Номер 36.34, страница 182 - гдз по алгебре 7-9 класс сборник задач Арефьева, Пирютко

Алгебра, 7-9 класс Сборник задач, авторы: Арефьева Ирина Глебовна, Пирютко Ольга Николаевна, издательство Народная асвета, Минск, 2020

Авторы: Арефьева И. Г., Пирютко О. Н.

Тип: Сборник задач

Издательство: Народная асвета

Год издания: 2020 - 2025

Цвет обложки: синий с графиками

Допущено Министерством образования Республики Беларусь

Популярные ГДЗ в 7 классе

9 класс. Параграф 36. Дробно-рациональные уравнения - номер 36.34, страница 182.

№36.34 (с. 182)
Условие. №36.34 (с. 182)
скриншот условия
Алгебра, 7-9 класс Сборник задач, авторы: Арефьева Ирина Глебовна, Пирютко Ольга Николаевна, издательство Народная асвета, Минск, 2020, страница 182, номер 36.34, Условие

36.34. Решите уравнение:

а) $ \frac{9x+9}{2x^2+7x+5} = 2x+5; $

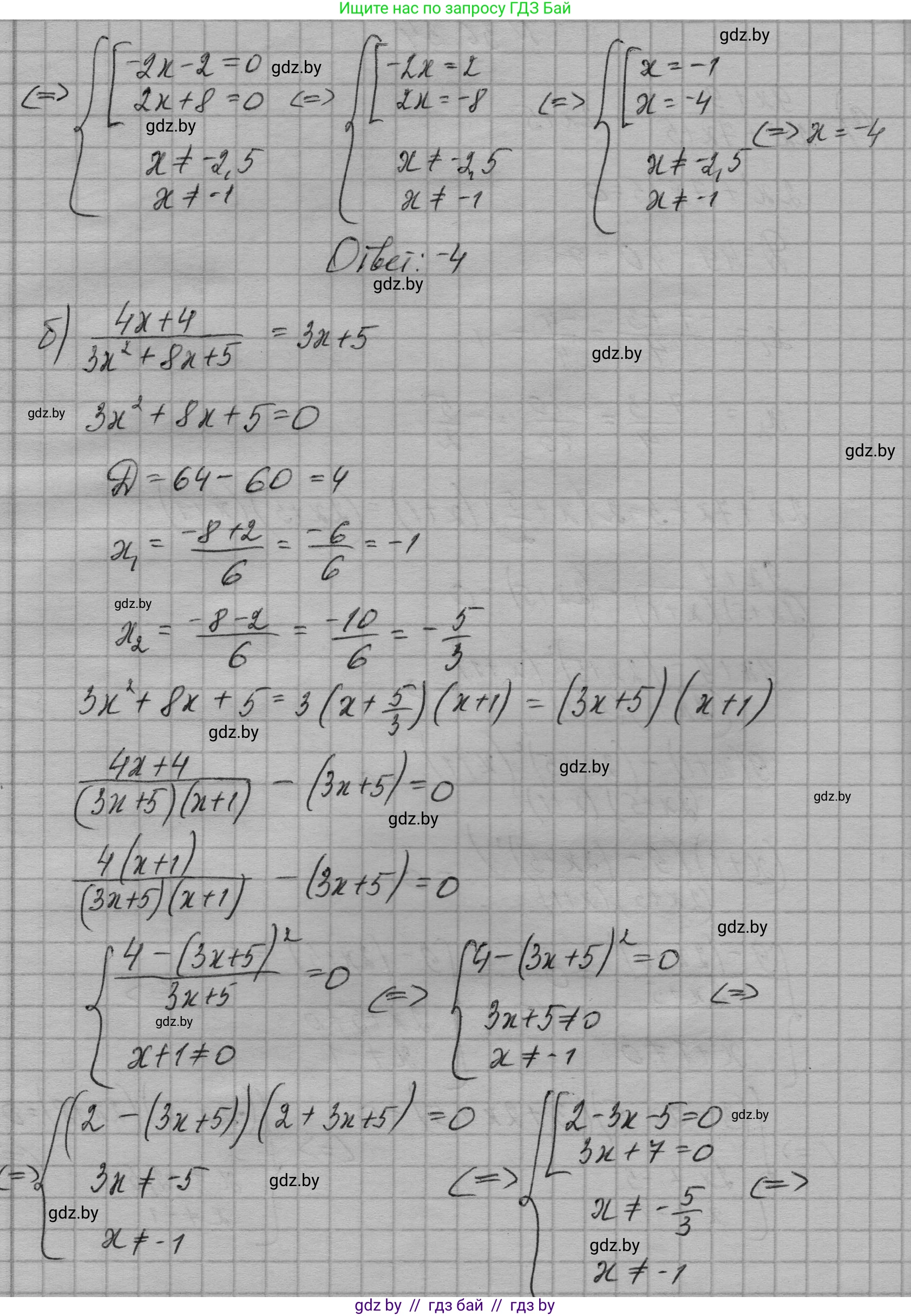
б) $ \frac{4x+4}{3x^2+8x+5} = 3x+5. $

Решение. №36.34 (с. 182)
Алгебра, 7-9 класс Сборник задач, авторы: Арефьева Ирина Глебовна, Пирютко Ольга Николаевна, издательство Народная асвета, Минск, 2020, страница 182, номер 36.34, Решение Алгебра, 7-9 класс Сборник задач, авторы: Арефьева Ирина Глебовна, Пирютко Ольга Николаевна, издательство Народная асвета, Минск, 2020, страница 182, номер 36.34, Решение (продолжение 2)
Решение 2. №36.34 (с. 182)

а)

Исходное уравнение:

$$ \frac{9x + 9}{2x^2 + 7x + 5} = 2x + 5 $$

Сначала найдем область допустимых значений (ОДЗ), исключив значения $x$, при которых знаменатель равен нулю.

$2x^2 + 7x + 5 = 0$

Найдем корни этого квадратного уравнения с помощью дискриминанта $D = b^2 - 4ac$.

$D = 7^2 - 4 \cdot 2 \cdot 5 = 49 - 40 = 9 = 3^2$

$x_{1,2} = \frac{-7 \pm \sqrt{9}}{2 \cdot 2} = \frac{-7 \pm 3}{4}$

$x_1 = \frac{-7 - 3}{4} = \frac{-10}{4} = -2.5$

$x_2 = \frac{-7 + 3}{4} = \frac{-4}{4} = -1$

Таким образом, ОДЗ: $x \neq -2.5$ и $x \neq -1$.

Разложим знаменатель на множители: $2x^2 + 7x + 5 = 2(x + 2.5)(x + 1) = (2x + 5)(x + 1)$.

Также разложим на множители числитель: $9x + 9 = 9(x+1)$.

Перепишем уравнение:

$$ \frac{9(x + 1)}{(2x + 5)(x + 1)} = 2x + 5 $$

При условии, что $x+1 \neq 0$ (т.е. $x \neq -1$, что уже учтено в ОДЗ), мы можем сократить дробь на $(x+1)$:

$$ \frac{9}{2x + 5} = 2x + 5 $$

Теперь умножим обе части уравнения на $(2x+5)$, при условии что $2x+5 \neq 0$ (т.е. $x \neq -2.5$, что также учтено в ОДЗ).

$9 = (2x+5)^2$

Извлечем квадратный корень из обеих частей:

$2x+5 = \pm\sqrt{9}$

$2x+5 = \pm 3$

Рассмотрим два случая:

1) $2x + 5 = 3 \implies 2x = -2 \implies x = -1$

2) $2x + 5 = -3 \implies 2x = -8 \implies x = -4$

Проверим полученные корни на соответствие ОДЗ ($x \neq -2.5$ и $x \neq -1$).

Корень $x = -1$ является посторонним, так как он обращает в ноль знаменатель исходного уравнения.

Корень $x = -4$ удовлетворяет ОДЗ.

Ответ: $-4$.

б)

Исходное уравнение:

$$ \frac{4x + 4}{3x^2 + 8x + 5} = 3x + 5 $$

Найдем область допустимых значений (ОДЗ), исключив значения $x$, при которых знаменатель равен нулю.

$3x^2 + 8x + 5 = 0$

Найдем корни этого квадратного уравнения с помощью дискриминанта $D = b^2 - 4ac$.

$D = 8^2 - 4 \cdot 3 \cdot 5 = 64 - 60 = 4 = 2^2$

$x_{1,2} = \frac{-8 \pm \sqrt{4}}{2 \cdot 3} = \frac{-8 \pm 2}{6}$

$x_1 = \frac{-8 - 2}{6} = \frac{-10}{6} = -\frac{5}{3}$

$x_2 = \frac{-8 + 2}{6} = \frac{-6}{6} = -1$

Таким образом, ОДЗ: $x \neq -5/3$ и $x \neq -1$.

Разложим знаменатель на множители: $3x^2 + 8x + 5 = 3(x + 5/3)(x + 1) = (3x + 5)(x + 1)$.

Также разложим на множители числитель: $4x + 4 = 4(x+1)$.

Перепишем уравнение:

$$ \frac{4(x + 1)}{(3x + 5)(x + 1)} = 3x + 5 $$

При условии, что $x+1 \neq 0$ (т.е. $x \neq -1$, что уже учтено в ОДЗ), мы можем сократить дробь на $(x+1)$:

$$ \frac{4}{3x + 5} = 3x + 5 $$

Теперь умножим обе части уравнения на $(3x+5)$, при условии что $3x+5 \neq 0$ (т.е. $x \neq -5/3$, что также учтено в ОДЗ).

$4 = (3x+5)^2$

Извлечем квадратный корень из обеих частей:

$3x+5 = \pm\sqrt{4}$

$3x+5 = \pm 2$

Рассмотрим два случая:

1) $3x + 5 = 2 \implies 3x = -3 \implies x = -1$

2) $3x + 5 = -2 \implies 3x = -7 \implies x = -7/3$

Проверим полученные корни на соответствие ОДЗ ($x \neq -5/3$ и $x \neq -1$).

Корень $x = -1$ является посторонним, так как он обращает в ноль знаменатель исходного уравнения.

Корень $x = -7/3$ удовлетворяет ОДЗ.

Ответ: $-\frac{7}{3}$.

Помогло решение? Оставьте отзыв в комментариях ниже.

Присоединяйтесь к Телеграм-группе @gdz_by_belarus

Присоединиться

Мы подготовили для вас ответ c подробным объяснением домашего задания по алгебре за 7-9 класс, для упражнения номер 36.34 расположенного на странице 182 к сборнику задач 2020 года издания для учащихся школ и гимназий.

Теперь на нашем сайте ГДЗ.ТОП вы всегда легко и бесплатно найдёте условие с правильным ответом на вопрос «Как решить ДЗ» и «Как сделать» задание по алгебре к упражнению №36.34 (с. 182), авторов: Арефьева (Ирина Глебовна), Пирютко (Ольга Николаевна), учебного пособия издательства Народная асвета.