Номер 1.8, страница 7 - гдз по алгебре 7-9 класс сборник задач Арефьева, Пирютко

Алгебра, 7-9 класс Сборник задач, авторы: Арефьева Ирина Глебовна, Пирютко Ольга Николаевна, издательство Народная асвета, Минск, 2020

Авторы: Арефьева И. Г., Пирютко О. Н.

Тип: Сборник задач

Издательство: Народная асвета

Год издания: 2020 - 2025

Цвет обложки: синий с графиками

Допущено Министерством образования Республики Беларусь

Популярные ГДЗ в 7 классе

7 класс. Параграф 1. Степень с натуральным показателем и ее свойства - номер 1.8, страница 7.

№1.8 (с. 7)
Условие. №1.8 (с. 7)
скриншот условия
Алгебра, 7-9 класс Сборник задач, авторы: Арефьева Ирина Глебовна, Пирютко Ольга Николаевна, издательство Народная асвета, Минск, 2020, страница 7, номер 1.8, Условие

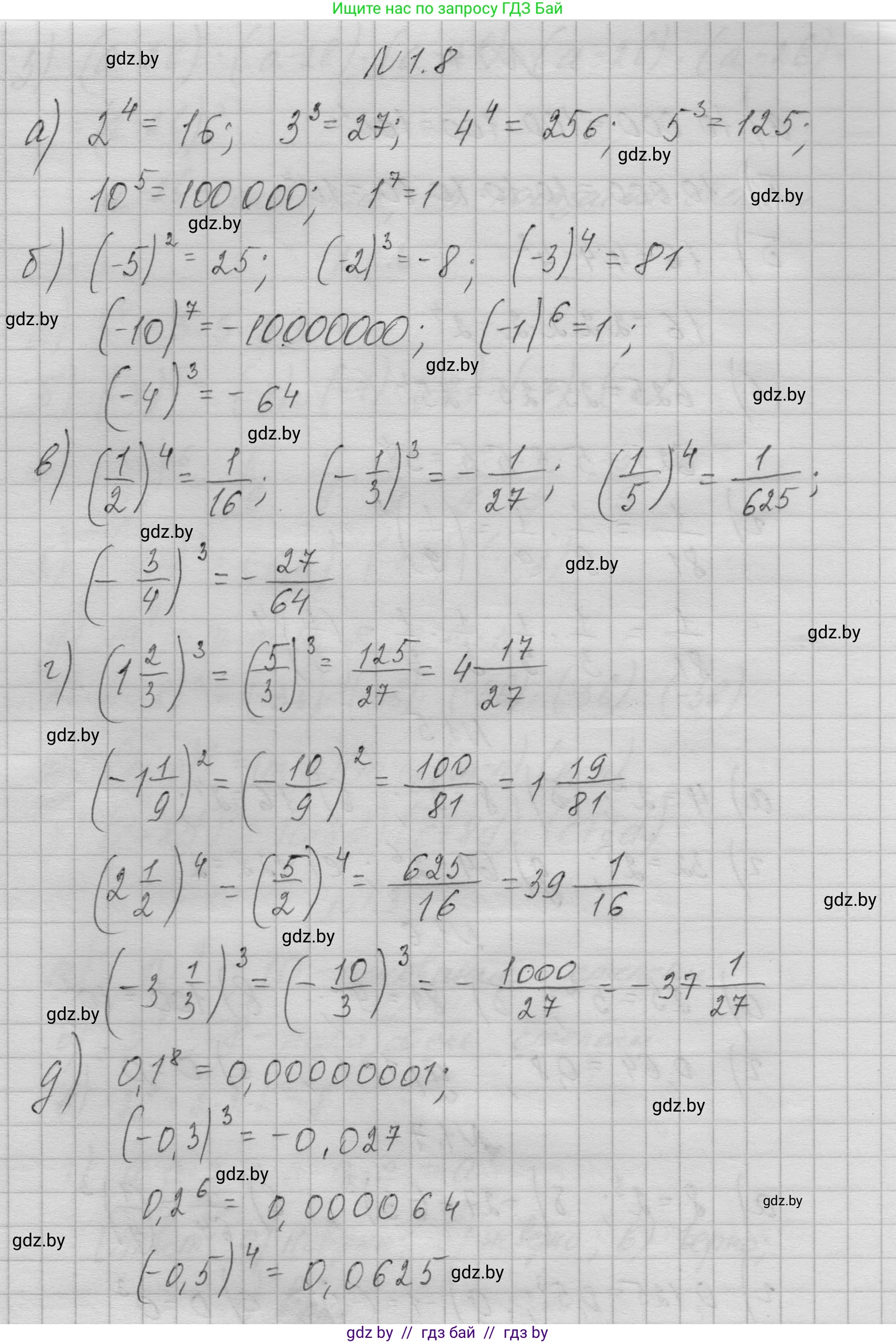
1.8. Найдите значения степеней:

а) $2^4$; $3^3$; $4^4$; $5^3$; $10^5$; $1^7$;

б) $(-5)^2$; $(-2)^3$; $(-3)^4$; $(-10)^7$; $(-1)^6$; $(-4)^3$;

в) $\left(\frac{1}{2}\right)^4$; $\left(-\frac{1}{3}\right)^3$; $\left(\frac{1}{5}\right)^4$; $\left(-\frac{3}{4}\right)^3$;

г) $\left(1\frac{2}{3}\right)^3$; $\left(-1\frac{1}{9}\right)^2$; $\left(2\frac{1}{2}\right)^4$; $\left(-3\frac{1}{3}\right)^3$;

д) $0.1^8$; $(-0.3)^3$; $0.2^6$; $(-0.5)^4$;

е) $1.5^3$; $(-2.5)^4$; $1.1^2$; $(-1.2)^3$.

Решение. №1.8 (с. 7)
Алгебра, 7-9 класс Сборник задач, авторы: Арефьева Ирина Глебовна, Пирютко Ольга Николаевна, издательство Народная асвета, Минск, 2020, страница 7, номер 1.8, Решение Алгебра, 7-9 класс Сборник задач, авторы: Арефьева Ирина Глебовна, Пирютко Ольга Николаевна, издательство Народная асвета, Минск, 2020, страница 7, номер 1.8, Решение (продолжение 2)
Решение 2. №1.8 (с. 7)

а) $2^4 = 2 \cdot 2 \cdot 2 \cdot 2 = 16$;
$3^3 = 3 \cdot 3 \cdot 3 = 27$;
$4^4 = 4 \cdot 4 \cdot 4 \cdot 4 = 16 \cdot 16 = 256$;
$5^3 = 5 \cdot 5 \cdot 5 = 125$;
$10^5 = 100000$;
$1^7 = 1$, так как единица в любой степени равна единице.
Ответ: 16; 27; 256; 125; 100000; 1.

б) При возведении отрицательного числа в четную степень результат будет положительным, а в нечетную – отрицательным.
$(-5)^2 = 5^2 = 25$;
$(-2)^3 = -(2^3) = -8$;
$(-3)^4 = 3^4 = 81$;
$(-10)^7 = -(10^7) = -10000000$;
$(-1)^6 = 1^6 = 1$;
$(-4)^3 = -(4^3) = -64$.
Ответ: 25; -8; 81; -10000000; 1; -64.

в) Чтобы возвести дробь в степень, нужно возвести в эту степень ее числитель и знаменатель.
$(\frac{1}{2})^4 = \frac{1^4}{2^4} = \frac{1}{16}$;
$(-\frac{1}{3})^3 = -\frac{1^3}{3^3} = -\frac{1}{27}$;
$(\frac{1}{5})^4 = \frac{1^4}{5^4} = \frac{1}{625}$;
$(-\frac{3}{4})^3 = -\frac{3^3}{4^3} = -\frac{27}{64}$.
Ответ: $\frac{1}{16}$; $-\frac{1}{27}$; $\frac{1}{625}$; $-\frac{27}{64}$.

г) Сначала преобразуем смешанные числа в неправильные дроби.
$(1\frac{2}{3})^3 = (\frac{1 \cdot 3 + 2}{3})^3 = (\frac{5}{3})^3 = \frac{5^3}{3^3} = \frac{125}{27}$;
$(-1\frac{1}{9})^2 = ( - \frac{1 \cdot 9 + 1}{9})^2 = (-\frac{10}{9})^2 = \frac{10^2}{9^2} = \frac{100}{81}$;
$(2\frac{1}{2})^4 = (\frac{2 \cdot 2 + 1}{2})^4 = (\frac{5}{2})^4 = \frac{5^4}{2^4} = \frac{625}{16}$;
$(-3\frac{1}{3})^3 = ( - \frac{3 \cdot 3 + 1}{3})^3 = (-\frac{10}{3})^3 = -\frac{10^3}{3^3} = -\frac{1000}{27}$.
Ответ: $\frac{125}{27}$; $\frac{100}{81}$; $\frac{625}{16}$; $-\frac{1000}{27}$.

д) Для возведения десятичных дробей в степень можно представить их в виде обыкновенных дробей или выполнять умножение "в столбик".
$0,1^8 = (\frac{1}{10})^8 = \frac{1}{100000000} = 0,00000001$;
$(-0,3)^3 = -(0,3)^3 = -(0,3 \cdot 0,3 \cdot 0,3) = -0,027$;
$0,2^6 = (0,2^2)^3 = (0,04)^3 = 0,04 \cdot 0,04 \cdot 0,04 = 0,000064$;
$(-0,5)^4 = (0,5)^4 = (\frac{1}{2})^4 = \frac{1}{16} = 0,0625$.
Ответ: 0,00000001; -0,027; 0,000064; 0,0625.

е) Выполним вычисления с десятичными дробями.
$1,5^3 = 1,5 \cdot 1,5 \cdot 1,5 = 2,25 \cdot 1,5 = 3,375$;
$(-2,5)^4 = (2,5)^4 = (2,5^2)^2 = (6,25)^2 = 39,0625$;
$1,1^2 = 1,1 \cdot 1,1 = 1,21$;
$(-1,2)^3 = -(1,2)^3 = -(1,2 \cdot 1,2 \cdot 1,2) = -(1,44 \cdot 1,2) = -1,728$.
Ответ: 3,375; 39,0625; 1,21; -1,728.

Помогло решение? Оставьте отзыв в комментариях ниже.

Присоединяйтесь к Телеграм-группе @gdz_by_belarus

Присоединиться

Мы подготовили для вас ответ c подробным объяснением домашего задания по алгебре за 7-9 класс, для упражнения номер 1.8 расположенного на странице 7 к сборнику задач 2020 года издания для учащихся школ и гимназий.

Теперь на нашем сайте ГДЗ.ТОП вы всегда легко и бесплатно найдёте условие с правильным ответом на вопрос «Как решить ДЗ» и «Как сделать» задание по алгебре к упражнению №1.8 (с. 7), авторов: Арефьева (Ирина Глебовна), Пирютко (Ольга Николаевна), учебного пособия издательства Народная асвета.