Номер 1.83, страница 31 - гдз по алгебре 10 класс учебник Арефьева, Пирютко

Алгебра, 10 класс Учебник, авторы: Арефьева Ирина Глебовна, Пирютко Ольга Николаевна, издательство Народная асвета, Минск, 2019, голубого цвета

Авторы: Арефьева И. Г., Пирютко О. Н.

Тип: Учебник

Издательство: Народная асвета

Год издания: 2019 - 2025

Цвет обложки: голубой с графиком

Допущено Министерством образования Республики Беларусь

Популярные ГДЗ в 10 классе

Глава 1. Тригонометрия. Параграф 2. Определение синуса и косинуса произвольного угла - номер 1.83, страница 31.

№1.83 (с. 31)
Условие. №1.83 (с. 31)
скриншот условия
Алгебра, 10 класс Учебник, авторы: Арефьева Ирина Глебовна, Пирютко Ольга Николаевна, издательство Народная асвета, Минск, 2019, голубого цвета, страница 31, номер 1.83, Условие

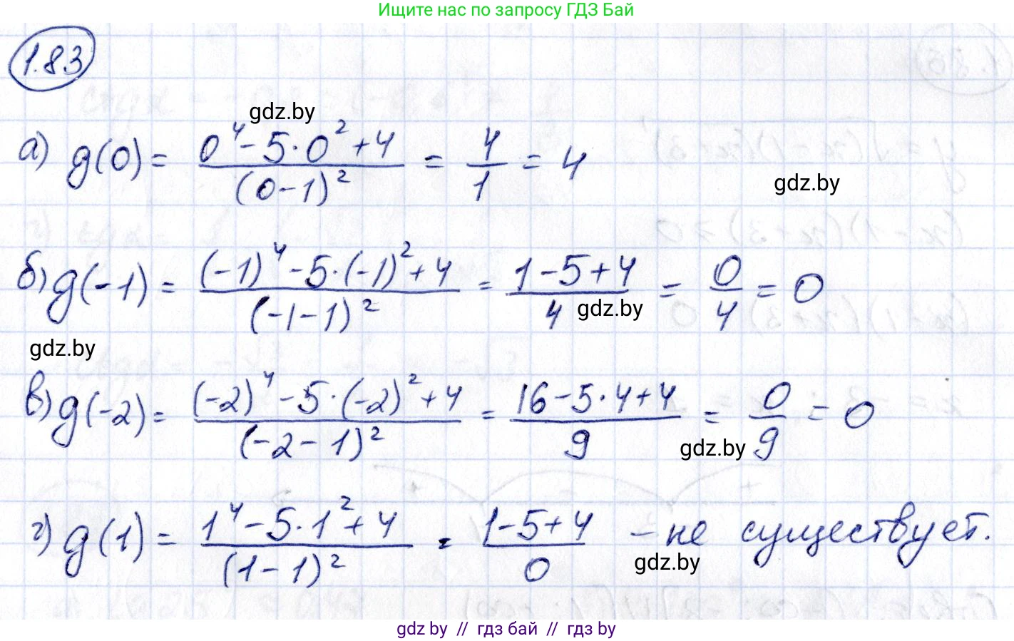
1.83. Для функции $g(x) = \frac{x^4 - 5x^2 + 4}{(x-1)^2}$ найдите, если это возможно:

а) g(0);

б) g(-1);

в) g(-2);

г) g(1).

Решение. №1.83 (с. 31)
Алгебра, 10 класс Учебник, авторы: Арефьева Ирина Глебовна, Пирютко Ольга Николаевна, издательство Народная асвета, Минск, 2019, голубого цвета, страница 31, номер 1.83, Решение
Решение 2. №1.83 (с. 31)

Для нахождения значений функции $g(x) = \frac{x^4 - 5x^2 + 4}{(x-1)^2}$ в заданных точках, необходимо подставить соответствующие значения $x$ в выражение для функции.

Сначала найдем область определения функции. Знаменатель дроби не может быть равен нулю:

$(x-1)^2 \neq 0 \implies x-1 \neq 0 \implies x \neq 1$.

Следовательно, функция определена для всех действительных чисел, кроме $x=1$.

Теперь вычислим значения функции в заданных точках.

а) g(0);

Подставляем $x=0$ в формулу:

$g(0) = \frac{0^4 - 5 \cdot 0^2 + 4}{(0-1)^2} = \frac{0 - 0 + 4}{(-1)^2} = \frac{4}{1} = 4$.

Результат является целым числом. Целая часть числа равна самому числу.

Ответ: 4

б) g(-1);

Подставляем $x=-1$ в формулу:

$g(-1) = \frac{(-1)^4 - 5 \cdot (-1)^2 + 4}{(-1-1)^2} = \frac{1 - 5 \cdot 1 + 4}{(-2)^2} = \frac{1 - 5 + 4}{4} = \frac{0}{4} = 0$.

Ответ: 0

в) g(-2);

Подставляем $x=-2$ в формулу:

$g(-2) = \frac{(-2)^4 - 5 \cdot (-2)^2 + 4}{(-2-1)^2} = \frac{16 - 5 \cdot 4 + 4}{(-3)^2} = \frac{16 - 20 + 4}{9} = \frac{0}{9} = 0$.

Ответ: 0

г) g(1).

Как было установлено из области определения, функция не определена в точке $x=1$, так как при этом значении аргумента знаменатель дроби обращается в ноль ($(1-1)^2=0$). Деление на ноль является недопустимой операцией.

Ответ: найти значение невозможно.

Помогло решение? Оставьте отзыв в комментариях ниже.

Присоединяйтесь к Телеграм-группе @gdz_by_belarus

Присоединиться

Мы подготовили для вас ответ c подробным объяснением домашего задания по алгебре за 10 класс, для упражнения номер 1.83 расположенного на странице 31 к учебнику 2019 года издания для учащихся школ и гимназий.

Теперь на нашем сайте ГДЗ.ТОП вы всегда легко и бесплатно найдёте условие с правильным ответом на вопрос «Как решить ДЗ» и «Как сделать» задание по алгебре к упражнению №1.83 (с. 31), авторов: Арефьева (Ирина Глебовна), Пирютко (Ольга Николаевна), учебного пособия издательства Народная асвета.