Номер 37.34, страница 189 - гдз по алгебре 7-9 класс сборник задач Арефьева, Пирютко

Алгебра, 7-9 класс Сборник задач, авторы: Арефьева Ирина Глебовна, Пирютко Ольга Николаевна, издательство Народная асвета, Минск, 2020

Авторы: Арефьева И. Г., Пирютко О. Н.

Тип: Сборник задач

Издательство: Народная асвета

Год издания: 2020 - 2025

Цвет обложки: синий с графиками

Допущено Министерством образования Республики Беларусь

Популярные ГДЗ в 7 классе

9 класс. Параграф 37. Системы нелинейных уравнений - номер 37.34, страница 189.

№37.34 (с. 189)
Условие. №37.34 (с. 189)
скриншот условия
Алгебра, 7-9 класс Сборник задач, авторы: Арефьева Ирина Глебовна, Пирютко Ольга Николаевна, издательство Народная асвета, Минск, 2020, страница 189, номер 37.34, Условие

37.34*. Решите систему уравнений:

a) $$\begin{cases} xy + 2x + 2y = 5, \\ x^2 + y^2 + 3x + 3y = 8; \end{cases}$$

б) $$\begin{cases} x + \frac{1}{y} = 4, \\ x^2 + \frac{x}{y} + \frac{1}{y^2} = 13; \end{cases}$$

B) $$\begin{cases} y^2 - x - 5 = 0, \\ \frac{1}{y-1} - \frac{1}{y+1} = \frac{1}{x}. \end{cases}$$

$$x^2 + \frac{1}{y^2} = \frac{1}{y} + x.$$

Решение. №37.34 (с. 189)
Алгебра, 7-9 класс Сборник задач, авторы: Арефьева Ирина Глебовна, Пирютко Ольга Николаевна, издательство Народная асвета, Минск, 2020, страница 189, номер 37.34, Решение Алгебра, 7-9 класс Сборник задач, авторы: Арефьева Ирина Глебовна, Пирютко Ольга Николаевна, издательство Народная асвета, Минск, 2020, страница 189, номер 37.34, Решение (продолжение 2)
Решение 2. №37.34 (с. 189)

а)

Дана система уравнений:
$ \begin{cases} xy + 2x + 2y = 5, \\ x^2 + y^2 + 3x + 3y = 8 \end{cases} $

Эта система является симметрической, так как при замене $x$ на $y$ и $y$ на $x$ уравнения не меняются. Для решения таких систем удобно использовать замену через элементарные симметрические многочлены: $u = x+y$ и $v = xy$.

Преобразуем первое уравнение: $xy + 2(x+y) = 5$. В новых переменных оно примет вид: $v + 2u = 5$.

Преобразуем второе уравнение: $x^2 + y^2 + 3(x+y) = 8$. Используя тождество $x^2 + y^2 = (x+y)^2 - 2xy = u^2 - 2v$, получим:
$(u^2 - 2v) + 3u = 8$.

Теперь решим систему уравнений относительно $u$ и $v$:
$ \begin{cases} v + 2u = 5, \\ u^2 - 2v + 3u = 8 \end{cases} $

Из первого уравнения выразим $v$: $v = 5 - 2u$.
Подставим это выражение во второе уравнение:
$u^2 - 2(5 - 2u) + 3u = 8$
$u^2 - 10 + 4u + 3u = 8$
$u^2 + 7u - 18 = 0$

Решим полученное квадратное уравнение для $u$. По теореме Виета, его корни $u_1 = 2$ и $u_2 = -9$. Рассмотрим два случая.

Случай 1: $u = 2$.
Находим $v = 5 - 2u = 5 - 2(2) = 1$.
Возвращаемся к исходным переменным, решая систему:
$ \begin{cases} x+y = 2, \\ xy = 1 \end{cases} $
По обратной теореме Виета, $x$ и $y$ являются корнями квадратного уравнения $t^2 - 2t + 1 = 0$, или $(t-1)^2 = 0$.
Уравнение имеет один корень $t=1$. Следовательно, $x=1$ и $y=1$.

Случай 2: $u = -9$.
Находим $v = 5 - 2u = 5 - 2(-9) = 5 + 18 = 23$.
Получаем систему:
$ \begin{cases} x+y = -9, \\ xy = 23 \end{cases} $
Переменные $x$ и $y$ являются корнями уравнения $t^2 - (-9)t + 23 = 0$, то есть $t^2 + 9t + 23 = 0$.
Дискриминант этого уравнения $D = 9^2 - 4 \cdot 1 \cdot 23 = 81 - 92 = -11$.
Так как $D < 0$, уравнение не имеет действительных корней, значит, в этом случае система не имеет решений в действительных числах.

Таким образом, система имеет единственное решение.

Ответ: $(1, 1)$.

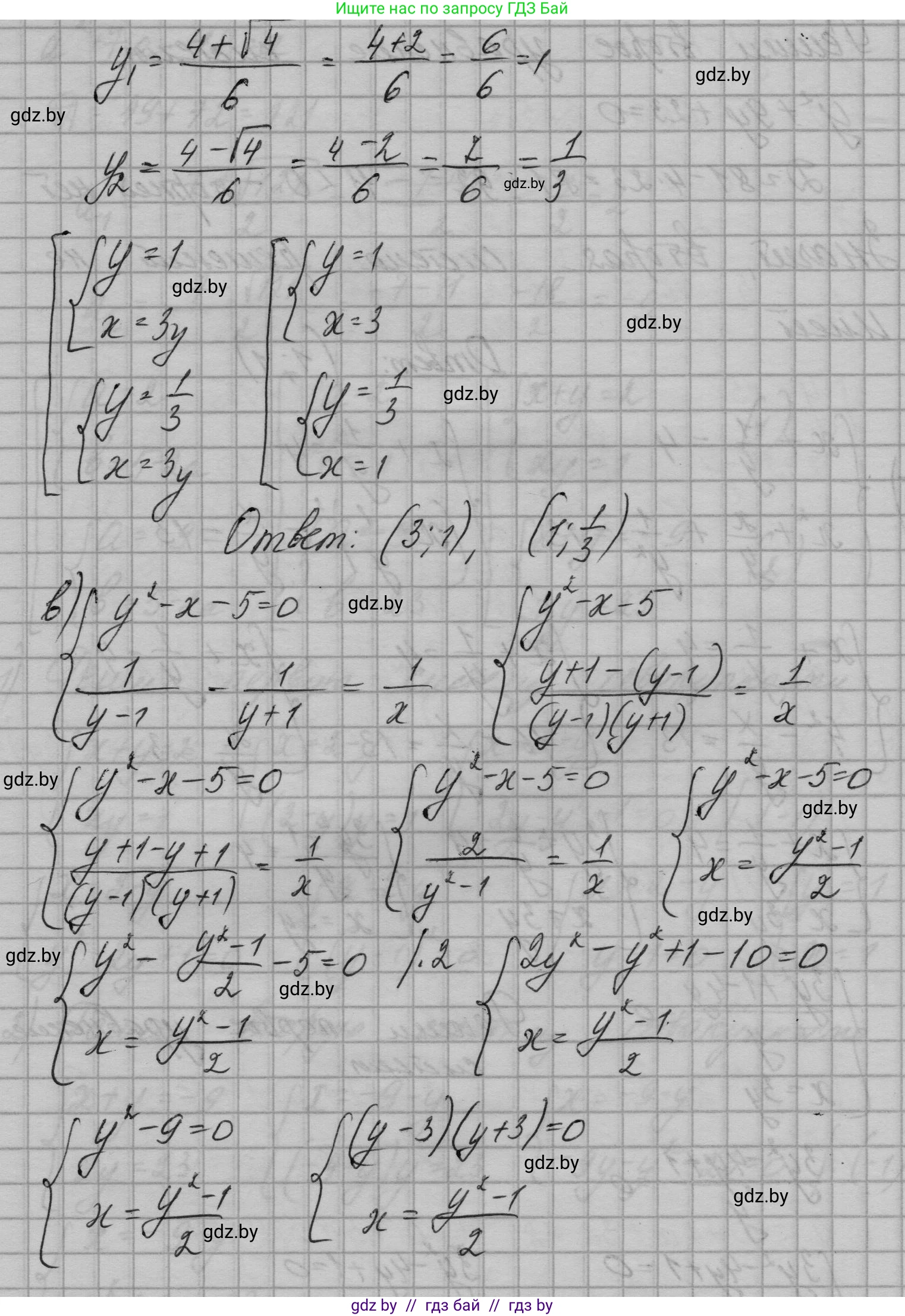
б)

Дана система уравнений:
$ \begin{cases} x + \frac{1}{y} = 4, \\ x^2 + \frac{x}{y} + \frac{1}{y^2} = 13 \end{cases} $

Очевидно, что $y \neq 0$. Возведем обе части первого уравнения в квадрат:
$(x + \frac{1}{y})^2 = 4^2$
$x^2 + 2 \cdot x \cdot \frac{1}{y} + (\frac{1}{y})^2 = 16$
$x^2 + \frac{2x}{y} + \frac{1}{y^2} = 16$

Рассмотрим полученное уравнение вместе со вторым уравнением исходной системы:
$ \begin{cases} x^2 + \frac{2x}{y} + \frac{1}{y^2} = 16 \\ x^2 + \frac{x}{y} + \frac{1}{y^2} = 13 \end{cases} $

Вычтем второе уравнение из первого:
$(x^2 + \frac{2x}{y} + \frac{1}{y^2}) - (x^2 + \frac{x}{y} + \frac{1}{y^2}) = 16 - 13$
$\frac{x}{y} = 3$, откуда $x = 3y$.

Подставим выражение $x = 3y$ в первое уравнение исходной системы:
$3y + \frac{1}{y} = 4$
Умножим обе части уравнения на $y$:
$3y^2 + 1 = 4y$
$3y^2 - 4y + 1 = 0$

Решим полученное квадратное уравнение. Дискриминант $D = (-4)^2 - 4 \cdot 3 \cdot 1 = 16 - 12 = 4$.
Корни уравнения:
$y_1 = \frac{4 + \sqrt{4}}{2 \cdot 3} = \frac{4+2}{6} = 1$
$y_2 = \frac{4 - \sqrt{4}}{2 \cdot 3} = \frac{4-2}{6} = \frac{1}{3}$

Найдем соответствующие значения $x$, используя $x=3y$:
Если $y_1=1$, то $x_1 = 3 \cdot 1 = 3$. Получаем решение $(3, 1)$.
Если $y_2=\frac{1}{3}$, то $x_2 = 3 \cdot \frac{1}{3} = 1$. Получаем решение $(1, \frac{1}{3})$.

Ответ: $(3, 1)$, $(1, \frac{1}{3})$.

в)

Дана система уравнений:
$ \begin{cases} y^2 - x - 5 = 0, \\ \frac{1}{y-1} - \frac{1}{y+1} = \frac{1}{x} \end{cases} $

Найдем область допустимых значений (ОДЗ). Из знаменателей дробей следует, что $y \neq 1$, $y \neq -1$ и $x \neq 0$.

Упростим второе уравнение, приведя дроби в левой части к общему знаменателю:
$\frac{(y+1) - (y-1)}{(y-1)(y+1)} = \frac{1}{x}$
$\frac{y+1-y+1}{y^2-1} = \frac{1}{x}$
$\frac{2}{y^2-1} = \frac{1}{x}$
По свойству пропорции, $y^2 - 1 = 2x$.

Теперь система выглядит проще:
$ \begin{cases} y^2 - x - 5 = 0 \\ y^2 - 1 = 2x \end{cases} $

Из первого уравнения выразим $y^2$: $y^2 = x+5$.
Подставим это во второе уравнение:
$(x+5) - 1 = 2x$
$x+4 = 2x$
$x = 4$

Найдем $y$, подставив значение $x=4$ в выражение $y^2 = x+5$:
$y^2 = 4 + 5 = 9$
Отсюда $y = \pm\sqrt{9}$, то есть $y_1 = 3$ и $y_2 = -3$.

Проверим, удовлетворяют ли найденные значения ОДЗ ($y \neq \pm 1, x \neq 0$).
Пара $(4, 3)$: $x=4 \neq 0$, $y=3 \neq \pm 1$. Удовлетворяет.
Пара $(4, -3)$: $x=4 \neq 0$, $y=-3 \neq \pm 1$. Удовлетворяет.
Обе пары входят в ОДЗ, следовательно, являются решениями.

Ответ: $(4, 3)$, $(4, -3)$.

Помогло решение? Оставьте отзыв в комментариях ниже.

Присоединяйтесь к Телеграм-группе @gdz_by_belarus

Присоединиться

Мы подготовили для вас ответ c подробным объяснением домашего задания по алгебре за 7-9 класс, для упражнения номер 37.34 расположенного на странице 189 к сборнику задач 2020 года издания для учащихся школ и гимназий.

Теперь на нашем сайте ГДЗ.ТОП вы всегда легко и бесплатно найдёте условие с правильным ответом на вопрос «Как решить ДЗ» и «Как сделать» задание по алгебре к упражнению №37.34 (с. 189), авторов: Арефьева (Ирина Глебовна), Пирютко (Ольга Николаевна), учебного пособия издательства Народная асвета.