Номер 22.19, страница 101 - гдз по алгебре 7-9 класс сборник задач Арефьева, Пирютко

Алгебра, 7-9 класс Сборник задач, авторы: Арефьева Ирина Глебовна, Пирютко Ольга Николаевна, издательство Народная асвета, Минск, 2020

Авторы: Арефьева И. Г., Пирютко О. Н.

Тип: Сборник задач

Издательство: Народная асвета

Год издания: 2020 - 2025

Цвет обложки: синий с графиками

Допущено Министерством образования Республики Беларусь

Популярные ГДЗ в 7 классе

8 класс. Параграф 22. Свойства квадратных корней - номер 22.19, страница 101.

№22.19 (с. 101)
Условие. №22.19 (с. 101)
скриншот условия
Алгебра, 7-9 класс Сборник задач, авторы: Арефьева Ирина Глебовна, Пирютко Ольга Николаевна, издательство Народная асвета, Минск, 2020, страница 101, номер 22.19, Условие

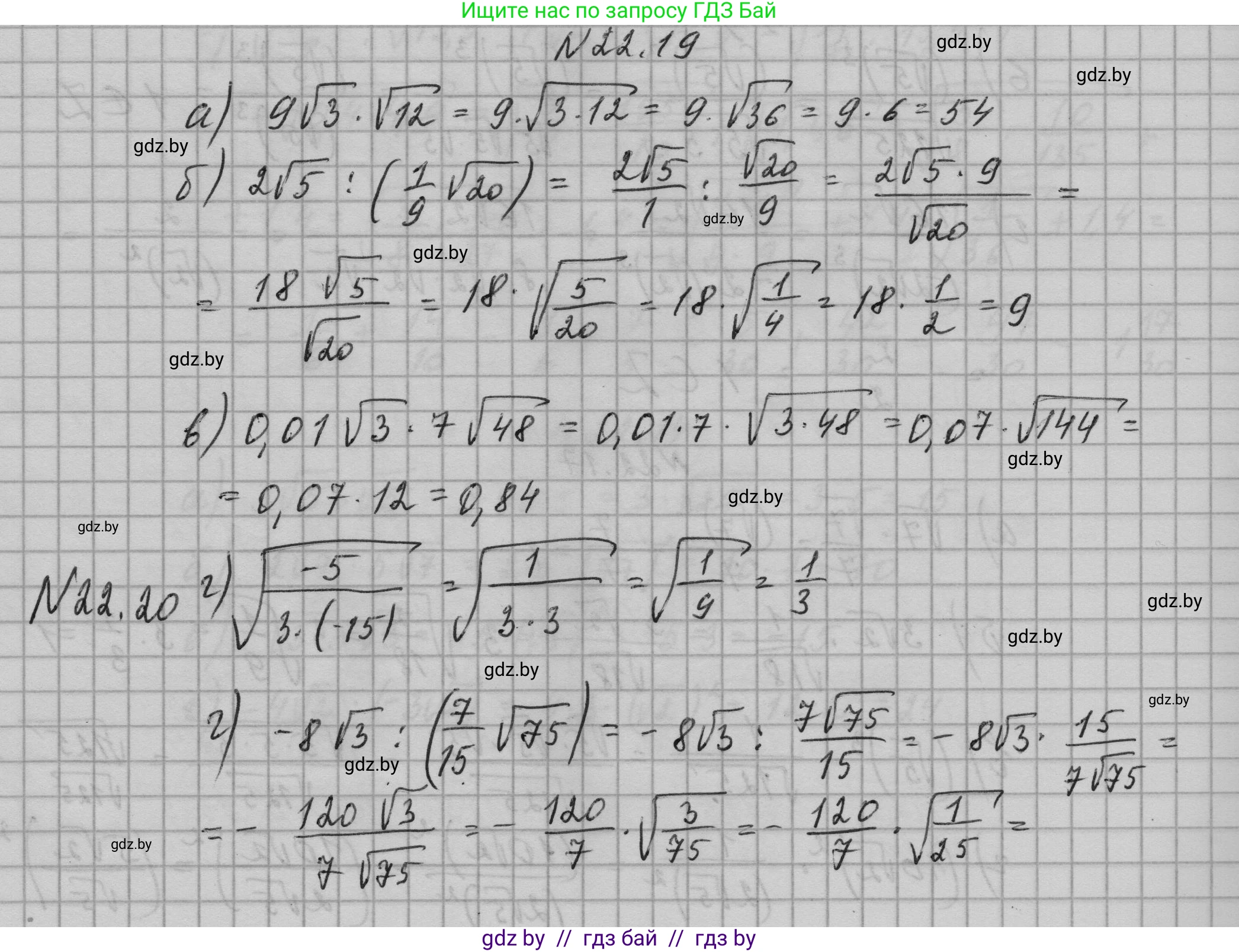
22.19. Вычислите:

а) $9\sqrt{3} \cdot \sqrt{12};$

б) $2\sqrt{5} : \left(\frac{1}{9}\sqrt{20}\right);$

в) $0,01\sqrt{3} \cdot 7\sqrt{48};$

г) $-8\sqrt{3} : \left(\frac{7}{15}\sqrt{75}\right).$

Решение. №22.19 (с. 101)
Алгебра, 7-9 класс Сборник задач, авторы: Арефьева Ирина Глебовна, Пирютко Ольга Николаевна, издательство Народная асвета, Минск, 2020, страница 101, номер 22.19, Решение Алгебра, 7-9 класс Сборник задач, авторы: Арефьева Ирина Глебовна, Пирютко Ольга Николаевна, издательство Народная асвета, Минск, 2020, страница 101, номер 22.19, Решение (продолжение 2)
Решение 2. №22.19 (с. 101)

а) Чтобы вычислить произведение $9\sqrt{3} \cdot \sqrt{12}$, воспользуемся свойством умножения корней $\sqrt{a} \cdot \sqrt{b} = \sqrt{ab}$.
$9\sqrt{3} \cdot \sqrt{12} = 9 \cdot \sqrt{3 \cdot 12} = 9 \cdot \sqrt{36}$.
Так как квадратный корень из 36 равен 6, получаем:
$9 \cdot 6 = 54$.
Ответ: 54

б) Рассмотрим выражение $2\sqrt{5} : \left(\frac{1}{9}\sqrt{20}\right)$. Сначала упростим делитель.
Упростим корень в делителе: $\sqrt{20} = \sqrt{4 \cdot 5} = \sqrt{4} \cdot \sqrt{5} = 2\sqrt{5}$.
Теперь весь делитель равен $\frac{1}{9} \cdot 2\sqrt{5} = \frac{2\sqrt{5}}{9}$.
Выполним деление, заменив его умножением на обратную дробь:
$2\sqrt{5} : \frac{2\sqrt{5}}{9} = 2\sqrt{5} \cdot \frac{9}{2\sqrt{5}}$.
Сократим одинаковые множители $2\sqrt{5}$ в числителе и знаменателе:
$\frac{2\sqrt{5} \cdot 9}{2\sqrt{5}} = 9$.
Ответ: 9

в) Вычислим $0,01\sqrt{3} \cdot 7\sqrt{48}$. Сгруппируем числовые коэффициенты и корни отдельно:
$(0,01 \cdot 7) \cdot (\sqrt{3} \cdot \sqrt{48}) = 0,07 \cdot \sqrt{3 \cdot 48}$.
Вычислим произведение под корнем: $3 \cdot 48 = 144$.
Выражение принимает вид $0,07 \cdot \sqrt{144}$.
Так как $\sqrt{144} = 12$, то:
$0,07 \cdot 12 = 0,84$.
Ответ: 0,84

г) Рассмотрим выражение $-8\sqrt{3} : \left(\frac{7}{15}\sqrt{75}\right)$. Упростим выражение в скобках (делитель).
Упростим корень: $\sqrt{75} = \sqrt{25 \cdot 3} = \sqrt{25} \cdot \sqrt{3} = 5\sqrt{3}$.
Теперь делитель равен $\frac{7}{15} \cdot 5\sqrt{3} = \frac{7 \cdot 5}{15}\sqrt{3} = \frac{35}{15}\sqrt{3}$. Сократим дробь $\frac{35}{15}$ на 5, получим $\frac{7}{3}$. Таким образом, делитель равен $\frac{7\sqrt{3}}{3}$.
Выполним деление, заменив его умножением на обратную дробь:
$-8\sqrt{3} : \frac{7\sqrt{3}}{3} = -8\sqrt{3} \cdot \frac{3}{7\sqrt{3}}$.
Сократим $\sqrt{3}$:
$-8 \cdot \frac{3}{7} = -\frac{24}{7}$.
Ответ: $-\frac{24}{7}$

Помогло решение? Оставьте отзыв в комментариях ниже.

Присоединяйтесь к Телеграм-группе @gdz_by_belarus

Присоединиться

Мы подготовили для вас ответ c подробным объяснением домашего задания по алгебре за 7-9 класс, для упражнения номер 22.19 расположенного на странице 101 к сборнику задач 2020 года издания для учащихся школ и гимназий.

Теперь на нашем сайте ГДЗ.ТОП вы всегда легко и бесплатно найдёте условие с правильным ответом на вопрос «Как решить ДЗ» и «Как сделать» задание по алгебре к упражнению №22.19 (с. 101), авторов: Арефьева (Ирина Глебовна), Пирютко (Ольга Николаевна), учебного пособия издательства Народная асвета.