Номер 1.452, страница 140 - гдз по алгебре 10 класс учебник Арефьева, Пирютко

Алгебра, 10 класс Учебник, авторы: Арефьева Ирина Глебовна, Пирютко Ольга Николаевна, издательство Народная асвета, Минск, 2019, голубого цвета

Авторы: Арефьева И. Г., Пирютко О. Н.

Тип: Учебник

Издательство: Народная асвета

Год издания: 2019 - 2025

Цвет обложки: голубой с графиком

Допущено Министерством образования Республики Беларусь

Популярные ГДЗ в 10 классе

Глава 1. Тригонометрия. Параграф 10. Синус, косинус, тангенс суммы и разности - номер 1.452, страница 140.

№1.452 (с. 140)
Условие. №1.452 (с. 140)
скриншот условия
Алгебра, 10 класс Учебник, авторы: Арефьева Ирина Глебовна, Пирютко Ольга Николаевна, издательство Народная асвета, Минск, 2019, голубого цвета, страница 140, номер 1.452, Условие

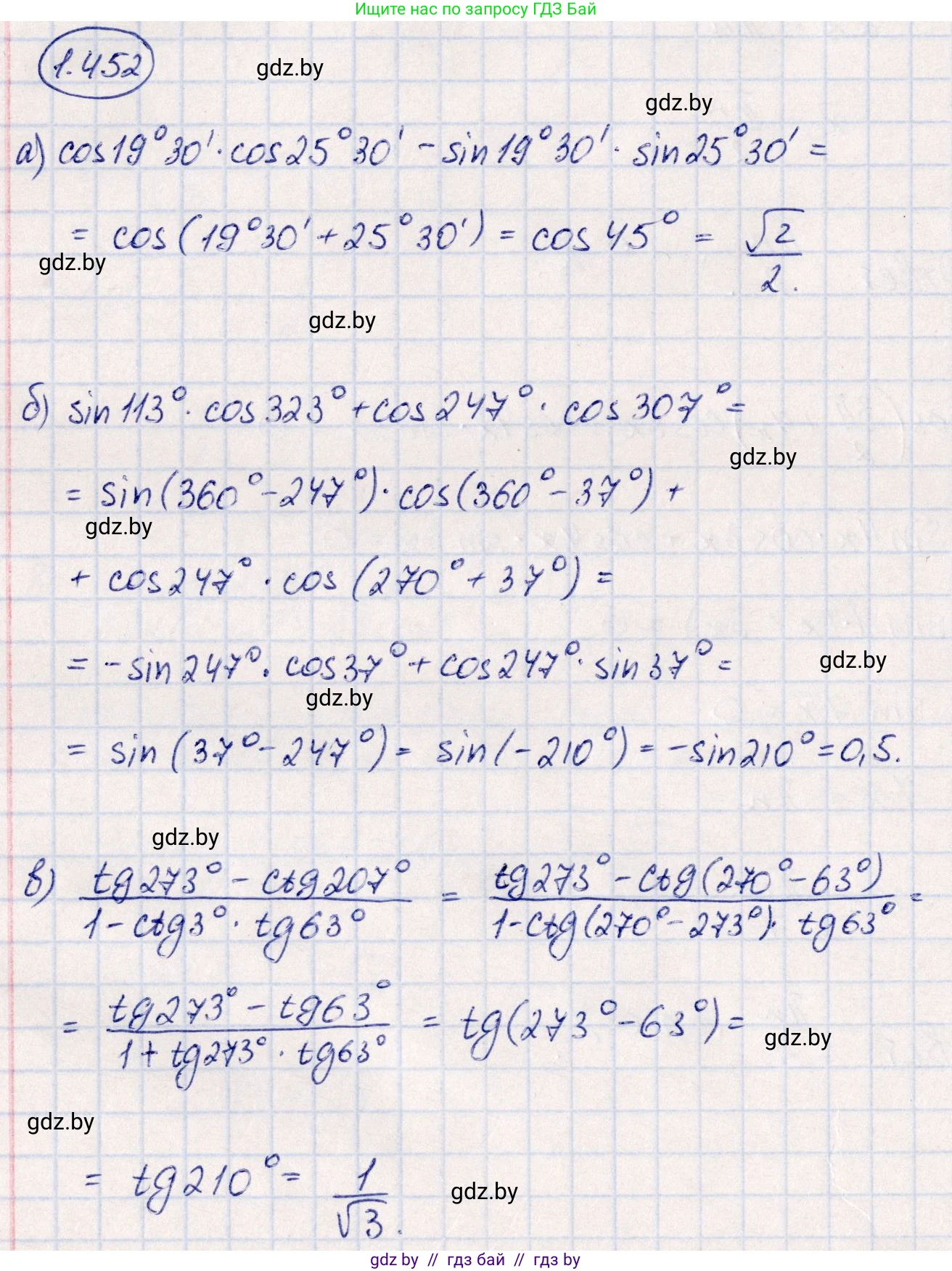
1.452. Вычислите:

a) $\cos 19^\circ 30^\prime \cos 25^\circ 30^\prime - \sin 19^\circ 30^\prime \sin 25^\circ 30^\prime$;

б) $\sin 113^\circ \cos 323^\circ + \cos 247^\circ \cos 307^\circ$;

в) $\frac{\text{tg}273^\circ - \text{ctg}207^\circ}{1 - \text{ctg}3^\circ \text{tg}63^\circ}$.

Решение. №1.452 (с. 140)
Алгебра, 10 класс Учебник, авторы: Арефьева Ирина Глебовна, Пирютко Ольга Николаевна, издательство Народная асвета, Минск, 2019, голубого цвета, страница 140, номер 1.452, Решение
Решение 2. №1.452 (с. 140)

а) Вычислим значение выражения $ \cos19^\circ30'\cos25^\circ30' - \sin19^\circ30'\sin25^\circ30' $.

Данное выражение соответствует формуле косинуса суммы двух углов:

$ \cos(\alpha + \beta) = \cos\alpha\cos\beta - \sin\alpha\sin\beta $

В нашем случае, $ \alpha = 19^\circ30' $ и $ \beta = 25^\circ30' $.

Следовательно, выражение равно $ \cos(19^\circ30' + 25^\circ30') $.

Найдем сумму углов:

$ 19^\circ30' + 25^\circ30' = (19+25)^\circ + (30+30)' = 44^\circ60' $

Так как $ 60' = 1^\circ $, сумма углов равна $ 44^\circ + 1^\circ = 45^\circ $.

Таким образом, выражение упрощается до $ \cos(45^\circ) $.

Значение косинуса 45 градусов является табличным:

$ \cos(45^\circ) = \frac{\sqrt{2}}{2} $

Ответ: $ \frac{\sqrt{2}}{2} $

б) Вычислим значение выражения $ \sin113^\circ \cos323^\circ + \cos247^\circ \cos307^\circ $.

Для упрощения выражения воспользуемся формулами приведения, чтобы привести все углы к острому виду.

$ \sin113^\circ = \sin(90^\circ + 23^\circ) = \cos23^\circ $
$ \cos323^\circ = \cos(360^\circ - 37^\circ) = \cos37^\circ $
$ \cos247^\circ = \cos(270^\circ - 23^\circ) = -\sin23^\circ $
$ \cos307^\circ = \cos(270^\circ + 37^\circ) = \sin37^\circ $

Подставим эти значения в исходное выражение:

$ \cos23^\circ \cos37^\circ + (-\sin23^\circ)(\sin37^\circ) = \cos23^\circ\cos37^\circ - \sin23^\circ\sin37^\circ $

Полученное выражение снова является формулой косинуса суммы:

$ \cos(\alpha + \beta) = \cos\alpha\cos\beta - \sin\alpha\sin\beta $

Здесь $ \alpha = 23^\circ $ и $ \beta = 37^\circ $.

Следовательно, выражение равно $ \cos(23^\circ + 37^\circ) = \cos(60^\circ) $.

Значение косинуса 60 градусов является табличным:

$ \cos(60^\circ) = \frac{1}{2} $

Ответ: $ \frac{1}{2} $

в) Вычислим значение выражения $ \frac{\tg273^\circ - \ctg207^\circ}{1 - \ctg3^\circ\tg63^\circ} $.

Сначала упростим тригонометрические функции, используя формулы приведения, чтобы привести аргументы к острым углам.

$ \tg273^\circ = \tg(270^\circ + 3^\circ) = -\ctg3^\circ $
$ \ctg207^\circ = \ctg(180^\circ + 27^\circ) = \ctg27^\circ $
$ \tg63^\circ = \tg(90^\circ - 27^\circ) = \ctg27^\circ $

Подставим упрощенные значения в исходное выражение:

$ \frac{-\ctg3^\circ - \ctg27^\circ}{1 - \ctg3^\circ\ctg27^\circ} $

Для дальнейшего упрощения выразим котангенсы через тангенсы ($ \ctg\alpha = \frac{1}{\tg\alpha} $):

$ \frac{- \frac{1}{\tg3^\circ} - \frac{1}{\tg27^\circ}}{1 - \frac{1}{\tg3^\circ} \cdot \frac{1}{\tg27^\circ}} = \frac{-\frac{\tg27^\circ+\tg3^\circ}{\tg3^\circ\tg27^\circ}}{\frac{\tg3^\circ\tg27^\circ - 1}{\tg3^\circ\tg27^\circ}} $

После сокращения общего знаменателя $ \tg3^\circ\tg27^\circ $ получаем:

$ \frac{-(\tg3^\circ+\tg27^\circ)}{\tg3^\circ\tg27^\circ-1} = \frac{\tg3^\circ+\tg27^\circ}{1-\tg3^\circ\tg27^\circ} $

Это выражение является формулой тангенса суммы:

$ \tg(\alpha + \beta) = \frac{\tg\alpha + \tg\beta}{1 - \tg\alpha\tg\beta} $

При $ \alpha = 3^\circ $ и $ \beta = 27^\circ $, получаем $ \tg(3^\circ + 27^\circ) = \tg(30^\circ) $.

Значение тангенса 30 градусов является табличным:

$ \tg(30^\circ) = \frac{1}{\sqrt{3}} = \frac{\sqrt{3}}{3} $

Ответ: $ \frac{\sqrt{3}}{3} $

Помогло решение? Оставьте отзыв в комментариях ниже.

Присоединяйтесь к Телеграм-группе @gdz_by_belarus

Присоединиться

Мы подготовили для вас ответ c подробным объяснением домашего задания по алгебре за 10 класс, для упражнения номер 1.452 расположенного на странице 140 к учебнику 2019 года издания для учащихся школ и гимназий.

Теперь на нашем сайте ГДЗ.ТОП вы всегда легко и бесплатно найдёте условие с правильным ответом на вопрос «Как решить ДЗ» и «Как сделать» задание по алгебре к упражнению №1.452 (с. 140), авторов: Арефьева (Ирина Глебовна), Пирютко (Ольга Николаевна), учебного пособия издательства Народная асвета.