Номер 3.118, страница 255 - гдз по алгебре 10 класс учебник Арефьева, Пирютко

Алгебра, 10 класс Учебник, авторы: Арефьева Ирина Глебовна, Пирютко Ольга Николаевна, издательство Народная асвета, Минск, 2019, голубого цвета

Авторы: Арефьева И. Г., Пирютко О. Н.

Тип: Учебник

Издательство: Народная асвета

Год издания: 2019 - 2025

Цвет обложки: голубой с графиком

Допущено Министерством образования Республики Беларусь

Популярные ГДЗ в 10 классе

Глава 3. Производная. Параграф 20. Геометрический смысл производной. Связь между знаком производной функции и ее возрастанием или убыванием - номер 3.118, страница 255.

№3.118 (с. 255)
Условие. №3.118 (с. 255)
скриншот условия
Алгебра, 10 класс Учебник, авторы: Арефьева Ирина Глебовна, Пирютко Ольга Николаевна, издательство Народная асвета, Минск, 2019, голубого цвета, страница 255, номер 3.118, Условие

3.118. Используйте алгоритм и найдите точки экстремума функции:

а) $f(x) = x^2 + 6x - 4$;

б) $f(x) = 3x^2 - x^3$.

Решение. №3.118 (с. 255)
Алгебра, 10 класс Учебник, авторы: Арефьева Ирина Глебовна, Пирютко Ольга Николаевна, издательство Народная асвета, Минск, 2019, голубого цвета, страница 255, номер 3.118, Решение
Решение 2. №3.118 (с. 255)

Для нахождения точек экстремума функции используется следующий алгоритм, основанный на анализе ее производной:

  1. Найти область определения функции $D(f)$.
  2. Найти производную функции $f'(x)$.
  3. Найти критические точки функции, то есть точки из области определения, в которых производная равна нулю ($f'(x) = 0$) или не существует.
  4. Отметить критические точки на числовой оси и определить знаки производной на получившихся интервалах.
  5. Определить точки экстремума по смене знака производной при переходе через критическую точку:
    • Если знак меняется с «-» на «+», то это точка минимума.
    • Если знак меняется с «+» на «-», то это точка максимума.

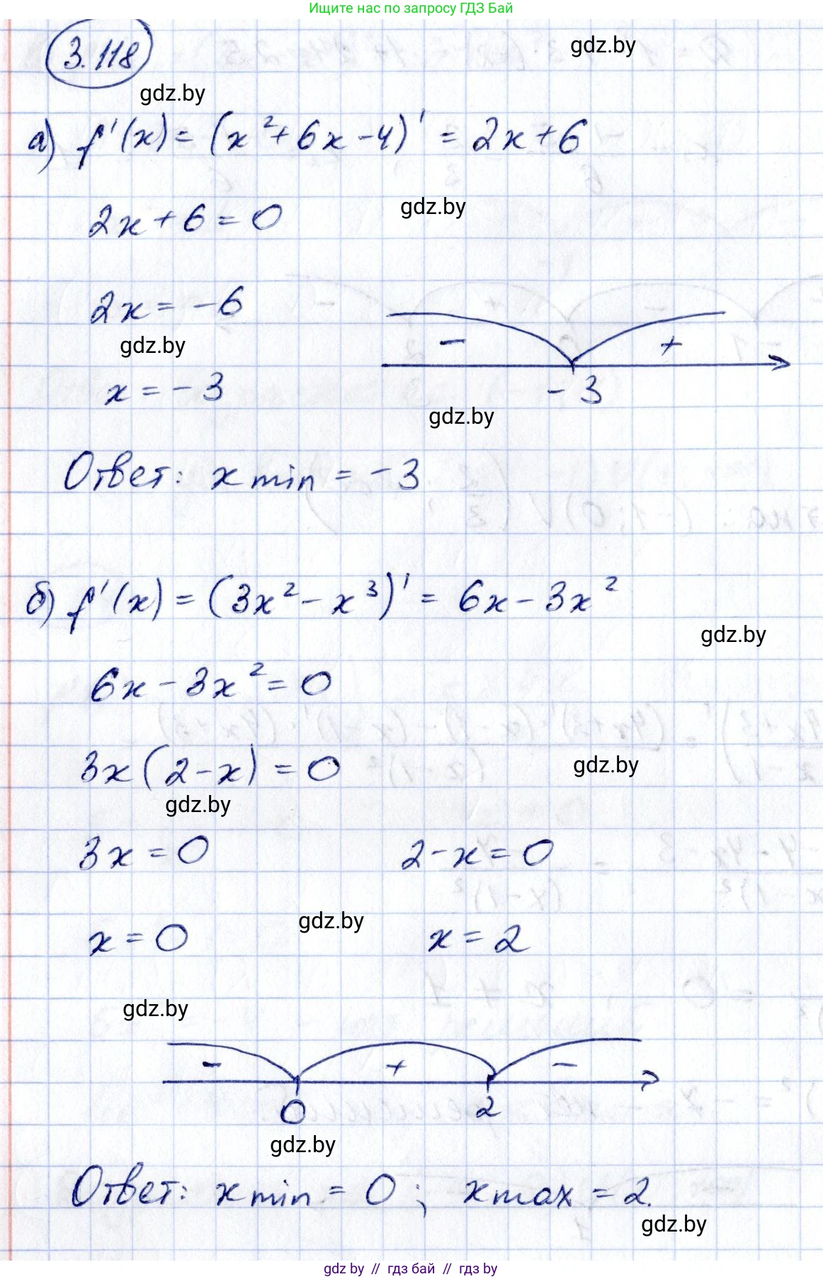
а) Для функции $f(x) = x^2 + 6x - 4$

1. Область определения функции — все действительные числа, так как это многочлен: $D(f) = (-\infty; +\infty)$.

2. Находим производную функции:
$f'(x) = (x^2 + 6x - 4)' = 2x + 6$.

3. Находим критические точки. Производная существует на всей области определения. Приравниваем производную к нулю, чтобы найти стационарные точки:
$f'(x) = 0$
$2x + 6 = 0$
$2x = -6$
$x = -3$.
Имеется одна критическая точка: $x = -3$.

4. Исследуем знак производной на интервалах, на которые точка $x = -3$ делит числовую ось: $(-\infty; -3)$ и $(-3; +\infty)$.
- На интервале $(-\infty; -3)$ выберем пробную точку, например $x=-4$. Знак производной: $f'(-4) = 2(-4) + 6 = -8 + 6 = -2 < 0$. Следовательно, функция убывает на этом интервале.
- На интервале $(-3; +\infty)$ выберем пробную точку, например $x=0$. Знак производной: $f'(0) = 2(0) + 6 = 6 > 0$. Следовательно, функция возрастает на этом интервале.

5. В точке $x = -3$ производная меняет знак с минуса на плюс, следовательно, $x = -3$ является точкой минимума.

Ответ: а) точка минимума $x = -3$.

б) Для функции $f(x) = 3x^2 - x^3$

1. Область определения функции — все действительные числа: $D(f) = (-\infty; +\infty)$.

2. Находим производную функции:
$f'(x) = (3x^2 - x^3)' = 6x - 3x^2$.

3. Находим критические точки. Производная существует везде. Приравниваем ее к нулю:
$f'(x) = 0$
$6x - 3x^2 = 0$
$3x(2 - x) = 0$.
Отсюда получаем две критические точки: $x_1 = 0$ и $x_2 = 2$.

4. Исследуем знак производной на интервалах $(-\infty; 0)$, $(0; 2)$ и $(2; +\infty)$.
- На интервале $(-\infty; 0)$ выберем $x=-1$. Знак производной: $f'(-1) = 6(-1) - 3(-1)^2 = -6 - 3 = -9 < 0$. Функция убывает.
- На интервале $(0; 2)$ выберем $x=1$. Знак производной: $f'(1) = 6(1) - 3(1)^2 = 6 - 3 = 3 > 0$. Функция возрастает.
- На интервале $(2; +\infty)$ выберем $x=3$. Знак производной: $f'(3) = 6(3) - 3(3)^2 = 18 - 27 = -9 < 0$. Функция убывает.

5. Анализируем смену знака производной в критических точках:
- В точке $x = 0$ знак производной меняется с «-» на «+», следовательно, это точка минимума.
- В точке $x = 2$ знак производной меняется с «+» на «-», следовательно, это точка максимума.

Ответ: б) точка минимума $x = 0$, точка максимума $x = 2$.

Помогло решение? Оставьте отзыв в комментариях ниже.

Присоединяйтесь к Телеграм-группе @gdz_by_belarus

Присоединиться

Мы подготовили для вас ответ c подробным объяснением домашего задания по алгебре за 10 класс, для упражнения номер 3.118 расположенного на странице 255 к учебнику 2019 года издания для учащихся школ и гимназий.

Теперь на нашем сайте ГДЗ.ТОП вы всегда легко и бесплатно найдёте условие с правильным ответом на вопрос «Как решить ДЗ» и «Как сделать» задание по алгебре к упражнению №3.118 (с. 255), авторов: Арефьева (Ирина Глебовна), Пирютко (Ольга Николаевна), учебного пособия издательства Народная асвета.