Номер 1.490, страница 149 - гдз по алгебре 10 класс учебник Арефьева, Пирютко

Алгебра, 10 класс Учебник, авторы: Арефьева Ирина Глебовна, Пирютко Ольга Николаевна, издательство Народная асвета, Минск, 2019, голубого цвета

Авторы: Арефьева И. Г., Пирютко О. Н.

Тип: Учебник

Издательство: Народная асвета

Год издания: 2019 - 2025

Цвет обложки: голубой с графиком

Допущено Министерством образования Республики Беларусь

Популярные ГДЗ в 10 классе

Глава 1. Тригонометрия. Параграф 11. Формулы двойного аргумента - номер 1.490, страница 149.

№1.490 (с. 149)
Условие. №1.490 (с. 149)
скриншот условия
Алгебра, 10 класс Учебник, авторы: Арефьева Ирина Глебовна, Пирютко Ольга Николаевна, издательство Народная асвета, Минск, 2019, голубого цвета, страница 149, номер 1.490, Условие

1.490. Упростите выражение:

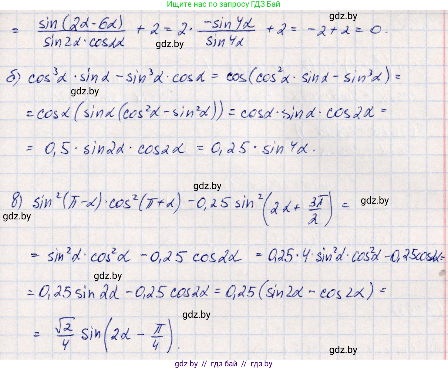
a) $\frac{\cos 6\alpha}{\cos 2\alpha} - \frac{\sin 6\alpha}{\sin 2\alpha} + 2;$

б) $\cos^3 \alpha \sin \alpha - \sin^3 \alpha \cos \alpha;$

в) $\sin^2 (\pi - \alpha)\cos^2 (\pi + \alpha) - \frac{1}{4}\sin^2 \left(2\alpha + \frac{3\pi}{2}\right).$

Решение. №1.490 (с. 149)
Алгебра, 10 класс Учебник, авторы: Арефьева Ирина Глебовна, Пирютко Ольга Николаевна, издательство Народная асвета, Минск, 2019, голубого цвета, страница 149, номер 1.490, Решение Алгебра, 10 класс Учебник, авторы: Арефьева Ирина Глебовна, Пирютко Ольга Николаевна, издательство Народная асвета, Минск, 2019, голубого цвета, страница 149, номер 1.490, Решение (продолжение 2)
Решение 2. №1.490 (с. 149)

а) Для упрощения выражения $\frac{\cos(6\alpha)}{\cos(2\alpha)} - \frac{\sin(6\alpha)}{\sin(2\alpha)} + 2$ приведем дроби к общему знаменателю $\sin(2\alpha)\cos(2\alpha)$.
$\frac{\cos(6\alpha)}{\cos(2\alpha)} - \frac{\sin(6\alpha)}{\sin(2\alpha)} + 2 = \frac{\cos(6\alpha)\sin(2\alpha) - \sin(6\alpha)\cos(2\alpha)}{\sin(2\alpha)\cos(2\alpha)} + 2$
Числитель дроби представляет собой формулу синуса разности углов $\sin(x - y) = \sin x \cos y - \cos x \sin y$.
$\cos(6\alpha)\sin(2\alpha) - \sin(6\alpha)\cos(2\alpha) = \sin(2\alpha - 6\alpha) = \sin(-4\alpha)$
Так как синус — нечетная функция, $\sin(-4\alpha) = -\sin(4\alpha)$.
Знаменатель дроби можно упростить, используя формулу синуса двойного угла $\sin(2x) = 2\sin x \cos x$.
$\sin(2\alpha)\cos(2\alpha) = \frac{1}{2} \cdot 2\sin(2\alpha)\cos(2\alpha) = \frac{1}{2}\sin(4\alpha)$
Теперь подставим полученные выражения обратно в исходное:
$\frac{-\sin(4\alpha)}{\frac{1}{2}\sin(4\alpha)} + 2$
При условии, что $\sin(4\alpha) \neq 0$, сокращаем дробь:
$-2 + 2 = 0$
Ответ: $0$

б) Для упрощения выражения $\cos^3\alpha \sin\alpha - \sin^3\alpha \cos\alpha$ вынесем общий множитель $\sin\alpha\cos\alpha$ за скобки.
$\cos^3\alpha \sin\alpha - \sin^3\alpha \cos\alpha = \sin\alpha\cos\alpha(\cos^2\alpha - \sin^2\alpha)$
Применим формулы двойного угла:
1. $\sin\alpha\cos\alpha = \frac{1}{2}\sin(2\alpha)$
2. $\cos^2\alpha - \sin^2\alpha = \cos(2\alpha)$
Подставим эти формулы в выражение:
$(\frac{1}{2}\sin(2\alpha)) \cdot (\cos(2\alpha)) = \frac{1}{2}\sin(2\alpha)\cos(2\alpha)$
Еще раз воспользуемся формулой синуса двойного угла для аргумента $2\alpha$:
$\frac{1}{2} \cdot \frac{1}{2}\sin(2 \cdot 2\alpha) = \frac{1}{4}\sin(4\alpha)$
Ответ: $\frac{1}{4}\sin(4\alpha)$

в) Для упрощения выражения $\sin^2(\pi - \alpha)\cos^2(\pi + \alpha) - \frac{1}{4}\sin^2(2\alpha + \frac{3\pi}{2})$ воспользуемся формулами приведения.
$\sin(\pi - \alpha) = \sin\alpha$, поэтому $\sin^2(\pi - \alpha) = \sin^2\alpha$.
$\cos(\pi + \alpha) = -\cos\alpha$, поэтому $\cos^2(\pi + \alpha) = (-\cos\alpha)^2 = \cos^2\alpha$.
$\sin(2\alpha + \frac{3\pi}{2}) = \sin(\frac{3\pi}{2} + 2\alpha) = -\cos(2\alpha)$, поэтому $\sin^2(2\alpha + \frac{3\pi}{2}) = (-\cos(2\alpha))^2 = \cos^2(2\alpha)$.
Подставим упрощенные части в исходное выражение:
$\sin^2\alpha\cos^2\alpha - \frac{1}{4}\cos^2(2\alpha)$
Выражение $\sin^2\alpha\cos^2\alpha$ можно записать как $(\sin\alpha\cos\alpha)^2$. Используя формулу $\sin\alpha\cos\alpha = \frac{1}{2}\sin(2\alpha)$, получаем:
$(\frac{1}{2}\sin(2\alpha))^2 = \frac{1}{4}\sin^2(2\alpha)$
Подставляем это обратно в выражение:
$\frac{1}{4}\sin^2(2\alpha) - \frac{1}{4}\cos^2(2\alpha) = \frac{1}{4}(\sin^2(2\alpha) - \cos^2(2\alpha))$
Из формулы косинуса двойного угла $\cos(2x) = \cos^2x - \sin^2x$ следует, что $\sin^2x - \cos^2x = -(\cos^2x - \sin^2x) = -\cos(2x)$.
Применим это для аргумента $2\alpha$:
$\frac{1}{4}(-\cos(2 \cdot 2\alpha)) = -\frac{1}{4}\cos(4\alpha)$
Ответ: $-\frac{1}{4}\cos(4\alpha)$

Помогло решение? Оставьте отзыв в комментариях ниже.

Присоединяйтесь к Телеграм-группе @gdz_by_belarus

Присоединиться

Мы подготовили для вас ответ c подробным объяснением домашего задания по алгебре за 10 класс, для упражнения номер 1.490 расположенного на странице 149 к учебнику 2019 года издания для учащихся школ и гимназий.

Теперь на нашем сайте ГДЗ.ТОП вы всегда легко и бесплатно найдёте условие с правильным ответом на вопрос «Как решить ДЗ» и «Как сделать» задание по алгебре к упражнению №1.490 (с. 149), авторов: Арефьева (Ирина Глебовна), Пирютко (Ольга Николаевна), учебного пособия издательства Народная асвета.