Номер 34.10, страница 166 - гдз по алгебре 7-9 класс сборник задач Арефьева, Пирютко

Алгебра, 7-9 класс Сборник задач, авторы: Арефьева Ирина Глебовна, Пирютко Ольга Николаевна, издательство Народная асвета, Минск, 2020

Авторы: Арефьева И. Г., Пирютко О. Н.

Тип: Сборник задач

Издательство: Народная асвета

Год издания: 2020 - 2025

Цвет обложки: синий с графиками

Допущено Министерством образования Республики Беларусь

Популярные ГДЗ в 7 классе

9 класс. Параграф 34. Преобразования рациональных выражений - номер 34.10, страница 166.

№34.10 (с. 166)
Условие. №34.10 (с. 166)
скриншот условия
Алгебра, 7-9 класс Сборник задач, авторы: Арефьева Ирина Глебовна, Пирютко Ольга Николаевна, издательство Народная асвета, Минск, 2020, страница 166, номер 34.10, Условие

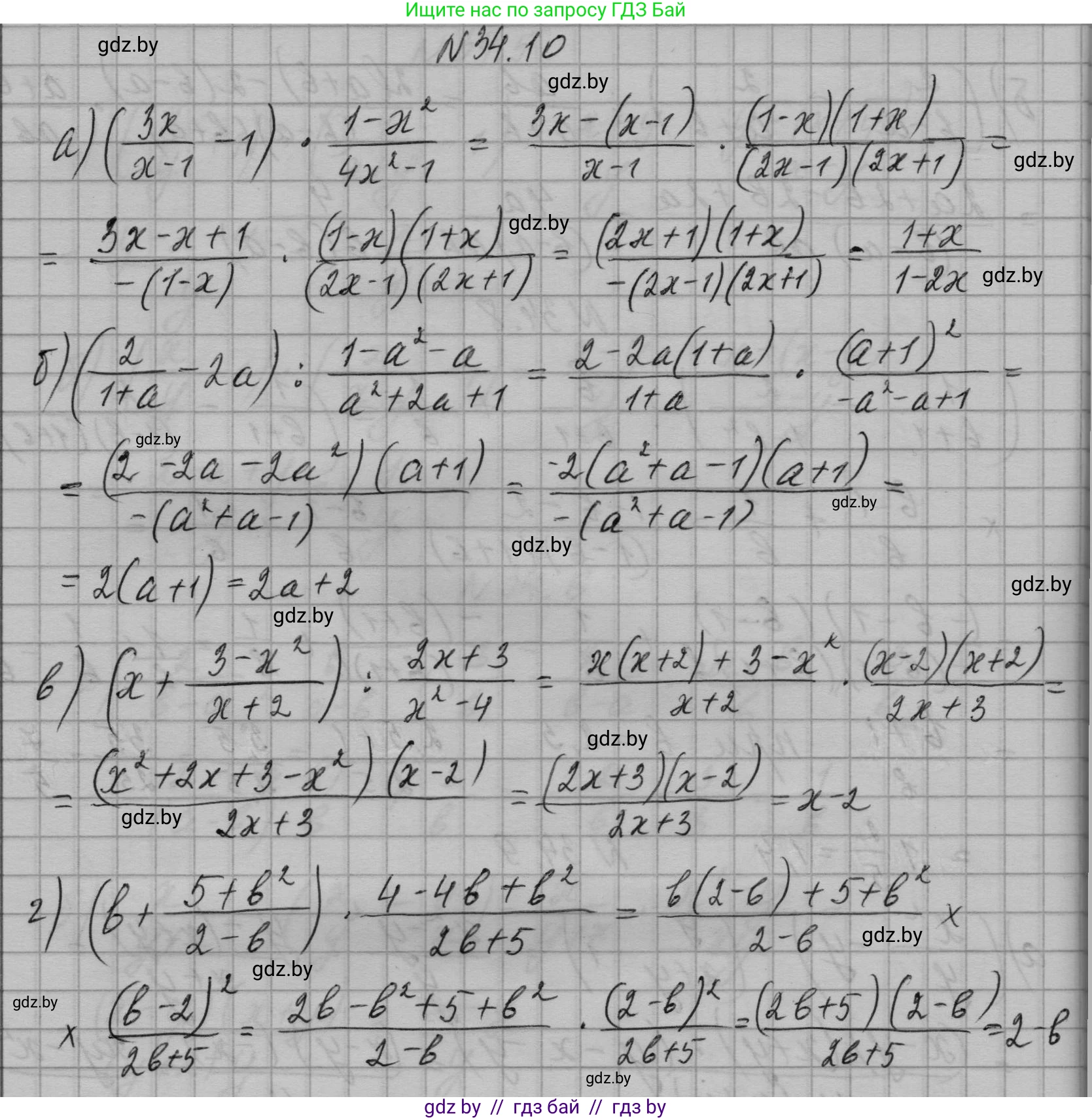
34.10. Выполните действия:

а) $\left(\frac{3x}{x-1} - 1\right) \cdot \frac{1-x^2}{4x^2-1};$

б) $\left(\frac{2}{1+a} - 2a\right) : \frac{1-a^2-a}{a^2+2a+1};$

в) $\left(x + \frac{3-x^2}{x+2}\right) : \frac{2x+3}{x^2-4};$

г) $\left(b + \frac{5+b^2}{2-b}\right) \cdot \frac{4-4b+b^2}{2b+5}.$

Решение. №34.10 (с. 166)
Алгебра, 7-9 класс Сборник задач, авторы: Арефьева Ирина Глебовна, Пирютко Ольга Николаевна, издательство Народная асвета, Минск, 2020, страница 166, номер 34.10, Решение
Решение 2. №34.10 (с. 166)

а) Сначала выполним вычитание в скобках, приведя выражение к общему знаменателю $x-1$:
$\frac{3x}{x-1} - 1 = \frac{3x}{x-1} - \frac{x-1}{x-1} = \frac{3x - (x-1)}{x-1} = \frac{3x - x + 1}{x-1} = \frac{2x+1}{x-1}$
Теперь разложим на множители числитель и знаменатель второй дроби, используя формулу разности квадратов $a^2-b^2=(a-b)(a+b)$:
$1-x^2 = (1-x)(1+x)$
$4x^2-1 = (2x)^2 - 1^2 = (2x-1)(2x+1)$
Теперь выполним умножение полученных выражений. Заметим, что $1-x = -(x-1)$.
$\left(\frac{3x}{x-1} - 1\right) \cdot \frac{1-x^2}{4x^2-1} = \frac{2x+1}{x-1} \cdot \frac{(1-x)(1+x)}{(2x-1)(2x+1)} = \frac{2x+1}{x-1} \cdot \frac{-(x-1)(1+x)}{(2x-1)(2x+1)}$
Сократим общие множители $(x-1)$ и $(2x+1)$:
$\frac{\cancel{2x+1}}{\cancel{x-1}} \cdot \frac{-\cancel{(x-1)}(1+x)}{(2x-1)\cancel{(2x+1)}} = \frac{-(1+x)}{2x-1} = -\frac{x+1}{2x-1}$
Ответ: $-\frac{x+1}{2x-1}$

б) Сначала упростим выражение в скобках, приведя его к общему знаменателю $1+a$:
$\frac{2}{1+a} - 2a = \frac{2}{1+a} - \frac{2a(1+a)}{1+a} = \frac{2 - 2a - 2a^2}{1+a} = \frac{2(1-a-a^2)}{1+a}$
Теперь заменим деление на умножение на обратную дробь и разложим знаменатель второй дроби на множители по формуле квадрата суммы $a^2+2ab+b^2=(a+b)^2$:
$a^2+2a+1 = (a+1)^2$
$\left(\frac{2}{1+a} - 2a\right) : \frac{1-a^2-a}{a^2+2a+1} = \frac{2(1-a-a^2)}{1+a} \cdot \frac{a^2+2a+1}{1-a^2-a} = \frac{2(1-a-a^2)}{1+a} \cdot \frac{(a+1)^2}{1-a^2-a}$
Сократим общие множители $(1-a-a^2)$ и $(1+a)$:
$\frac{2\cancel{(1-a-a^2)}}{\cancel{1+a}} \cdot \frac{(a+1)^{\cancel{2}}}{\cancel{1-a^2-a}} = 2(a+1)$
Ответ: $2(a+1)$

в) Упростим выражение в скобках, приведя его к общему знаменателю $x+2$:
$x + \frac{3-x^2}{x+2} = \frac{x(x+2)}{x+2} + \frac{3-x^2}{x+2} = \frac{x^2+2x+3-x^2}{x+2} = \frac{2x+3}{x+2}$
Заменим деление на умножение на обратную дробь и разложим $x^2-4$ по формуле разности квадратов:
$\left(x + \frac{3-x^2}{x+2}\right) : \frac{2x+3}{x^2-4} = \frac{2x+3}{x+2} \cdot \frac{x^2-4}{2x+3} = \frac{2x+3}{x+2} \cdot \frac{(x-2)(x+2)}{2x+3}$
Сократим общие множители $(2x+3)$ и $(x+2)$:
$\frac{\cancel{2x+3}}{\cancel{x+2}} \cdot \frac{(x-2)\cancel{(x+2)}}{\cancel{2x+3}} = x-2$
Ответ: $x-2$

г) Упростим выражение в скобках, приведя его к общему знаменателю $2-b$:
$b + \frac{5+b^2}{2-b} = \frac{b(2-b)}{2-b} + \frac{5+b^2}{2-b} = \frac{2b-b^2+5+b^2}{2-b} = \frac{2b+5}{2-b}$
Разложим числитель второй дроби на множители по формуле квадрата разности $a^2-2ab+b^2=(a-b)^2$:
$4-4b+b^2 = (2-b)^2$
Теперь выполним умножение.
$\left(b + \frac{5+b^2}{2-b}\right) \cdot \frac{4-4b+b^2}{2b+5} = \frac{2b+5}{2-b} \cdot \frac{(2-b)^2}{2b+5}$
Сократим общие множители $(2b+5)$ и $(2-b)$:
$\frac{\cancel{2b+5}}{\cancel{2-b}} \cdot \frac{(2-b)^{\cancel{2}}}{\cancel{2b+5}} = 2-b$
Ответ: $2-b$

Помогло решение? Оставьте отзыв в комментариях ниже.

Присоединяйтесь к Телеграм-группе @gdz_by_belarus

Присоединиться

Мы подготовили для вас ответ c подробным объяснением домашего задания по алгебре за 7-9 класс, для упражнения номер 34.10 расположенного на странице 166 к сборнику задач 2020 года издания для учащихся школ и гимназий.

Теперь на нашем сайте ГДЗ.ТОП вы всегда легко и бесплатно найдёте условие с правильным ответом на вопрос «Как решить ДЗ» и «Как сделать» задание по алгебре к упражнению №34.10 (с. 166), авторов: Арефьева (Ирина Глебовна), Пирютко (Ольга Николаевна), учебного пособия издательства Народная асвета.