Номер 5, страница 159 - гдз по алгебре 10 класс учебник Арефьева, Пирютко

Алгебра, 10 класс Учебник, авторы: Арефьева Ирина Глебовна, Пирютко Ольга Николаевна, издательство Народная асвета, Минск, 2019, голубого цвета

Авторы: Арефьева И. Г., Пирютко О. Н.

Тип: Учебник

Издательство: Народная асвета

Год издания: 2019 - 2025

Цвет обложки: голубой с графиком

Допущено Министерством образования Республики Беларусь

Популярные ГДЗ в 10 классе

Глава 1. Тригонометрия. Я проверяю свои знания - номер 5, страница 159.

№5 (с. 159)
Условие. №5 (с. 159)
скриншот условия
Алгебра, 10 класс Учебник, авторы: Арефьева Ирина Глебовна, Пирютко Ольга Николаевна, издательство Народная асвета, Минск, 2019, голубого цвета, страница 159, номер 5, Условие

5. Найдите значение выражения:

а) $ \cos(-315^\circ) \cdot \operatorname{ctg}(-240^\circ); $

б) $ \sqrt{3} \sin \frac{4\pi}{3} + \operatorname{tg}^2 \frac{5\pi}{4}; $

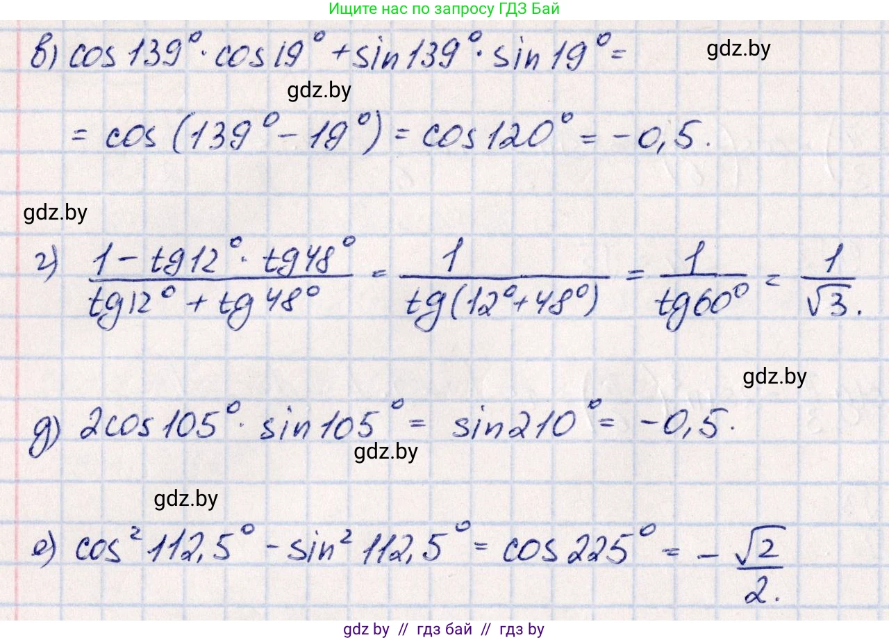
в) $ \cos 139^\circ \cos 19^\circ + \sin 139^\circ \sin 19^\circ; $

г) $ \frac{1 - \operatorname{tg} 12^\circ \operatorname{tg} 48^\circ}{\operatorname{tg} 12^\circ + \operatorname{tg} 48^\circ}; $

д) $ 2 \cos 105^\circ \sin 105^\circ; $

е) $ \cos^2 112.5^\circ - \sin^2 112.5^\circ. $

Решение. №5 (с. 159)
Алгебра, 10 класс Учебник, авторы: Арефьева Ирина Глебовна, Пирютко Ольга Николаевна, издательство Народная асвета, Минск, 2019, голубого цвета, страница 159, номер 5, Решение Алгебра, 10 класс Учебник, авторы: Арефьева Ирина Глебовна, Пирютко Ольга Николаевна, издательство Народная асвета, Минск, 2019, голубого цвета, страница 159, номер 5, Решение (продолжение 2)
Решение 2. №5 (с. 159)

а) Для решения используем свойства четности и нечетности тригонометрических функций, а также формулы приведения.
Функция косинус - четная: $cos(-\alpha) = cos(\alpha)$.
Функция котангенс - нечетная: $ctg(-\alpha) = -ctg(\alpha)$.
$cos(-315^\circ) = cos(315^\circ) = cos(360^\circ - 45^\circ) = cos(45^\circ) = \frac{\sqrt{2}}{2}$
$ctg(-240^\circ) = -ctg(240^\circ) = -ctg(180^\circ + 60^\circ) = -ctg(60^\circ) = -\frac{1}{\sqrt{3}} = -\frac{\sqrt{3}}{3}$
Перемножим полученные значения:
$cos(-315^\circ) \cdot ctg(-240^\circ) = \frac{\sqrt{2}}{2} \cdot \left(-\frac{\sqrt{3}}{3}\right) = -\frac{\sqrt{6}}{6}$
Ответ: $-\frac{\sqrt{6}}{6}$

б) Найдем значения тригонометрических функций, используя формулы приведения.
$sin\frac{4\pi}{3} = sin\left(\pi + \frac{\pi}{3}\right) = -sin\frac{\pi}{3} = -\frac{\sqrt{3}}{2}$
$tg\frac{5\pi}{4} = tg\left(\pi + \frac{\pi}{4}\right) = tg\frac{\pi}{4} = 1$
Подставляем значения в выражение:
$\sqrt{3} \cdot sin\frac{4\pi}{3} + tg^2\frac{5\pi}{4} = \sqrt{3} \cdot \left(-\frac{\sqrt{3}}{2}\right) + (1)^2 = -\frac{3}{2} + 1 = -\frac{1}{2}$
Ответ: $-\frac{1}{2}$

в) Используем формулу косинуса разности: $cos(\alpha - \beta) = cos\alpha \cdot cos\beta + sin\alpha \cdot sin\beta$.
В данном выражении $\alpha = 139^\circ$ и $\beta = 19^\circ$.
$cos139^\circ cos19^\circ + sin139^\circ sin19^\circ = cos(139^\circ - 19^\circ) = cos(120^\circ)$
$cos(120^\circ) = cos(180^\circ - 60^\circ) = -cos(60^\circ) = -\frac{1}{2}$
Ответ: $-\frac{1}{2}$

г) Используем формулу тангенса суммы: $tg(\alpha + \beta) = \frac{tg\alpha + tg\beta}{1 - tg\alpha \cdot tg\beta}$.
Заметим, что данное выражение является обратным к тангенсу суммы, то есть равно котангенсу суммы:
$\frac{1 - tg12^\circ tg48^\circ}{tg12^\circ + tg48^\circ} = \frac{1}{\frac{tg12^\circ + tg48^\circ}{1 - tg12^\circ tg48^\circ}} = \frac{1}{tg(12^\circ + 48^\circ)} = ctg(12^\circ + 48^\circ)$
$ctg(12^\circ + 48^\circ) = ctg(60^\circ) = \frac{\sqrt{3}}{3}$
Ответ: $\frac{\sqrt{3}}{3}$

д) Используем формулу синуса двойного угла: $sin(2\alpha) = 2sin\alpha cos\alpha$.
В данном выражении $\alpha = 105^\circ$.
$2cos105^\circ sin105^\circ = sin(2 \cdot 105^\circ) = sin(210^\circ)$
$sin(210^\circ) = sin(180^\circ + 30^\circ) = -sin(30^\circ) = -\frac{1}{2}$
Ответ: $-\frac{1}{2}$

е) Используем формулу косинуса двойного угла: $cos(2\alpha) = cos^2\alpha - sin^2\alpha$.
В данном выражении $\alpha = 112,5^\circ$.
$cos^2 112,5^\circ - sin^2 112,5^\circ = cos(2 \cdot 112,5^\circ) = cos(225^\circ)$
$cos(225^\circ) = cos(180^\circ + 45^\circ) = -cos(45^\circ) = -\frac{\sqrt{2}}{2}$
Ответ: $-\frac{\sqrt{2}}{2}$

Помогло решение? Оставьте отзыв в комментариях ниже.

Присоединяйтесь к Телеграм-группе @gdz_by_belarus

Присоединиться

Мы подготовили для вас ответ c подробным объяснением домашего задания по алгебре за 10 класс, для упражнения номер 5 расположенного на странице 159 к учебнику 2019 года издания для учащихся школ и гимназий.

Теперь на нашем сайте ГДЗ.ТОП вы всегда легко и бесплатно найдёте условие с правильным ответом на вопрос «Как решить ДЗ» и «Как сделать» задание по алгебре к упражнению №5 (с. 159), авторов: Арефьева (Ирина Глебовна), Пирютко (Ольга Николаевна), учебного пособия издательства Народная асвета.