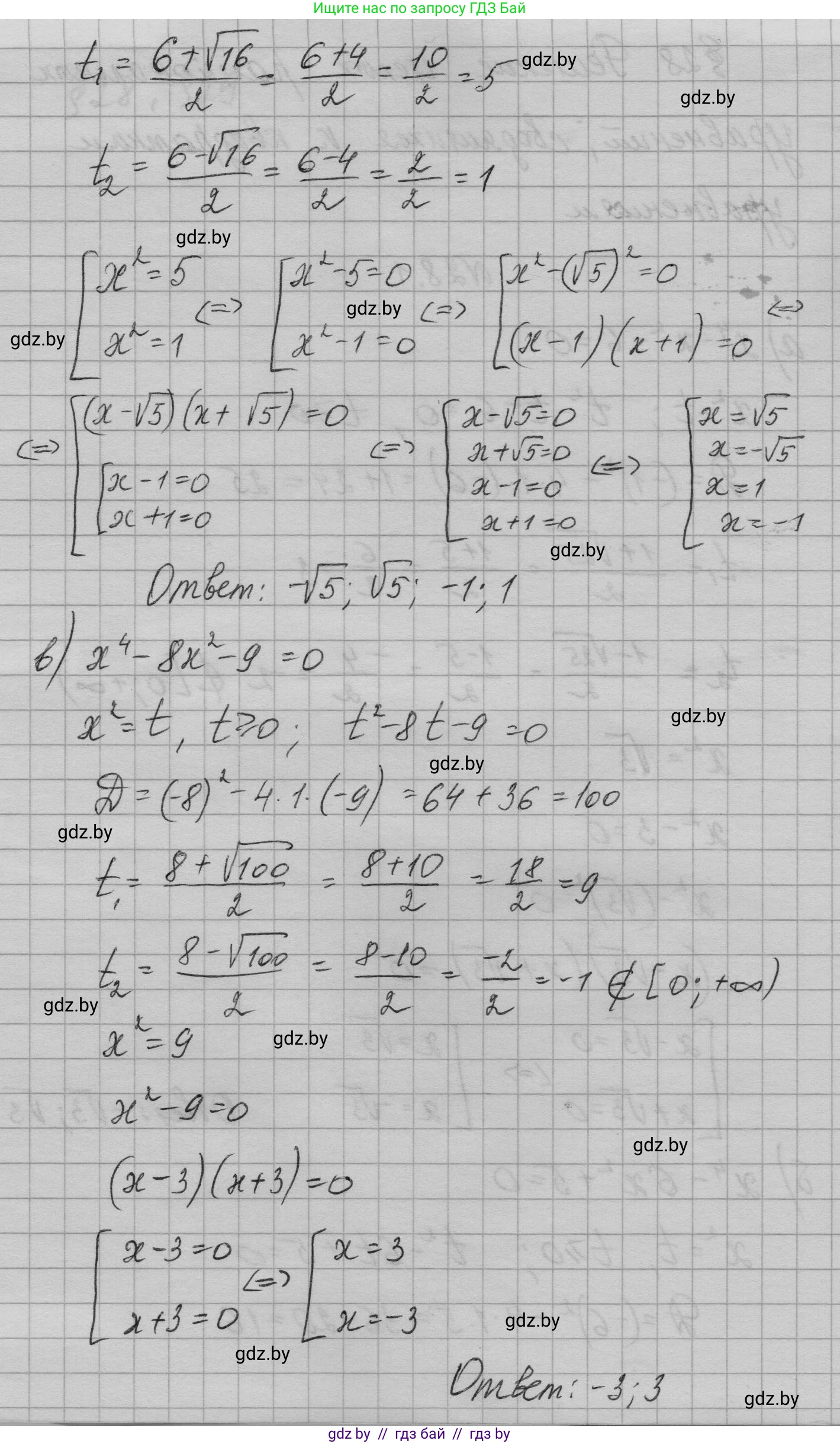
б) $x^4 - 6x^2 + 5 = 0$
Выполним замену переменной: пусть $t = x^2$, где $t \ge 0$.
Уравнение примет вид:
$t^2 - 6t + 5 = 0$.
Решим это квадратное уравнение. По теореме Виета, сумма корней равна 6, а их произведение равно 5. Следовательно, корни:
$t_1 = 5$ и $t_2 = 1$.
Оба корня удовлетворяют условию $t \ge 0$. Выполним обратную замену для каждого корня.
1) $x^2 = 5 \implies x = \pm\sqrt{5}$.
2) $x^2 = 1 \implies x = \pm\sqrt{1} = \pm 1$.
Ответ: $\pm 1; \pm\sqrt{5}$.

в) $x^4 - 8x^2 - 9 = 0$
Введем замену: $t = x^2$, где $t \ge 0$.
Получим квадратное уравнение:
$t^2 - 8t - 9 = 0$.
Найдем корни по теореме Виета: сумма корней равна 8, произведение равно -9. Корни:
$t_1 = 9$ и $t_2 = -1$.
Корень $t_2 = -1$ не удовлетворяет условию $t \ge 0$, поэтому он посторонний.
Выполним обратную замену для $t_1 = 9$:
$x^2 = 9$
$x = \pm\sqrt{9} = \pm 3$.
Ответ: $\pm 3$.

г) $4x^4 - 3x^2 - 1 = 0$
Произведем замену переменной: $t = x^2$, при условии $t \ge 0$.
Уравнение сводится к квадратному:
$4t^2 - 3t - 1 = 0$.
Решим его через дискриминант:
$D = (-3)^2 - 4 \cdot 4 \cdot (-1) = 9 + 16 = 25$.
$t_1 = \frac{3 + \sqrt{25}}{2 \cdot 4} = \frac{3 + 5}{8} = 1$.
$t_2 = \frac{3 - \sqrt{25}}{2 \cdot 4} = \frac{3 - 5}{8} = -\frac{2}{8} = -\frac{1}{4}$.
Корень $t_2 = -1/4$ не удовлетворяет условию $t \ge 0$.
Для корня $t_1 = 1$ делаем обратную замену:
$x^2 = 1$
$x = \pm 1$.
Ответ: $\pm 1$.

д) $9x^4 - 10x^2 + 1 = 0$
Пусть $t = x^2$, где $t \ge 0$.
Получаем квадратное уравнение:
$9t^2 - 10t + 1 = 0$.
Найдем корни. Так как сумма коэффициентов $9 - 10 + 1 = 0$, то один из корней равен 1, а второй $c/a$.
$t_1 = 1$.
$t_2 = \frac{1}{9}$.
Оба корня положительные. Выполним обратную замену:
1) $x^2 = 1 \implies x = \pm 1$.
2) $x^2 = \frac{1}{9} \implies x = \pm\sqrt{\frac{1}{9}} = \pm\frac{1}{3}$.
Ответ: $\pm 1; \pm\frac{1}{3}$.

е) $8x^4 - 2x^2 + 1 = 0$
Сделаем замену $t = x^2$, где $t \ge 0$.
Уравнение примет вид:
$8t^2 - 2t + 1 = 0$.
Найдем дискриминант этого квадратного уравнения:
$D = (-2)^2 - 4 \cdot 8 \cdot 1 = 4 - 32 = -28$.
Поскольку дискриминант $D < 0$, квадратное уравнение не имеет действительных корней для $t$.
Следовательно, и исходное биквадратное уравнение не имеет действительных корней.
Ответ: корней нет.

Помогло решение? Оставьте отзыв в комментариях ниже.

Присоединяйтесь к Телеграм-группе @gdz_by_belarus

Присоединиться

Мы подготовили для вас ответ c подробным объяснением домашего задания по алгебре за 7-9 класс, для упражнения номер 28.1 расположенного на странице 129 к сборнику задач 2020 года издания для учащихся школ и гимназий.

Теперь на нашем сайте ГДЗ.ТОП вы всегда легко и бесплатно найдёте условие с правильным ответом на вопрос «Как решить ДЗ» и «Как сделать» задание по алгебре к упражнению №28.1 (с. 129), авторов: Арефьева (Ирина Глебовна), Пирютко (Ольга Николаевна), учебного пособия издательства Народная асвета.