Номер 1.381, страница 126 - гдз по алгебре 10 класс учебник Арефьева, Пирютко

Алгебра, 10 класс Учебник, авторы: Арефьева Ирина Глебовна, Пирютко Ольга Николаевна, издательство Народная асвета, Минск, 2019, голубого цвета

Авторы: Арефьева И. Г., Пирютко О. Н.

Тип: Учебник

Издательство: Народная асвета

Год издания: 2019 - 2025

Цвет обложки: голубой с графиком

Допущено Министерством образования Республики Беларусь

Популярные ГДЗ в 10 классе

Глава 1. Тригонометрия. Параграф 9. Формулы приведения - номер 1.381, страница 126.

№1.381 (с. 126)
Условие. №1.381 (с. 126)
скриншот условия
Алгебра, 10 класс Учебник, авторы: Арефьева Ирина Глебовна, Пирютко Ольга Николаевна, издательство Народная асвета, Минск, 2019, голубого цвета, страница 126, номер 1.381, Условие

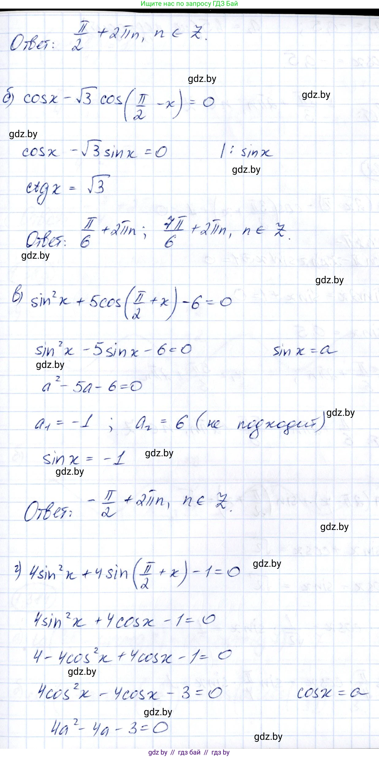
1.381. Решите уравнение:

а) $2\sin(2\pi - x) - \sin x = -3;$

б) $\cos x - \sqrt{3} \cos(\frac{\pi}{2} - x) = 0;$

в) $\sin^2 x + 5\cos(\frac{\pi}{2} + x) - 6 = 0;$

г) $4\sin^2 x + 4\sin(\frac{\pi}{2} + x) - 1 = 0.$

Решение. №1.381 (с. 126)
Алгебра, 10 класс Учебник, авторы: Арефьева Ирина Глебовна, Пирютко Ольга Николаевна, издательство Народная асвета, Минск, 2019, голубого цвета, страница 126, номер 1.381, Решение Алгебра, 10 класс Учебник, авторы: Арефьева Ирина Глебовна, Пирютко Ольга Николаевна, издательство Народная асвета, Минск, 2019, голубого цвета, страница 126, номер 1.381, Решение (продолжение 2)
Решение 2. №1.381 (с. 126)

а) $2\sin(2\pi - x) - \sin x = -3$

Для решения данного уравнения воспользуемся формулой приведения для синуса: $\sin(2\pi - \alpha) = -\sin \alpha$. Аргумент $(2\pi - x)$ находится в IV четверти, где синус отрицателен.

Подставим формулу в исходное уравнение:

$2(-\sin x) - \sin x = -3$

Упростим выражение:

$-2\sin x - \sin x = -3$

$-3\sin x = -3$

Разделим обе части на -3:

$\sin x = 1$

Это частный случай простейшего тригонометрического уравнения. Решение имеет вид:

$x = \frac{\pi}{2} + 2\pi k$, где $k \in \mathbb{Z}$.

Ответ: $x = \frac{\pi}{2} + 2\pi k, k \in \mathbb{Z}$.

б) $\cos x - \sqrt{3}\cos(\frac{\pi}{2} - x) = 0$

Применим формулу приведения для косинуса: $\cos(\frac{\pi}{2} - \alpha) = \sin \alpha$. Аргумент $(\frac{\pi}{2} - x)$ находится в I четверти (если x - острый угол), где косинус положителен, и функция меняется на кофункцию.

Уравнение принимает вид:

$\cos x - \sqrt{3}\sin x = 0$

Это однородное тригонометрическое уравнение первой степени. Проверим, может ли $\cos x$ быть равным нулю. Если $\cos x = 0$, то из уравнения следует, что $-\sqrt{3}\sin x = 0$, откуда $\sin x = 0$. Однако, $\sin x$ и $\cos x$ не могут одновременно равняться нулю согласно основному тригонометрическому тождеству ($\sin^2 x + \cos^2 x = 1$). Значит, $\cos x \neq 0$.

Разделим обе части уравнения на $\cos x$:

$\frac{\cos x}{\cos x} - \sqrt{3}\frac{\sin x}{\cos x} = 0$

$1 - \sqrt{3}\tan x = 0$

$\sqrt{3}\tan x = 1$

$\tan x = \frac{1}{\sqrt{3}}$

Решением этого уравнения является:

$x = \arctan\left(\frac{1}{\sqrt{3}}\right) + \pi k$, где $k \in \mathbb{Z}$.

$x = \frac{\pi}{6} + \pi k$, где $k \in \mathbb{Z}$.

Ответ: $x = \frac{\pi}{6} + \pi k, k \in \mathbb{Z}$.

в) $\sin^2 x + 5\cos(\frac{\pi}{2} + x) - 6 = 0$

Используем формулу приведения $\cos(\frac{\pi}{2} + \alpha) = -\sin \alpha$. Аргумент $(\frac{\pi}{2} + x)$ находится во II четверти, где косинус отрицателен, и функция меняется на кофункцию.

Подставляем в уравнение:

$\sin^2 x + 5(-\sin x) - 6 = 0$

$\sin^2 x - 5\sin x - 6 = 0$

Это квадратное уравнение относительно $\sin x$. Сделаем замену переменной: пусть $t = \sin x$, при этом $|t| \le 1$.

$t^2 - 5t - 6 = 0$

Решим это квадратное уравнение. По теореме Виета, сумма корней равна 5, а произведение -6. Корни: $t_1 = 6$ и $t_2 = -1$.

Вернемся к исходной переменной:

1) $\sin x = 6$. Это уравнение не имеет решений, так как область значений функции синус $[-1, 1]$.

2) $\sin x = -1$. Это частный случай, решение которого:

$x = -\frac{\pi}{2} + 2\pi k$, где $k \in \mathbb{Z}$.

В данной форме записи дробь $\frac{1}{2}$ является правильной.

Ответ: $x = -\frac{\pi}{2} + 2\pi k, k \in \mathbb{Z}$.

г) $4\sin^2 x + 4\sin(\frac{\pi}{2} + x) - 1 = 0$

Воспользуемся формулой приведения $\sin(\frac{\pi}{2} + \alpha) = \cos \alpha$. Аргумент $(\frac{\pi}{2} + x)$ находится во II четверти, где синус положителен, и функция меняется на кофункцию.

$4\sin^2 x + 4\cos x - 1 = 0$

Чтобы привести уравнение к одной тригонометрической функции, используем основное тригонометрическое тождество: $\sin^2 x = 1 - \cos^2 x$.

$4(1 - \cos^2 x) + 4\cos x - 1 = 0$

$4 - 4\cos^2 x + 4\cos x - 1 = 0$

$-4\cos^2 x + 4\cos x + 3 = 0$

Умножим все члены уравнения на -1 для удобства:

$4\cos^2 x - 4\cos x - 3 = 0$

Сделаем замену: пусть $y = \cos x$, где $|y| \le 1$.

$4y^2 - 4y - 3 = 0$

Решим квадратное уравнение с помощью дискриминанта:

$D = b^2 - 4ac = (-4)^2 - 4 \cdot 4 \cdot (-3) = 16 + 48 = 64 = 8^2$

Найдем корни:

$y_1 = \frac{-b + \sqrt{D}}{2a} = \frac{4 + 8}{2 \cdot 4} = \frac{12}{8} = \frac{3}{2}$

$y_2 = \frac{-b - \sqrt{D}}{2a} = \frac{4 - 8}{2 \cdot 4} = \frac{-4}{8} = -\frac{1}{2}$

Выполним обратную замену:

1) $\cos x = \frac{3}{2}$. Уравнение не имеет решений, так как $\frac{3}{2} > 1$.

2) $\cos x = -\frac{1}{2}$. Решения этого уравнения:

$x = \pm \arccos(-\frac{1}{2}) + 2\pi k$, где $k \in \mathbb{Z}$.

Так как $\arccos(-\frac{1}{2}) = \pi - \arccos(\frac{1}{2}) = \pi - \frac{\pi}{3} = \frac{2\pi}{3}$, получаем:

$x = \pm \frac{2\pi}{3} + 2\pi k$, где $k \in \mathbb{Z}$.

Дробь $\frac{2}{3}$ является правильной.

Ответ: $x = \pm \frac{2\pi}{3} + 2\pi k, k \in \mathbb{Z}$.

Помогло решение? Оставьте отзыв в комментариях ниже.

Присоединяйтесь к Телеграм-группе @gdz_by_belarus

Присоединиться

Мы подготовили для вас ответ c подробным объяснением домашего задания по алгебре за 10 класс, для упражнения номер 1.381 расположенного на странице 126 к учебнику 2019 года издания для учащихся школ и гимназий.

Теперь на нашем сайте ГДЗ.ТОП вы всегда легко и бесплатно найдёте условие с правильным ответом на вопрос «Как решить ДЗ» и «Как сделать» задание по алгебре к упражнению №1.381 (с. 126), авторов: Арефьева (Ирина Глебовна), Пирютко (Ольга Николаевна), учебного пособия издательства Народная асвета.